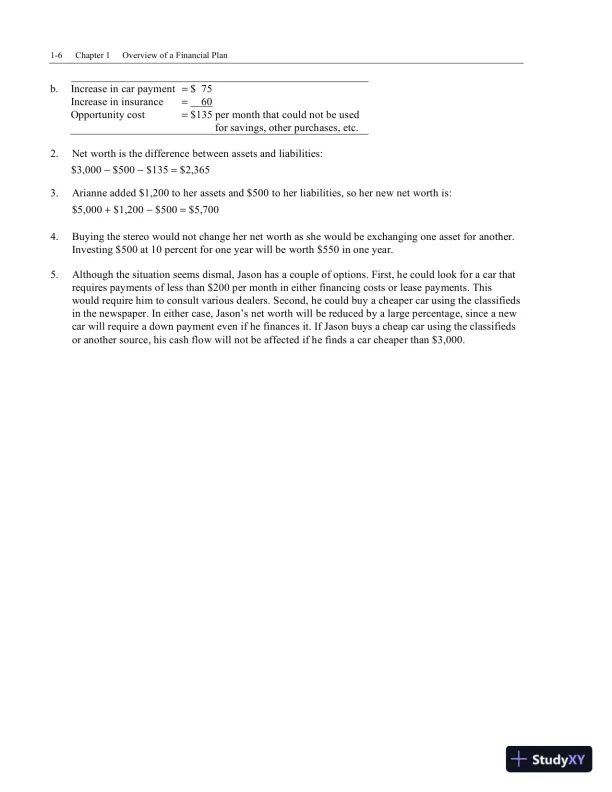
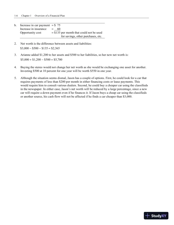
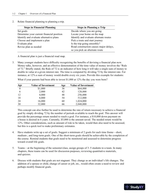
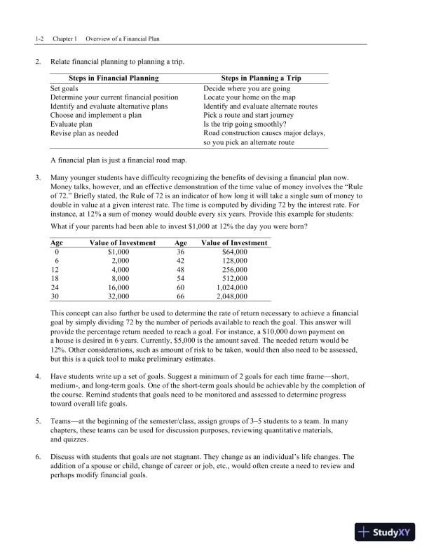
Page 1

Loading page ...
Gain confidence in solving textbook exercises with Personal Finance, Second Canadian Edition Solution Manual, a comprehensive guide filled with answers.

Loading page ...
This document has 177 pages. Sign in to access the full document!