Money, Banking and Financial Markets, 5th Edition Solution Manual

Money, Banking and Financial Markets, 5th Edition Solution Manual makes studying stress-free with well-organized chapter insights.

Lily Green
Contributor
4.3
36
5 months ago
Preview (16 of 292 Pages)
100%
Purchase to unlock

Page 1

Money, Banking and Financial Markets, 5th Edition Solution Manual - Page 1 preview image

Loading page image...

Chapter 01 An Introduction to Money and the Financial System1-1Chapter 1An Introduction to Money and the Financial SystemProblems1.List the financial transactions you have engaged in over the past week. Howmighteach one have been carried out 50 years ago?(LO1)Answer: Commercial purchases that you made likely used credit cards and debitcards.Fiftyyears ago they would have all used cash. Payment of utilities (if you doit) might have been done by electronic transfer, rather than a check (which wouldhave been the method 50years ago).2.Howwereyou,oryour family oryourfriendsaffected by therecentfailure of thefinancial system to function normallyduring the financial crisis of 2007-2009?(LO1)Answer: It is likely that you or someone you knowhad an account with one of themany financial institutions that folded during the crisis, or that someone you knowwas refused a business loan or a mortgage or had a bank foreclose on their house.3.List three items you used to buy with cashbut you now purchase witha debit card.(LO1)Answer: Among the possibilities: purchases of cappuccino at the local coffee shop,gasoline for your car, and groceries for the week.4.Various financial instrumentsusually serve one of two distinct purposes: to storevalue or to transfer risk.Name a financial instrumentused foreach purpose.(LO1)Answer: Financial instruments used to store value include bank accounts, stocks andbonds. Instruments used to transfer risk include car insurance and lifeinsurance.5.Financial innovation has reduced individuals’ need to carry cash. Explain how.(LO1)Answer: Everyone has a number of alternative methods of payment. Electronicforms, like credit and debit cards, are the primary ones that have reduced need tocarry cash.

Page 2

Money, Banking and Financial Markets, 5th Edition Solution Manual - Page 2 preview image

Loading page image...

Page 3

Money, Banking and Financial Markets, 5th Edition Solution Manual - Page 3 preview image

Loading page image...

Chapter 01 An Introduction to Money and the Financial System1-26.* Many people believe that, despite ongoing financial innovations, cash willalwaysbe with us to some degree as a form of money. Whatcoreprinciple couldjustify thisview?(LO2)Answer: CorePrinciple 3information is the basis for decisions. When cash is usedto settle a transaction, it is a final payment, not some form ofapromise to pay. Noinformation is needed about the payer once cash has been handed over to settle atransaction. This has obvious advantages to the recipient, as the information costs arenegligible. In some circumstances, one or both parties to a transaction may wish topreserve their anonymity, and cash allows this.7.When you apply for a loan, you are required to answer lotsof questions. Why?Whyis the set of questions you must answer standardized?(LO2)Answer: The questions are aimed at figuring out how likely you are to repay the loan.They are standardized to reduce the cost of making the loan.8.Name twodistinctfinancial marketsand describe the kind of asset traded in each.(LO1)Answer: Among the best-known financial markets are those for stocks and for bonds.In the stock markets, equities or ownership shares in companies are bought and sold.Inthe bond market, debt issues of government units or companies are traded.9.* Why do you think the financial system has become moregloballyintegrated overtime? Can you think of any downside to this increased integration?(LO1)Answer: Technological progress is one obvious reason. According toCorePrinciple3, information is the basis for decisions. Improvements in technology have allowedfor huge volumes of information to be collected and disseminated quickly andcheaply on a global basis, facilitating long distance financial transactions.Increasedintegration allows for problems that arise in the financial system of one country tospread more quickly and easily to other countries, as we saw during the financialcrisis of 2007-2009.10.The government is heavily involved in the financial system. Explain why.(LO1)Answer: For markets to work there haveto be rules. And the rules need to beenforced. The government both makes the rules and enforces them so that we all trustthe markets to work as they should. Without the government to monitor the financialsystem, ensuring that people behave themselves, the system would collapse.

Page 4

Money, Banking and Financial Markets, 5th Edition Solution Manual - Page 4 preview image

Loading page image...

Chapter 01 An Introduction to Money and the Financial System1-311.If offered the choice of receiving $1,000 today or $1,000 in one year’s time, whichoption would you choose,and why?(LO2)Answer: CorePrinciple 1 states that time has value, so you should choose option 1.By receiving the $1,000 today, you canimmediately put the money to use. Perhapsyou buy a new computer or put the money in the bank to earn interest. Regardless ofwhat you do with the money, waiting a year to receive the money involves anopportunity cost.12.If time has value, why are financial institutions often willing to extend you a 30-yearmortgage at a lower annual interest rate than they would charge for a one-year loan?(LO2)Answer: With a mortgage, the house you purchase acts as collateral for the loan. Inthe event you default, the bank can sell the house and recoup its funds. The existenceof collateral reduces the risk associated with the loan and so reduces thecompensation the bank requires.13.Using Core Principle 2, under what circumstances would you expect a job applicantto accept an offer of a low base salary and an opportunity to earn commission overone with a higher base salary and no commission potential?(LO2)Answer: The applicant would have to expect to earn a higher total salary working fora low base and commission, as they require compensation for the risk they assumedue to the uncertainty about the level of commission earnings.14.Suppose medical research confirms earlier speculation that red wine is good for you.Why would banks be willing to lend to vineyards that produce red wine at a lowerinterest rate than before?(LO2)Answer: The future prospects for the vineyards have improved, reducing the riskinvolved in lending to them. The banks require less compensation than before.15.* If the U.S. Securities and Exchange Commission eliminated its requirement forpublic companies to disclose information about their finances, what would you expectto happen to the stock prices for these companies?(LO2)Answer: You should expect the stock prices to fall.Gathering sufficient informationupon which to make an informed investment decision would become much morecostly for investors, reducing the demand for the stock at a given price.

Page 5

Money, Banking and Financial Markets, 5th Edition Solution Manual - Page 5 preview image

Loading page image...

Chapter 01 An Introduction to Money and the Financial System1-416.If 2 percent growth is your break-even point for an investment project, under whichoutlook for the economy would you be more inclined to go ahead with theinvestment: (1) A forecast for economic growth that ranges from 0to4 percent, or (2)a forecast of 2 percent growth for sure, assuming the forecasts are equally reliable?Whatcoreprinciple does this illustrate?(LO2)Answer: You would be more inclined to invest in the project if you knew for sure thatgrowth would be 2%.Uncertainty about the future makes investment less attractive,as you run the risk of losing out if the lower end of the forecast is realized.Thisillustrates core principle 5stability improves welfare.17.* Why are large, publiclylisted companies much more likely than small businesses tosell financial instruments such as bonds directly to the market, while small businessesget their financing from financial institutions such as banks?(LO2)Answer:Information costs associated with small businesses are higher than those forlarge, publicly listed companiescoststhat bond market investors are unlikely to bewilling to incur. Banks are skilled at gathering information about borrowers andevaluating the risks associated with loans. Therefore, they are more likely to bewilling to lend to smaller businesses.18.* During the financial crisis of 2007-2009, some financial instruments that receivedhigh ratings in terms of their safety turned out to be much riskier than those ratingsindicated. Explain why markets for other financial instruments mighthavebeenadversely affected by that development.(LO2)Answer: CorePrinciple 3 states thatinformation is the basis for decisions. Ratingsare an important source of information for investors in assessing many financialinstruments, and so when confidence in that information is undermined, they are morereluctant to lend.19.Suppose financial institutions didn’t exist but you urgently needed a loan. Wherewould you most likely get this loan? UsingCorePrinciples, identify an advantage anda disadvantage this arrangement might have over borrowing from a financialinstitution.(LO2)Answer: In the absence of financial institutions, you are most likely to borrow from afamily member or a friend. An advantage of this arrangement, underCorePrinciple3, would be that your family and friends naturally have more information about youthan a bank and know, without having you fill in copious forms, that you can berelied upon to pay them back. A disadvantage would be the necessity of finding afamily member or friend who happened to have funds available to lend to you at thatparticular point in time. Financial institutions help bring potential borrowers and

Page 6

Money, Banking and Financial Markets, 5th Edition Solution Manual - Page 6 preview image

Loading page image...

Chapter 01 An Introduction to Money and the Financial System1-5lenders in the financial market together to allocate available resources (Core principle4).20.In broad terms, explain how a central bank tries to maintain economic and financialstability and encourage economic growth. (LO1)Answer:Central banks can moderate business cycle fluctuationsby adjusting interestrates. They also have powerful tools to steady fragile financial systems and to supportdysfunctional markets. By helping to reduce the volatility associated with businesscycles and financial instability, they reduce the risks that individuals can’t eliminateon their own, allowing to invest in the future. That promotes economic growth.21.The Dodd-Frank Act, enacted in the United Statesin the aftermath of the 2007-2009financial crisis,includes provisions aimed at enhancing the coordination of variousregulatory agencies. Which two core principles might best explain these reforms?(LO2)Answer:Core Principle 3-Information is the basis for decisions.Coordination shouldimprovethe flow of information among regulatory agencies, enabling better decision making.Core Principle 5-Stability improves welfare. Improved regulation as a result ofgreater coordination should bring greater stability to the financial system and soimprove welfare.22.InDecember 2015, the Federal Reserve increased its policy interest rate target. Thiswasthe firstincreasesince cutting the target to close to zero in December 2008tocombat the economy weakness associated with the financial crisis. If central banksuse interest rates to moderate business cycle swings in the economy, what might youinfer from this decision about the Fed’s view of the economy? (LO2)Answer:The Federal Reserve’s decision to begin raising the target for the policyinterest rate from its historic low level reflected its view at that time that theeconomic recovery was on a solid footing.Data Exploration1.Go to theFRED database at the Federal Reserve Bank of St. Louiswebsite(http://fred.stlouisfed.org).Register to set up your own account. Doing so will allowyou to save and update graphs, alter them for submitting assignments and makingpresentations, and receive a notice wheneverthe data is updated.Answer: Sign up as indicated.

Page 7

Money, Banking and Financial Markets, 5th Edition Solution Manual - Page 7 preview image

Loading page image...

Chapter 01 An Introduction to Money and the Financial System1-62.To begin using FRED, plot the consumer price index(FRED code: CPIAUCSL)and find the date and level of the latestmonthlyobservation. Then plot the inflationrateasmeasuredbythe percent change from a year ago of this index.Answer:As of June, 2016, the value of the index was 239.927; note that tis value issubject to revision. The plot for CPI (adjusting for any data revisions)is:Recessions are depicted by vertical shaded bars.3.Plot the level of real GDP (FRED code: GDPC1). Then plotthe rate of economicgrowth as the percent change from a year ago of this index. Describe how real GDPbehaves inrecessions, which are denoted in the FRED graph by vertical shaded bars.If you registered on FRED (as in Data ExplorationProblem1),save the graphso thatyou can recall and update the graph easily when new observations become available.Answer: The graph forthe level ofrealGDPis:

Page 8

Money, Banking and Financial Markets, 5th Edition Solution Manual - Page 8 preview image

Loading page image...

Chapter 01 An Introduction to Money and the Financial System1-7The plot of the rate of economic growth, expressed as the percentage change froma year ago, is:

Page 9

Money, Banking and Financial Markets, 5th Edition Solution Manual - Page 9 preview image

Loading page image...

Chapter 01 An Introduction to Money and the Financial System1-8Real GDP usually declines in recessions and rebounds afterwards.In the 2007-2009episode, the percentage declines of nominal and real GDP were the largest sinceGreat Depression.In that episode, nominal GDP fell below year-ago levels for thefirst time in nearly five decades.4.Examine nominal GDP(FRED code: GDP)based onafigure showing percent changefrom a year ago.What was special about the behavior of nominal GDP during thefinancial crisis of 2007-2009 compared to previousdecades?Answer: The plotappears below. Unlike other recessionssince 1960,nominal GDPfell noticeablyduring the 2007-2009 financial crisis.5.Plot on one figure the percent change from a year ago of both theGDP deflator(FRED code:GDPDEF) and real GDP (FRED code: GDPC1).How does the GDPdeflator link nominaland real GDP?Since the mid-1980s, does it fluctuate more orless than real GDP?Answer: The data plots with real GDP and the GDP deflator is given below:

Page 10

Money, Banking and Financial Markets, 5th Edition Solution Manual - Page 10 preview image

Loading page image...

Chapter 01 An Introduction to Money and the Financial System1-9Nominal GDP is the product of real GDP and the GDP deflator. Alternatively, realGDP is nominal GDP divided by thedeflator. In simple terms, if Y is nominal GDP,P is the deflator, and Q is real GDP, then Y = PQ or equivalently Q = Y / P.Compared with earlier periods, the GDP deflator appears to have become lessvariable since the mid-1980s. Furthermore, it appears less volatile than real GDP.* indicates more difficult problems

Page 11

Money, Banking and Financial Markets, 5th Edition Solution Manual - Page 11 preview image

Loading page image...

Chapter 02-Money and the Payments System2-1Chapter 2Money and the Payments SystemConceptual and AnalyticalProblems1.Describe at least three ways you could pay for your morning cup of coffee. What arethe advantages and disadvantages of each?(LO2)Answer: You could use money, acheck, or a debit card.Money: This is the most likely to be accepted, but it means you have to replenishyour supply periodically.Check: The least likely to be accepted, and it means you have to walk around withyour checkbook. But the funds remain in your bank account for the time it takes thecheck to make its way through the clearing system.Debit Card: This is very convenient, and likely to be accepted.But when theelectronic signal arrives at your bank later in the day, the funds are withdrawnimmediately from your account.(This is probably the cheapest option for themerchant).2.You arethe owner of a small sandwich shop. A buyer may offer one of severalpayment methods: cash, a check drawn on a bank, a credit card, or a debit card.Whichof these is the least costly for you?Explain why the others aremoreexpensive.(LO2)Answer: Cash is the cheapest option for the merchant; no information is requiredabout the buyer and no additional costs are imposed (though the merchant mayneedtoguard against counterfeiting). Most merchants will ask for a government-issuedphoto ID in order to accept payment by check, requiring more time per transaction.Even with appropriate identification, the merchant does not know if funds are actuallyavailable in the checkwriter’s account. If not, the merchant will likely undergo acostly process of contacting the buyer and trying to coax the funds from theindividual. A payment by credit card provides the merchant with more protection thandoes a checkbecausethe payment is made by the financial institution issuing thecard. However, the merchant pays the card issuer a fee (usually a percentage of thetransaction value) for the certainty of the payment. Finally, while a debit cardelectronically transfers funds from the buyer’s account to the merchant’s, this transferis not instantaneous and the buyer is likely already gone when the merchant maydiscover that the buyer did not have the funds available.

Page 12

Money, Banking and Financial Markets, 5th Edition Solution Manual - Page 12 preview image

Loading page image...

Chapter 02-Money and the Payments System2-23.Explain how money encouragesspecialization, and how specialization improveseveryone’s standard of living.(LO1)Answer: Without money, people have to barter to exchange goods and services. Thisrequires a “double coincidence of wants,” which makes it difficult to specialize. Inthe example in the text, a plumber is buying groceries; if the grocer doesn’t need aplumbing repair, but does need the outside of his store painted, the plumber maydecide to paint the store in order to pay for his groceries even though it is not what hedoes best. When money is used, people are free to specialize in areas in which theyhave a comparative advantage, increasing the production of society as a whole, andimproving everyone’s standard of living.4.*Could the dollar still function as the unit of account in a totally cashless society?(LO2)Answer: Yes. Using dollars and cents to quote prices and record debts does notdepend on cash being used as a means of payment. Dollars and cents may still serveas the standard measurement of valueeven if they are not themselves exchanged.5.Give four examplesof ACH transactionsyou might make.(LO2)Answer:a.You receive your paycheck as an electronic transfer from your employer’saccount into your account, which may be at a bank different from youremployer’s.b.You schedule your monthly electric bill payment to be made automatically.c.You make your payments on your credit card to your bank by scheduling thepayment each month for the outstanding balance.d.You make your monthly car payment by arranging for the amount to be deductedfrom your checking account on the fourth day of each month.6.As ofJuly 2016,19European Unioncountrieshave adopted theeuro, while theremainingmembercountries have retained their own currencies. What are theadvantages of a common currency for someone who is traveling through Europe?(LO1)Answer: Each country has the same unit of account, making it easier for a traveler tocompare prices in different countries. The traveler also saves the costs of exchangingcurrencies.

Page 13

Money, Banking and Financial Markets, 5th Edition Solution Manual - Page 13 preview image

Loading page image...

Chapter 02-Money and the Payments System2-37.Why might each of the following commodities not serve well as money?(LO2)a.Tomatoesb.Bricksc.CattleAnswer:a.Tomatoes are perishable and thus would not serve as a store of value.b.Bricks are heavy and bulky and will break easily. In addition,even though bricksbreak easily,they are not easily divisible into usable units.c.Cattle are not standardized in terms of weight and other potentially importantcharacteristics.8.Despite the efforts of the United States Treasury and the SecretService, someonediscovers a cheap way to counterfeit $100 bills. What will be the impact of thisdiscovery on the economy?(LO3)Answer: People will be unwilling to accept $100 bills as payment and will requirepayment via check, credit card, debit card, or electronic transfer instead, all of whichare more costly.Theoretically, inflation could result if the supply of money wasincreased by a large enough amount.9.You receive acheck drawn on another bankand deposit it into your checkingaccount. Even though this is a “demand deposit” the funds are not immediatelyavailable for your use. Why? Would your answer change if the check is drawn on theaccount of another customer of your own bank?(LO2)Answer:Funds drawn on another bank are not immediately available (i.e., “ondemand”) until the funds are transferred through the check-clearing process. So, whenyou deposit a check drawn on another bank, you must wait until your bank obtains thefunds from the other bank. However, if the check is drawn on an account at your ownbank, then the funds are internally transferred from the check writer’s account intoyour account, so the funds may be available almost immediately.10.Over a nine-year period in the 16thcentury, King Henry VIII reduced the silvercontent of the British pound to one-sixth its initial value. Why do you think he didso? What do you think happened to the use of pounds as a means of payment? If youheld both the old and new pounds, which would you use first, and why?(LO1)Answer: King Henry needed to silver to pay for wars. The use of pounds as a meansof payment declined because people could not be sure how much silver each coin

Page 14

Money, Banking and Financial Markets, 5th Edition Solution Manual - Page 14 preview image

Loading page image...

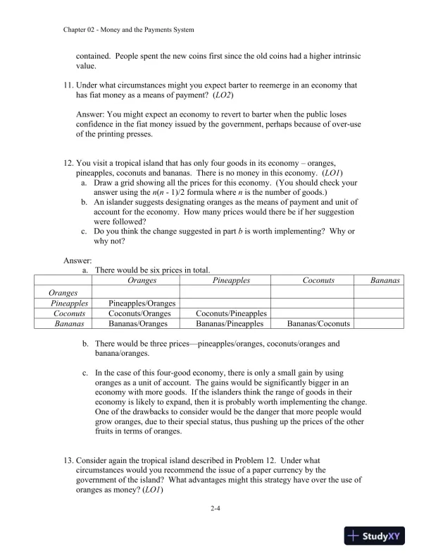
Chapter 02-Money and the Payments System2-4contained. People spent the new coins first since the old coins had a higher intrinsicvalue.11.Under what circumstances might you expect barter to reemerge in an economy thathas fiat money as a means of payment?(LO2)Answer: You might expect an economy to revert to barter when the public losesconfidence in the fiat money issued by thegovernment, perhaps because of over-useof the printing presses.12.You visit a tropical island that has only four goods in its economyoranges,pineapples, coconuts and bananas. There is no money in this economy.(LO1)a.Draw a grid showing all the prices for this economy. (You should check youranswer using then(n-1)/2 formula wherenis the number of goods.)b.An islander suggests designating oranges as the means of payment and unit ofaccount for the economy. How many prices would there be if her suggestionwere followed?c.Do you think the change suggested in partbis worth implementing? Why orwhy not?Answer:a.There would be six prices in total.OrangesPineapplesCoconutsBananasOrangesPineapplesPineapples/OrangesCoconutsCoconuts/OrangesCoconuts/PineapplesBananasBananas/OrangesBananas/PineapplesBananas/Coconutsb.There would be three pricespineapples/oranges,coconuts/oranges andbanana/oranges.c.In the case of this four-good economy, there is only a small gain by usingoranges as a unit of account. Thegains would be significantly bigger in aneconomy with more goods. If the islanders think the range of goods in theireconomy is likely to expand, then it is probably worth implementing the change.One of the drawbacks to consider would be the danger that more people wouldgrow oranges, due to their special status, thus pushing up the prices of the otherfruits in terms of oranges.13.Consider again the tropical island described inProblem12. Under whatcircumstances would you recommend the issue of a paper currency by thegovernment of the island? What advantages might this strategy have over the use oforanges as money?(LO1)

Page 15

Money, Banking and Financial Markets, 5th Edition Solution Manual - Page 15 preview image

Loading page image...

Chapter 02-Money and the Payments System2-5Answer: Theislandersmust have enough confidence in their government to acceptnotes backed only by a government decreethat have no intrinsic value themselves.The have to believe that these notes will be widely accepted by other islanders asfinal payment for goods and services and in settlement of debts. They must trust thatthe government will not print too much of the money and undermine its value.Some advantages of the paper money over commodity money in the form of orangesinclude:being easier to carry, longer lasting and more divisible. Most importantly, itwould be the government that would control the supply of money on the island asonly thegovernment could print new notes, while any of the islanders might decide togrow more oranges.14.What factors should you take into account when considering using the followingassets as stores of value?(LO1)a.Goldb.Real estatec.Stocksd.Government bondsAnswer:a.The potential for the price of gold to rise, the ability to buy and sell goldeasily and any costs associated with storage and security.b.The rate at which real estate is appreciating and is likely to appreciate in thefuture; how easy or difficult it is to sell real estate; the housing services youcould receive from holding the real estate.c.The potential appreciation in nominal value of the stock; the historicalvolatility of the stock price; the volume of the stock being traded on thesecondary market to gauge its liquidity.d.The rate of return on the bondsincluding any potential capital gain as wellas interest payments.When assessing an asset as a store of value, the primary things to consider arethe riskand return of the asset and its liquidity.15.*Under what circumstances might money in the form of currency be the best optionas a store of value?(LO1)Answer: If there were deflation in the economy, then paper currency would increasein value. When deflation occurs, overall prices in the economy are falling and so thecurrencyyou hold hasmore purchasing power. During periods of falling prices of

Page 16

Money, Banking and Financial Markets, 5th Edition Solution Manual - Page 16 preview image

Loading page image...

Chapter 02-Money and the Payments System2-6goods and services, prices of assets often fall too and so currency might be anattractive option as a store of value.16.Suppose a significant fall the price of certain stocks caused the market makers inthose stocks toexperience difficulties withtheir funding liquidity. Under whatcircumstances might that development lead to liquidity problems in markets for otherassets?(LO3)Answer: Faced with difficulties in borrowing money, the market makers in the stocksmay decide to hold more cash to ensure their ability to meet clients’ demands. This,in turn, reduces loans available for other market participants potentially causing themto alter their behavior and could lead to funding liquidity problems throughout thefinancial system. Moreover, to fund itself, the market maker might try to sell otherassets,depressing their prices and spreading the disruption.17.*Consider an economy that only produces and consumes two goods-food andapparel. Suppose the inflation rate based on the consumer price index is higherduring the year than that based on the GDP deflator. Assuming underlying tastes andpreferences in the economy stay the same, what can you say about food and apparelprice movements during the year?(LO3)Answer:Sincethe two price indices yield different inflation rates with preferencesremaining constant, the relative price of the two goods must have changed. In otherwords, the price of one of the goods must have gone up by a greater percentage thanthe other. For example, suppose the price of food went up by 10% while the price ofapparel went up by 20%. This would induce consumers to substitute away fromapparel to food. As a fixed weight index, the CPI would not take this substitution intoaccount while the GDP deflator would, as it is calculated on the basis of what isactually purchased. Therefore, the CPI inflation rate would be higher than the ratecalculated from the GDP deflator.18.Assuming no interest is paid on checking accounts, what would you expect to seehappen to the relative growth rates of M1 and M2 if interest rates rose significantly?(LO3)Answer: Wheninterest rates rise, you would expect that people would shift fundsfrom checking accounts into savings accounts, as the opportunity cost of holdingfunds in a non-interest bearing account has risen. Checking accounts are acomponent of M1 while both checking and some savings accounts are included inM2. Therefore, any shift from checking to savings accounts would depress growth inM1 to a greater degree than growth in M2, leading to a relative increase in the M2growth rate.
Preview Mode

This document has 292 pages. Sign in to access the full document!

Study Now!

XY-Copilot AI
Unlimited Access
Secure Payment
Instant Access
24/7 Support
Document Chat

Document Details

Subject
Finance

Related Documents

View all