Class Notes for Managerial Accounting, Second Canadian Edition

Class Notes for Managerial Accounting, Second Canadian Edition helps you review course material quickly and effectively.

Seller Steve
Contributor
4.3
40
9 months ago
Preview (31 of 153 Pages)
100%
Purchase to unlock

Page 1

Class Notes for Managerial Accounting, Second Canadian Edition - Page 1 preview image

Loading page image...

INSTRUCTORSRESOURCEMANUALPam QuonAthabasca UniversityManagerial AccountingCanadian EditionKaren Wilken BraunCase Western Reserve UniversityWendy M. TietzKent State UniversityWalter T. Harrison, Jr.Baylor UniversityRhonda PyperUniversity of Ottawa

Page 2

Class Notes for Managerial Accounting, Second Canadian Edition - Page 2 preview image

Loading page image...

Page 3

Class Notes for Managerial Accounting, Second Canadian Edition - Page 3 preview image

Loading page image...

Contents1Introduction to Managerial Accounting12Building Blocks of Managerial Accounting123Job Costing254Activity-Based Costing, Lean Production, and the Costs of Quality365Process Costing496Cost Behaviour607Cost-Volume-Profit Analysis728Short-Term Business Decisions869The Master Budget and Responsibility Accounting9910Flexible Budgets and Standard Costs11011Performance Evaluation and the Balanced Scorecard12412Capital Investment Decisions and the Time Value of Money136Sample Syllabi for 10 weeksSample Syllabi for 12 weeksTips for Taking Your Course from Traditional to Hybrid, Blended or OnlineTips for How to Get an A in This Class

Page 4

Class Notes for Managerial Accounting, Second Canadian Edition - Page 4 preview image

Loading page image...

CHAPTER 1Introduction to Managerial AccountingCHAPTER OVERVIEWThe chapter introduces managerial accounting along with the fundamental principle of the text,which is the importance of using managerial accounting data in decision-making. Students areintroduced to the importance of cost of goods sold and to decision-making by discussing theprimary responsibilities of a managerial accountant: planning, directing, controlling, anddecision-making. To help students understand the managerial accounting focus, financial andmanagerial accounting are contrasted and compared. Managerial accounting has internal usersrelying on relevant information prepared specifically for management’s needs and financialaccounting has external users using reliable and objective information in the form of financialstatements.The importance of using managerial accounting for decision-making is illustrated through thepresentation of organizational structures and the roles and skills required of managementaccountants. In addition to their traditional costing and reporting roles, management accountantsalso play an important role in developing budgets that influence the organization’s culture andstrategy. Increasing the importance and profile of management accountants is a goal of theSociety of Management Accountants of Canada which governs the Certified ManagementAccountants (CMAs). The Society of Management Accountants is the professional associationfor management accountants which also develops standards of ethics and standards ofprofessional conduct.The Decision Guidelines and Summary Problems are useful examples of questions and outlinesthat help students summarize their learning. Two sets of Decision Guidelines are present in thischapter. The first set of guidelines focuses on decision-making.The next section of the chapter presents the implications of regulatory and business trends. Theseinclude the Sarbanes-Oxley Act of 2002, IFRS, XBRL, the shift towards a service economy,competition in the global marketplace, sustainability and social responsibility, time-basedcompetition, advanced information systems, e-commerce, lean production, total qualitymanagement, and ISO 9001:2008. The Decision Guidelines illustrate some of the decisionsmanagers need to consider in response to changes in the regulatory and business environment.An additional Summary Problem allows students to use cost-benefit analysis to determinewhether a company should expand or not.LEARNING OBJECTIVESAfter studying Chapter 1, your students should be able to:1.Identify managers’ four primary responsibilities.2.Distinguish financial accounting from managerial accounting.

Page 5

Class Notes for Managerial Accounting, Second Canadian Edition - Page 5 preview image

Loading page image...

Chapter 123.Describe organizational structure and the roles and skills required of managementaccountants within the organization.4.Describe the role of the three professional accounting designations in Canada and use theirethical standards to make reasonable ethical judgments.5.Discuss and analyze the implications of regulatory and business trends.TEACHING OUTLINE1.Identify managers’ four primary responsibilitiesa.Planningb.Directingc.Controllingd.Decision-makinge.Exhibit 1-1 Managers’ Four Primary Responsibilities2.Distinguish the differences between financial accounting and managerial accountinga.Usersb.Purpose of information providedc.Accounting productd.Required information and reporting formate.Underlying basis of the informationf.Information characteristic emphasisg.Business unith.Timingi.Verificationj.Required informationk.Impact of reports on behaviourl.Exhibit 1-2 Managerial Accounting Versus Financial Accounting3.Describe the organizational structure and the roles and skills required of managementaccountants within the organizationa.CEOb.COOc.CFOd.Treasurere.Controllerf.Internal audit functiong.Audit committeeh.Exhibit 1-3 Typical Organizational Structure4.Discuss the changing roles of management accountants5.Discuss the skills required of management accountants

Page 6

Class Notes for Managerial Accounting, Second Canadian Edition - Page 6 preview image

Loading page image...

Chapter 13a.Solid accounting knowledgeb.Problem-solving and decision-making skillsc.Knowledge of how a business functionsd.Ability to lead and work on a team (team oriented)e.Professionalism and ethical standardsf.Oral and written communication skillsg.Exhibit 1-4 The Skills Required of Management Accountants6.Describe the role of the three professional accounting designations in Canadaa.Professional associationsb.Certified Management Accountants (CMAs), Chartered Accountants (CAs) andCertified General Accountants (CGAs)7.Identify the CMA’s ethical standards and how they are used to make reasonable ethicaldecisionsa.Maintain professional competenceb.Preserve confidentiality of informationc.Perform duties with credibilityd.Uphold their integritye.Maintain independencef.Exhibit 1-5 Summary of Ethical Standardsg.Unethical versus illegal behaviourh.Exhibit 1-6 The Society of Management Accountants of Ontario Code of ProfessionalEthics8.Discuss current regulatory and business trendsa.Sarbanes-Oxley Act of 2002 (SOX)b.Exhibit 1-7 Some Important Results of SOXc.International Financial Reporting Standards (IFRS)d.Extensible Business Reporting Language (XBRL)e.Shifting economy9.Competing in the global marketplacea.Sustainability and social responsibilityb.Tools for time-based competitioni.Advanced information systemsii.Ecommerceiii.Lean production1.Just-in-time2.Throughput timec.Total quality management and ISO 9001:2008KEY TOPICSThis chapter is the foundation for the rest of the text. Without a good understanding of thischapter, the student will have a difficult time understanding the remaining content.

Page 7

Class Notes for Managerial Accounting, Second Canadian Edition - Page 7 preview image

Loading page image...

Chapter 14After covering managers’ four primary responsibilities, consider offering the following example:A manager may wish to expand a company’s custodial service from only cleaning private homesto also cleaning corporate offices and plants. This goal is then developed into a budget(planning). That budget is analyzed thoroughly to determine both the price points and how tomarket the service (directing). After comparing the budget to the actual results, the managerialaccountant determines that the expansion into the new market is somewhat slower than expectedand decides to change its marketing strategy (controlling). Decision-making is the fourthresponsibility and occurs at all levels of the process. For example, if the marketing strategyworks and the corporation proceeds toward meeting its goals, the managerial accountant focusesattention on which new services will be offered, how much to charge for the services, and ifloyalty discounts should be given to existing customers who purchase these services (decision-making).In teams or in partners, have students completeE1-18B Managers’ responsibilities,whichshould take about five minutes. Call on a student to give the answers.At this point, the accounting student has most likely only been exposed to financial accounting.Students sometimes have a difficult time making the adjustment from financial to managerialaccounting. Use Exhibit 1-2 to emphasize the differences between financial and managerialaccounting. This is a great time to review the role of financial accountants in our society and thenexplain the role of management accountants. In doing so, be sure to also point out some of thesimilarities between financial and management accounting, as this will help students understandthat their study of management accounting focuses on external decision-makers, whereasmanagerial accounting focuses on internal decision-makers.Here’s an example: A manager is setting the price of items in the store. In order to make thisdecision, the manager needs to know the cost of the items, the other organizational costs, thesales prices for other similar items, etc. Of course, these matters are of great importance to aninternal management accountant. An external accountant would not make the same decisions;instead, he/she would make decisions based on information contained in the financial statements.In team or in partners, have students completeE1-20B Identify users of accountinginformation(10 minutes). Point out that most decisions impact non-accountants and stress theimportance for non-accounting majors to understand managerial accounting.Many students love to discuss ethical issues. Sometimes students may have ethical issuespresented to them in a casual way. Here is an example: A supervisor requests that you don’trecord your overtime on your timesheet. This will allow the supervisor to stay within the budget,but it doesn’t properly reflect what is happening within the organization. You feel pressure fromthe supervisor. Ask students what ethical issues are involved in this example.Ask students how many of them were left unsupervised when they first started a new job. Howaccurate was their work? Would the students feel responsible for making an error if they hadbeen properly trained?

Page 8

Class Notes for Managerial Accounting, Second Canadian Edition - Page 8 preview image

Loading page image...

Chapter 15Ask students to assume they work for a company. In this scenario, they will have heard that theircompany is being sold. The information is confidential, and they can’t speak about it. Whatwould they do if their best friend wanted to buy stock?You can useE1-23B Ethical dilemma(5 minutes) as a group or partner exercise.When discussing the Sarbanes-Oxley Act, remember that many of today’s students probablydon’t remember businesses before accounting scandals. Students have likely become cynicalabout accounting practices based on news media. Ask students to identify what would give themconfidence in the accounting decisions of an organization.In the shifting economy section, ask students if they think Apple manufactures its ownheadphones or if they are manufactured by an outside company. Ask them what informationmight be part of Apple’s decision: How much it would cost Apple to make the headphones? Howmuch would it cost to have someone else make them? If someone else made them, could thatmanufacturing space be used for additional funds?In the e-commerce section, ask students if they like to use self-checkout lanes. Why/why not?Ask how many students bought their textbooks online. Why/why not?In the lean production section, JIT management is easily illustrated by using milk as an example.If a company bought more milk than the space allowed on a store shelf, where would it be kept?Can it be kept cold? Is it worth paying for the refrigeration? How long can it be held to keep itfresh? JIT is more economical if the store does not buy large quantities of milk, but instead buyssmall amounts of milk more often.For a cost benefit example, ask students if they think retailers should attach large alarm tags onleather coats that would signal an alarm if someone carried the coat out of the store withoutpaying. Would these same tags be effective on candy bars? What factors make it better for thecoat than the candy? Answer: The tags would not be customer friendly and the cost of the tagswould not be worth the amount of candy stolen from the store (cost-benefit).Personalize the expected value concept by comparing the cost investment in college to theexpected increase in earnings the students expect to have with their education.Have student completeE1-27B Lean production cost-benefit analysis(5 minutes) in teams orpartners.

Page 9

Class Notes for Managerial Accounting, Second Canadian Edition - Page 9 preview image

Loading page image...

Chapter 16CHAPTER 1: STUDENT SUMMARY HANDOUT1.Managers’ four primary responsibilitiesa.Planningb.Directingc.Controllingd.Decision-Making2.Differences between Financial Accounting and Managerial Accounting3.Organizational structure and how management accountants fit ina.Changing rolesb.Skills required4.The CMA and ethical standardsa.Competenceb.Confidentialityc.Credibilityd.Integritye.Independence5.Regulatory and business trends6.Competition in today’s global marketplace

Page 10

Class Notes for Managerial Accounting, Second Canadian Edition - Page 10 preview image

Loading page image...

Chapter 17CHAPTER 1: ASSIGNMENT GRIDAssignmentTopic(s)LearningObjective(s)EstimatedTime inMinutesLevel ofDifficultyAvailable inExcelTemplatesShort ExercisesS1-1Roles of managers15EasyS1-2Contrast managerial andfinancial accounting25EasyS1-3Accounting roles in theorganization35EasyS1-4Role of internal auditfunction35EasyS1-5Importance of ethicalstandards45EasyS1-6Violations of ethicalstandards45EasyS1-7Identify current competitivetools55EasyExercises (Set A)E1-8AManager's responsibilities15EasyXE1-9ADefine key terms1 & 25EasyE1-10AIdentify users of accountinginformation310EasyE1-11AClassify roles within theorganization35EasyE1-12AProfessional organizationand certification45EasyE1-13AEthical dilemma45EasyE1-14AClassify ethicalresponsibilities410EasyE1-15ADefine key terms510EasyE1-16ASummarize the Sarbanes-Oxley Act510MediumE1-17ALean production cost-benefitanalysis55MediumExercises (Set B)E1-18BManager's responsibilities15EasyE1-19BDefine key terms1 & 25EasyE1-20BIdentify users of accountinginformation310EasyXE1-21BClassify roles within theorganization35EasyE1-22BProfessional organizationand certification45EasyE1-23BEthical dilemma45EasyE1-24BClassify ethicalresponsibilities410EasyE1-25BDefine key terms510EasyE1-26BSummarize the Sarbanes-510Medium

Page 11

Class Notes for Managerial Accounting, Second Canadian Edition - Page 11 preview image

Loading page image...

Chapter 18AssignmentTopic(s)LearningObjective(s)EstimatedTime inMinutesLevel ofDifficultyAvailable inExcelTemplatesOxley ActE1-27BLean production cost-benefitanalysis55MediumProblems (Set A)P1-28AManagement processes andaccounting information1 & 2P1-29AEthical dilemmas410MediumP1-30AERP, cost-benefit analysis515-20MediumP1-31AEcommerce cost-benefitanalysis510MediumXP1-32AContinuation of P1-31A:revised estimates515DifficultProblems (Set B)P1-33BManagement processes andaccounting information1 & 210EasyP1-34BEthical dilemmas410MediumP1-35BERP cost-benefit analysis520MediumXP1-36BEcommerce cost-benefitanalysis510MediumP1-37BContinuation of P1-36B:revised estimates515DifficultOtherDecisionCaseC1-38Ethical standards45EasyEthical IssueI1-39Ethical dilemma45-10EasyTeam ProjectT1-40Interviewing a localcompany about ecommerce560DifficultDiscussionand AnalysisAll60MediumApplicationand AnalysisAll30-60Medium

Page 12

Class Notes for Managerial Accounting, Second Canadian Edition - Page 12 preview image

Loading page image...

Chapter 19ANSWER KEY TO CHAPTER 1 QUIZ (Quiz on following pages.)1.C2.B3.B4.B5.D6.A7.D8.A9.C10. B

Page 13

Class Notes for Managerial Accounting, Second Canadian Edition - Page 13 preview image

Loading page image...

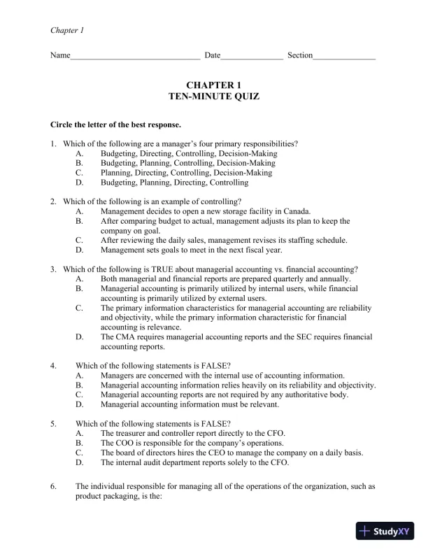
Chapter 110Name_______________________________ Date_______________ Section_______________CHAPTER 1TEN-MINUTE QUIZCircle the letter of the best response.1.Which of the following are a manager’s four primary responsibilities?A.Budgeting, Directing, Controlling, Decision-MakingB.Budgeting, Planning, Controlling, Decision-MakingC.Planning, Directing, Controlling, Decision-MakingD.Budgeting, Planning, Directing, Controlling2.Which of the following is an example of controlling?A.Management decides to open a new storage facility in Canada.B.After comparing budget to actual, management adjusts its plan to keep thecompany on goal.C.After reviewing the daily sales, management revises its staffing schedule.D.Management sets goals to meet in the next fiscal year.3.Which of the following is TRUE about managerial accounting vs. financial accounting?A.Both managerial and financial reports are prepared quarterly and annually.B.Managerial accounting is primarily utilized by internal users, while financialaccounting is primarily utilized by external users.C.The primary information characteristics for managerial accounting are reliabilityand objectivity, while the primary information characteristic for financialaccounting is relevance.D.The CMA requires managerial accounting reports and the SEC requires financialaccounting reports.4.Which of the following statements is FALSE?A.Managers are concerned with the internal use of accounting information.B.Managerial accounting information relies heavily on its reliability and objectivity.C.Managerial accounting reports are not required by any authoritative body.D.Managerial accounting information must be relevant.5.Which of the following statements is FALSE?A.The treasurer and controller report directly to the CFO.B.The COO is responsible for the company’s operations.C.The board of directors hires the CEO to manage the company on a daily basis.D.The internal audit department reports solely to the CFO.6.The individual responsible for managing all of the operations of the organization, such asproduct packaging, is the:

Page 14

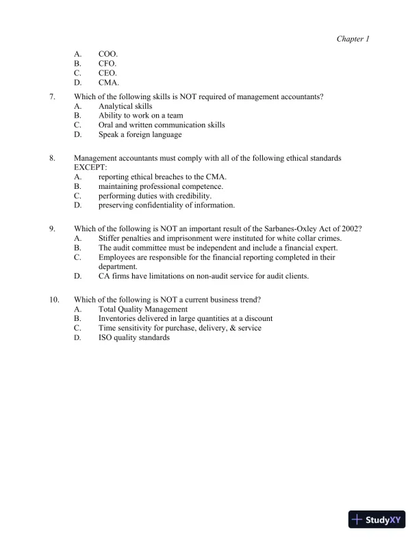
Class Notes for Managerial Accounting, Second Canadian Edition - Page 14 preview image

Loading page image...

Chapter 111A.COO.B.CFO.C.CEO.D.CMA.7.Which of the following skills is NOT required of management accountants?A.Analytical skillsB.Ability to work on a teamC.Oral and written communication skillsD.Speak a foreign language8.Management accountants must comply with all of the following ethical standardsEXCEPT:A.reporting ethical breaches to the CMA.B.maintaining professional competence.C.performing duties with credibility.D.preserving confidentiality of information.9.Which of the following is NOT an important result of the Sarbanes-Oxley Act of 2002?A.Stiffer penalties and imprisonment were instituted for white collar crimes.B.The audit committee must be independent and include a financial expert.C.Employees are responsible for the financial reporting completed in theirdepartment.D.CA firms have limitations on non-audit service for audit clients.10.Which of the following is NOT a current business trend?A.Total Quality ManagementB.Inventories delivered in large quantities at a discountC.Time sensitivity for purchase, delivery, & serviceD.ISO quality standards

Page 15

Class Notes for Managerial Accounting, Second Canadian Edition - Page 15 preview image

Loading page image...

CHAPTER 2Building Blocks of Managerial AccountingCHAPTER OVERVIEWChapter 2 begins with a discussion of the three most common business sectors: service,merchandising, and manufacturing, and describes the types of inventory held by each.The text then describes the six business activities that comprise the value chain, focusingon how important, yet costly, each business activity is to perform. Next, the chapterintroduces the concept of cost objects and describes the difference between the directcosts and indirect costs of any chosen cost object. The first half of the chapter concludesby describing the difference between period costs (operating expenses) and inventoriableproduct costs. Examples of each cost concept are illustrated for both merchandising andmanufacturing companies. The second half of the chapter illustrates the similarities anddifferences between the financial statements of service, merchandising andmanufacturing companies. This discussion includes a fully-worked out example of howmanufacturers compute the Cost of Goods Manufactured. The chapter concludes bydiscussing other cost concepts frequently used by managers, including controllable versusuncontrollable costs, relevant versus irrelevant costs, and fixed versus variable costs. Allcost concepts introduced in this chapter will be revisited in later chapters of the text.LEARNING OBJECTIVESAfter studying Chapter 2, your students should be able to:1.Distinguish among service, merchandising, and manufacturing companies.2.Describe the value chain and its elements.3.Distinguish between direct and indirect costs.4.Identify the inventoriable product costs and period costs of merchandising andmanufacturing firms.5.Prepare the financial statements for service, merchandising, and manufacturingcompanies.6.Describe costs that are relevant and irrelevant for decision making.7.Classify costs as fixed or variable and calculate total and average costs at differentvolumes.

Page 16

Class Notes for Managerial Accounting, Second Canadian Edition - Page 16 preview image

Loading page image...

Chapter 213.TEACHING OUTLINE1.Distinguish among three types of companiesa.Serviceb.Merchandisingi.Retailersii.Wholesalersc.Manufacturingi.Raw materials inventory (RM)ii.Work in process inventory (WIP)iii.Finished goods inventory (FG)2.Describe the value chain and its elementsa.Research and developmentb.Designc.Production or purchasesd.Marketinge.Distributionf.Customer serviceg.Coordinating activities across the value chain3.Defining costa.Cost objects, direct costs and indirect costs4.Identify inventoriable product costs and period costs of merchandisingmanufacturing firmsa. Total costs for internal decision makingb. Inventoriable product costs for external reportingc. Merchandising companies’ inventoriable product costsd.Manufacturing companies inventoriable product costsi.Direct materials (DM)ii.Direct labour (DL)iii.Manufacturing overhead (MOH)e.Review inventoriable product costs or period costsf.Prime and conversion costsg. Additional labour compensation costs5.Prepare financial statements for service, merchandising and manufacturingcompaniesa.Service companyb.Merchandising companiesc.Manufacturing companiesi.Calculating the cost of goods manufacturedii.Flow of costs through inventory accounts

Page 17

Class Notes for Managerial Accounting, Second Canadian Edition - Page 17 preview image

Loading page image...

Chapter 214d.Balance sheet comparisons6.Relevant and irrelevant costsa.Controllable vs. uncontrollable costsb.Relevant and irrelevant costsi.Differential costii.Sunk cost7.Classify costs as fixed or variable costs and calculate total and average costs atdifferent volumesa.Behaviour of manufacturing costsi.Fixed costsi.Variable costsb.Calculating total and average costsKEY TOPICSStudents can never review too many financial statements. The coverage of themanagement accountant’s role in service, merchandising and manufacturing companies isa great time to review the income statement. This can be done by reviewingExhibits 2-11, 2-12, and 2-13and by contrasting the differences. Emphasize the logical flow of allthree types of income statements.Have students work in teams or with a partner and completeE2-32B Identify types ofcompanies and their inventories(5 minutes). Call on a student to report the answers.After discussing product costs (DM, DL, MOH) and period costs, prime costs andconversion costs, have students completeE2-37B Classify and calculate amanufacturer’s costs(10 minutes) in teams and report their answers.Students need to understand that manufacturing companies have a broad range ofproduction activities that require tracking in three kinds of inventory: raw materials(RM), work in process (WIP), and finished goods (FG). Students should understand thatall three of these inventories are assets. This is also a good time to explain to students thatfinished goods (FG) inventory is an inventoriable product cost with three costcomponents: direct materials (DM), direct labour (DL), and manufacturing overhead(MOH). Explain these three components in detail.The schedule of cost of goods manufactured summarizes the activities that take place in amanufacturing plant over the period. UseExhibits 2-14 and 2-16to explain the logicalflow of costs in a manufacturing environment. Point out that the first two inventories(RM and WIP) show up on the schedule, while the third inventory (FG) shows up on theincome statement.When describing the differences between fixed and variable costs, be sure to reinforcethat these terms illustrate the way in which a cost behaves. If the total cost

Page 18

Class Notes for Managerial Accounting, Second Canadian Edition - Page 18 preview image

Loading page image...

Chapter 215.increases/decreases as a result of changes in sales/production, then it’s a variable cost (ora mixed cost). Let them know that sometimes a fixed cost will fluctuate over differenttime periods, but that it is not changing as a result of changes in sales/production.Emphasize that the schedule of cost of goods manufactured must be prepared before theincome statement as it’s needed to compute cost of goods sold for a manufacturer. Workthrough an example of a schedule and the income statement on the board.Suggest your students make and use flashcards for all the definitions/terminology in thischapter. In addition, some students are overwhelmed when they see a completed incomestatement for a manufacturer. Show them how to break it down into smaller pieces andthen put it together. For instance, begin with computing gross profit. S – COGS = GP.Then show the detail for COGS: Beginning inventory + Purchases = Cost of GoodsAvailable for Sale – Ending inventory = COGS. Abbreviations can help students as well:BI + P = GAFS – EI = COGS.

Page 19

Class Notes for Managerial Accounting, Second Canadian Edition - Page 19 preview image

Loading page image...

Chapter 216CHAPTER 2: STUDENT SUMMARY HANDOUT1.The three most common types of companiesa.Serviceb.Merchandisingi.Retailersii.Wholesalersc.Manufacturingi.Raw materialsii.Work in processiii.Finished goods2.Value Chaina.Research and Developmentb.Designc.Production or Purchasesd.Marketinge.Distributionf.Customer Service3.Cost Objectsa.Direct Costsb.Indirect Costs4.Costs for internal decision making and external reportinga.Total costs for internal decision makingb.Inventoriable product costs for external reportingi.Specified inventoriable costsii.Period costs (operating expenses)5.Inventoriable Product Costs for Merchandising Companiesa.Cost of the merchandise itselfb.Freight-in and any import duties6.Inventoriable Product Costs for Manufacturing Companiesa.Direct Materialsb.Direct Labourc.Manufacturing Overheadi.Indirect materialsii.Indirect labouriii.Other indirect manufacturing costsd.Prime and Conversion costse.Additional labour compensation costs

Page 20

Class Notes for Managerial Accounting, Second Canadian Edition - Page 20 preview image

Loading page image...

Chapter 217.7.Income Statementsa.Service Companiesb.Merchandising Companiesc.Manufacturing Companiesi.Calculating Cost of Goods Manufacturedii.Flow of costs through the accounts8.Comparing Balance Sheets9.Other Cost Termsa.Controllable versus uncontrollable costsb.Relevant and irrelevant costsc.Fixed and variable costsd.Calculating total and average costs

Page 21

Class Notes for Managerial Accounting, Second Canadian Edition - Page 21 preview image

Loading page image...

Chapter 218CHAPTER 2: ASSIGNMENT GRIDAssignmentTopic(s)LearningObjective(s)EstimatedTime inMinutes(s)Level ofDifficultyAvailable inExcelTemplatesShort ExercisesS2-1Identify type of companyfrom balance sheets15EasyS2-2Identify types of companies& inventories15EasyS2-3Label value chain functions25EasyS2-4Classify costs by value chainfunctions25EasyS2-5Classify costs as either director indirect35EasyS2-6Classify inventoriableproduct costs and periodcosts45EasyS2-7Classify a manufacturer’scost45EasyS2-8Classify costs incurred bya dairy processingcompany45EasyS2-9Determine totalmanufacturing overhead45EasyS2-10Compute Cost of GoodsSold for a merchandiser55EasyS2-11Prepare a retailer’sincome statement55EasyS2-12Calculate direct materialsused55EasyS2-13Compute Cost of GoodsManufactured55EasyS2-14Consider relevantinformation65EasyS2-15Classify costs as fixed orvariable75EasyExercises (Set A)E2-16AIdentify types ofcompanies and theirinventories15EasyE2-17AClassify costs along thevalue chain for a retailer210EasyE2-18AClassify costs along thevalue chain for a2 & 310Easy

Page 22

Class Notes for Managerial Accounting, Second Canadian Edition - Page 22 preview image

Loading page image...

Chapter 219.AssignmentTopic(s)LearningObjective(s)EstimatedTime inMinutes(s)Level ofDifficultyAvailable inExcelTemplatesmanufacturerE2-19AClassify costs as direct orindirect35EasyXE2-20ADefine cost terms3 & 410EasyE2-21AClassify and calculate amanufacturer’s costs3 & 410EasyE2-22APrepare the current assetssection of the balancesheet510MediumXE2-23APrepare a retailer’sincome statement510MediumXE2-24ACompute direct materialsused and cost of goodsmanufactured510MediumE2-25ACompute cost of goodsmanufactured and cost ofgoods sold510MediumE2-26AContinues E2-25A:Prepare income statement510MediumE2-27AWork backwards to findmissing amounts510MediumE2-28ADetermine whetherinformation is relevant65EasyE2-29ADescribe other cost terms6 & 75EasyE2-30AClassify costs as fixed orvariable710MediumXE2-31ACompute total andaverage costs710MediumExercises (Set B)E2-32BIdentify types ofcompanies and theirinventories15EasyE2-33BClassify costs along thevalue chain for a retailer210EasyE2-34BClassify costs along thevalue chain for amanufacturer2 & 310EasyE2-35BClassify costs as direct orindirect35EasyE2-36BDefine cost terms3 & 410EasyE2-37BClassify and calculate amanufacturer’s costs3 & 410Easy

Page 23

Class Notes for Managerial Accounting, Second Canadian Edition - Page 23 preview image

Loading page image...

Chapter 220AssignmentTopic(s)LearningObjective(s)EstimatedTime inMinutes(s)Level ofDifficultyAvailable inExcelTemplatesE2-38BPrepare the current assetssection of the balancesheet510MediumE2-39BPrepare a retailer’sincome statement510MediumE2-40BCompute direct materialsused and cost of goodsmanufactured510MediumE2-41BCompute cost of goodsmanufactured and cost ofgoods sold510MediumE2-42BContinuesE2-41B:Prepare income statement510MediumE2-43BWork backwards to findmissing amounts510MediumE2-44BDetermine whetherinformation is relevant65EasyE2-45BDescribe other cost terms6 & 75EasyE2-46BClassify costs as fixed orvariable710MediumE2-47BCompute total andaverage costs710MediumProblems (Set A)P2-48AClassify costs along thevalue chain2 & 410MediumP2-49APrepare incomestatements510DifficultP2-50AFill in missing amounts515MediumP2-51AIdentify relevantinformation615-20DifficultP2-52ACalculate the total andaverage costs715DifficultProblems (Set B)P2-53BClassify costs along thevalue chain2 & 410MediumP2-54BPrepare incomestatements510Difficult

Page 24

Class Notes for Managerial Accounting, Second Canadian Edition - Page 24 preview image

Loading page image...

Chapter 221.AssignmentTopic(s)LearningObjective(s)EstimatedTime inMinutes(s)Level ofDifficultyAvailable inExcelTemplatesP2-55BFill in missing amounts515MediumP2-56BIdentify relevantinformation615-20DifficultP2-57BCalculate the total andaverage costs715DifficultOtherDecision CaseC2-58Determine endinginventory balances515MediumDiscussionand AnalysisAll60MediumApplicationand AnalysisAll30-60Medium

Page 25

Class Notes for Managerial Accounting, Second Canadian Edition - Page 25 preview image

Loading page image...

Chapter 222ANSWER KEY TO CHAPTER 2 QUIZ (Quiz on following pages.)1.B2.D3.C4.A5.A6.A7.B8.D9.D10. B

Page 26

Class Notes for Managerial Accounting, Second Canadian Edition - Page 26 preview image

Loading page image...

Chapter 223.Name_________________________ Date_______________ Section_______________CHAPTER 2TEN-MINUTE QUIZCircle the letter of the best response.1.A portion of a company’s inventory is shown below:Sales$350,000Cost of Goods Sold:Beginning Inventory$ 15,000Purchases250,000Cost of Goods Available for Sale265,000Less: Ending Inventory13,000Cost of Goods Sold252,000Gross Profit$ 98,000What type of company is illustrated?A.Service CorporationB.Merchandising CorporationC.Manufacturing CorporationD.Not-for-profit Corporation2.Which of the following is NOT a value chain activity?A.Research & DevelopmentB.ProductionC.DistributionD.Quality Control3.Which of the following is a direct cost in the production of tire jacks for amachine shop?A.UtilitiesB.TaxesC.SteelD.Rent4.Which of the following is an indirect cost in the construction cost of a home for abuilding company?A.InsuranceB.PaintC.LumberD.Carpeting

Page 27

Class Notes for Managerial Accounting, Second Canadian Edition - Page 27 preview image

Loading page image...

Chapter 2245.Which of the following companies has all costs along the value chain accountedfor as period costs?A.Service CorporationB.Merchandising CorporationC.Manufacturing CorporationD.None of the above6.A manufacturer would treat direct materials, direct labour, and overhead as:A.inventoriable product costs.B.period costs.C.both inventoriable product and period costs.D.neither inventoriable product nor period costs.7.Which of the following is NOT a relevant cost when buying new manufacturingequipment?A.Sales taxB.Cost of machine being replacedC.Purchase priceD.Insurance on the machine8.Which of the following is a fixed cost for a plant that manufactures iPods?A.Plastic used to make the casesB.Employee wages for assemblyC.Computer chip used in each iPodD.Straight-line depreciation on stamping machine used to form iPod cases9.Which of the following is a variable cost for a plant that manufactures iPods?A.Advertising costsB.Salary of payroll clerkC.Straight line depreciation of warehouse buildingD.Wire used for the headphones10.Rocketspray’s manufacturing costs for July are:* Materials cost: $4,000* Labour cost: $3,200* Overhead: $800If Rocketspray’s one plant employee manufactured 10 bottles per hour, andworked 8 hours per day for 20 days in July, what is the cost per bottle?A.$3C.$20B.$5D.$24

Page 28

Class Notes for Managerial Accounting, Second Canadian Edition - Page 28 preview image

Loading page image...

CHAPTER 3Job CostingCHAPTER OVERVIEWThis chapter outlines the two basic costing systems: job costing and process costing. Jobcosting is used when relatively small quantities of unique products are manufactured.Process costing is used when large quantities of homogeneous products aremanufactured.The chapter begins by comparing and contrasting job costing and process costing. Next,the chapter explains the documents and system used to trace direct materials and directlabour to specific jobs. The text reviews how manufacturing overhead is allocated to eachjob using a predetermined overhead rate. Job cost information is then used to makevarious business decisions.The second half of the chapter discusses the how over- and underallocated manufacturingoverhead, is typically closed to cost of goods sold. The final section of the chapterillustrates all journal entries associated with a job costing system. Finally, the appendixillustrates job costing at a service company (law firm).LEARNING OBJECTIVESAfter studying Chapter 3, your students should be able to:1.Distinguish between job costing and process costing.2.Understand the flow of production and how direct materials and direct labourare traced to jobs.3.Compute a predetermined manufacturing overhead rate and use it to allocateMOH to jobs.4.Determine the cost of a job and use it to make business decisions.5.Compute and dispose of overallocated or underallocated manufacturingoverhead.6.Prepare journal entries for a manufacturer’s job costing system.7.(Appendix) Use job costing at a service firm as a basis for billing clients.TEACHING OUTLINE1.Distinguish between job costing and process costinga.Process costingb.Job costing

Page 29

Class Notes for Managerial Accounting, Second Canadian Edition - Page 29 preview image

Loading page image...

Chapter 3262.Understand the flow of production and how direct materials and direct labour aretraced to jobsa.Flow of inventory through a manufacturing systemb.Using a job cost record to accumulatei.Tracing direct materials cost to a jobii.Tracing direct labour cost to a job3.Compute a predetermined manufacturing overhead (MOH) rate and use it toallocate MOH to jobsa.Explain what allocating meansb.Steps to allocating MOHi.Step 1)The company estimates its total MOH costs for the comingyear.ii.Step 2)The company selects an allocation base and estimates thetotal amount that will be used during the year.iii.Step 3)The company calculates its predetermined MOH rate usingthe information estimated in Steps 1 and 2.iv.Step 4)The company allocates some MOH to each individual job.c.Discuss the point in time at which MOH is allocated to jobs4.Determine the cost of a job and use it to make business decisionsa.Reducing future job costsb.Assessing and comparing the profitability of each modelc.Dealing with pricing pressure from competitorsd.Allowing discounts on high volume salese.Bidding for custom ordersf.Preparing the financial statements5.Compute and dispose of overallocated or underallocated manufacturing overheada.Underallocated MOHb.Overallocated MOHc.Adjusting Cost of Goods Sold in most cases6.Prepare journal entries for a manufacturer’s job costing systema.Purchase of raw materialsb.Use of direct materialsc.Use of indirect materialsd.Use of direct laboure.Use of indirect labourf.Incurring other MOH costsg.Allocating MOH to jobsh.Completion of jobsi.Sale of unitsj.Operating expensesk.Closing MOH

Page 30

Class Notes for Managerial Accounting, Second Canadian Edition - Page 30 preview image

Loading page image...

Chapter 3277.(Appendix) Use job costing at a service firm as a basis for billing clientsa.Direct costs are traced to the client’s jobb.Indirect costs are allocated to the client’s jobi.Step1) Estimate the total indirect costs for the coming year.ii.Step 2) Choose an allocation base and estimate the total amountthat will be used during the year.iii.Step 3) Compute the predetermined indirect cost allocation rate.iv.Step 4) Allocate indirect costs to client jobs using thepredetermined rate.c.Finding the total cost of the job and adding a profitd.Invoicing the client using a professional billing ratee.Journal entries needed in a service firm’s job costing systemKEY TOPICSMake it clear to students that both a job costing system and a process costing systemprovide the same basic production costing information. The difference in the two systemsis the way they accumulate the costs. The first major distinction between the two systemsis quantity and uniqueness of product while the second is costing. Process costing is usedwhen large quantities of homogeneous product are produced; the total costs are dividedby the quantity produced to give the average cost. Job costing is used by companies thatproduce smaller quantities of relatively unique products which vary in the manufacturingresources required. Direct materials (DM) and direct labour (DL) costs are traced to theproduct while manufacturing overhead is allocated to the product using a predeterminedmanufacturing overhead rate.Have students work in teams or with a partner and completeE3-32B Identify type ofcosting system(5 minutes). Call on a student to report the answers.Stress that there are three product or manufacturing costs: DM, DL, and MOH. Keeprepeating this throughout the chapter presentation. All manufacturing costs flow into theWIP inventory account. MOH is allocated to jobs based on a predetermined rate usingestimated data.Students are typically confused as to why overhead needs to be allocated rather thanadded directly to jobs as it is used. Explain that this is a timing problem. Companies needthe cost information for decision making before the actual costs are known. UseE3-44BAnalyze manufacturing overheadto illustrate how the MOH rate is predetermined andthen how it’s used. Help students to understand that debits to the MOH account representactual (or incurred) MOH costs and credits to the MOH account represent allocatedMOH. Draw a T-account on the board and write “actual” on the debit side and“allocated” on the credit side. Enter the MOH entries into the T-account to show studentshow to determine whether MOH was over- or underallocated. Emphasize that the accountis temporary and how to close the account at the end of the period.

Page 31

Class Notes for Managerial Accounting, Second Canadian Edition - Page 31 preview image

Loading page image...

Chapter 328The job cost record is the subsidiary ledger supporting the Work in Process (WIP)general ledger account. The job cost records are used to “prove” the WIP balance. Thesubsidiary ledger keeps track of the specific jobs being produced by the company.Have students work in teams to solveE3-41B Determine the cost of a job(15 minutes).Ask students to explain the differences between the recording for materials and labour.Over- or underallocated MOH at the end of the period should, in theory, be dividedamong Finished Goods (FG), WIP, and Cost of Goods Sold (COGS) in proportion totheir ending balances because these are the accounts in which the MOH costs lie. Inreality, because most of the jobs have been sold, companies will close the MOH to COGSonly.Most of the accounts involved in a job order costing system can be characterized as costaccounts. Relating cost accounts to expense accounts and asset accounts can helpstudents quickly grasp the accounting flows. UseE3-48B Analyze T-accountstoillustrate the flow.Illustrate job costing in a service firm by using a maid service as an example.1.Estimate total indirect costs-office rent, insurance, etc. For example, estimate$100,000.2.Identify a cost allocation base-for example, number of homes cleaned per year.3.Estimate total quantity of the indirect cost allocation base-for example, 1,000homes.4.Compute the predetermined indirect cost allocation rate: $100,000/1,000 = $100per property.5.Obtain the actual quantity of the cost allocation base used by individual jobs-forexample, 995 homes cleaned.6.Allocate indirect cost to jobs-for example, if 995 homes were cleaned and theallocation rate is $100 per property, the amount allocated to overhead would be$99,500.Students are interested to know that the cost mark-up varies greatly by industry. In thechapter they learn that the cross-trainer that sells for $1,900 cost the company $1,160 toproduce. However, students tend to forget that the markup of $740 is not all profit, butmust cover sales commissions as well as other non-inventoriable costs.
Preview Mode

This document has 153 pages. Sign in to access the full document!

Study Now!

XY-Copilot AI
Unlimited Access
Secure Payment
Instant Access
24/7 Support
Document Chat

Related Documents

View all