Solution Manual for Entrepreneurial Finance, 6th Edition

Solution Manual for Entrepreneurial Finance, 6th Edition enhances your subject knowledge with well-structured textbook insights.

Mia Martinez
Contributor
4.7
59
5 months ago
Preview (16 of 343 Pages)
100%
Purchase to unlock

Page 1

Solution Manual for Entrepreneurial Finance, 6th Edition - Page 1 preview image

Loading page image...

1Chapter1INTRODUCTIONTO FINANCE FOR ENTREPRENEURSFOCUSThe purpose of this first chapter is to present an overview of what entrepreneurial finance isabout. In doing so we hope to convey to you the importance of understanding and applyingentrepreneurial finance methods and tools to help ensure an entrepreneurial venture is successful.We present a life cycle approach to the teaching of entrepreneurial finance where we coverventure operating and financial decisions faced by the entrepreneur as a venture progresses froman idea through to harvesting the venture.LEARNING OBJECTIVES1.Characterize the entrepreneurial process.2.Describe entrepreneurship andsomecharacteristics of entrepreneurs.3.Indicatethreemegatrends providing waves ofentrepreneurial opportunities.4.List and describe the seven principles of entrepreneurial finance.5.Discuss entrepreneurial finance and the role of the financial manager.6.Describe the various stages of a successful venture’s life cycle.7.Identify,by life cycle stage,the relevanttypes of financingandinvestors.8.Understand the life cycle approach used in this book.CHAPTER OUTLINE1.1THE ENTREPRENEURIAL PROCESS1.2ENTREPRENEURSHIP FUNDAMENTALSA.Who is an Entrepreneur?B.Basic DefinitionsC.Entrepreneurial Traits or CharacteristicsD.Opportunities Exist But Not Without Risks1.3SOURCES OF ENTREPRENEURIAL OPPORTUNITIESA.Societal ChangesB.Demographic ChangesC.Technological ChangesD.Emerging Economies and Global ChangesE.Crises and “Bubbles”F.Disruptive Innovation1.4PRINCIPLES OF ENTREPRENEURIAL FINANCEA.Real, Human, and Financial Capital must be Rented from Owners(Principle #1)B.Risk and Expected Reward go Hand in Hand(Principle #2)C.While Accounting is the Language of Business, Cash is the Currency(Principle #3)D.New Venture Financing Involves Search, Negotiation, and Privacy(Principle #4)E.A Venture’s Financial Objective is to Increase Value(Principle #5)

Page 2

Solution Manual for Entrepreneurial Finance, 6th Edition - Page 2 preview image

Loading page image...

Page 3

Solution Manual for Entrepreneurial Finance, 6th Edition - Page 3 preview image

Loading page image...

Chapter 1: Introductionto Finance for Entrepreneurs2F.It is Dangerous to Assume that People Act Against Their Own Self-Interests(Principle #6)G.Venture Character and Reputation can be Assets or Liabilities(Principle #7)1.5ROLE OF ENTREPRENEURIAL FINANCE1.6THE SUCCESSFUL VENTURE LIFE CYCLEA.Development StageB.Startup StageC.Survival StageD.Rapid-Growth StageE.Early-Maturity StageF.Life Cycle Stages and the Entrepreneurial Process1.7FINANCING THROUGH THE VENTURE LIFE CYCLEA.Seed FinancingB.Startup FinancingC.First-Round FinancingD.Second-Round FinancingE.Mezzanine FinancingF.Liquidity-Stage FinancingG.Seasoned Financing1.8LIFE CYCLE APPROACH FOR TEACHING ENTREPRENEURIAL FINANCESUMMARYDISCUSSION QUESTIONS AND ANSWERS1.What is the entrepreneurial process?The entrepreneurial process comprises: developing opportunities, gathering resources, andmanaging and building operations with the goal of creating value.2.What is entrepreneurship? What are some basic characteristics of entrepreneurs?Entrepreneurship is the process of changing ideas into commercial opportunities and creatingvalue.While there is no prototypical entrepreneur, many are good at recognizingcommercial opportunities, tend to be optimistic, and envision a plan for the future.3.Why do businesses close or cease operating? What are the primary reasons why businessesfail?Nearly one-half of businesses that fail do so because of economic factors includinginadequate sales, insufficient profits, and industry weakness. Many of the economic factorsare directly tied to financing concerns (e.g., insufficient profits for investors). Almost 40percent of business failures not citing economic factors cite specifically financial causes likeexcessive debt and insufficient financial capital. The remaining cited reasons for failureinclude a lack of business and managerial experience, business conflicts, family problems,

Page 4

Solution Manual for Entrepreneurial Finance, 6th Edition - Page 4 preview image

Loading page image...

Chapter 1: Introductionto Finance for Entrepreneurs3fraud, and disasters.Many businesses close and fail due to financial trouble which is mostlyrelated to lack of sales and unsatisfactory profits.4.What arefivemegatrendsources or categories for finding entrepreneurial opportunities?We identify five megatrend categories.They are: (1) societal changes, (2) demographicchanges, (3) technological changes, (4) emerging economies and global changes, and (5)crises and bubbles.5.What asset and financial bubbles have occurred recently? How can bubbles and financialcrises lead to entrepreneurial opportunities?The “dot.com” or Internet bubble burst in 2000. An economic recession that began in 2001was exacerbated by the 9/11 terrorist attack. The housing asset bubble, fueled by sub-primemortgages offered to borrowers who could not afford them, burst in 2006. By the secondhalf of 2008, a “perfect financial storm”erupted and possible financial collapse became areality.Alternative and renewable energy, accompanied by project credit subsidies, production andinvestment tax credits, and loan guarantees benefited as a result of the recent financial crisis.These developments and other efforts to stimulate economic activity provided many newentrepreneurial opportunities.6.What is e-commerce?Why are the Internet economy and e-commerce here to stay?E-commerceinvolves the use of electronic means to conduct business online.Activitiesinclude marketing and selling online and electronic retailing.The internet economy and e-commerce are here to stay. We will never do business the sameway we did before the Internet and the Web. Many business plans were funded with thebelief that part of the benefit could be captured by sellers (producers and retailers).However, we now know that the Web so effectively facilitates price competition that it ishard for suppliers and retailers to protect margins. E-commerce may not deliver the marginsonce conjectured, but the Internet is still one of the most radical innovations in our lifetime.7.What is meant by disruptive innovation? What is the “sharing economy” societal trend?Disruptive innovation is an innovation that creates a new market or network that disrupts anddisplaces an existing market or network.A developing societal megatrend involves the “sharing economy” where individuals providecar rides, room rentals, and run errands as services to strangers for money.8.Identify the seven principles of entrepreneurial finance.The seven principles are:

Page 5

Solution Manual for Entrepreneurial Finance, 6th Edition - Page 5 preview image

Loading page image...

Chapter 1: Introductionto Finance for Entrepreneurs4(1)Real, human, and financial capital must be rented from owners(2)Risk and expected reward go hand in hand(3)While accounting is the language of business, cash is the currency(4)New venture financing involves search, negotiation, and privacy(5)A venture’s financial objective is to increase value(6)It is dangerous to assume that people act against their own self-interests(7)Venture character and reputation can be assets or liabilities9.Explain the statement: “The time value of money is not the only cost involved in rentingsomeone’s financial capital.”The total cost of renting someone’s financial capital is typically significantly higher than justthe time value of money due to the possibility that the venture won’t be able to pay. The rentis risky or uncertain requiring an expected compensation in addition to the time value ofmoney for the renting agreement to be put in place.10.How do public and private financial markets differ?Public financial marketsare markets where standardized contracts or securities are traded onorganized securities exchanges.Private financial marketsare markets where customizedcontracts or securities are negotiated, created, and held with restrictions on how they can betransferred.11.What isthe financial goal of theentrepreneurial venture?What are the major componentsfor estimating value?The venture’s financial goal isto maximize the value of the venture to its owner(s). Themajor components of estimating value are projected free cash flow (cash generated in aspecified time period that exceeds funds needed to operate, pay creditors, and invest in theassets needed to grow the venture) and its risk (including the timing and realized amount).12.From an agency relationship standpoint, describe the possible types of problems or conflictsof interestthat could inhibit maximizing a venture’s value.There are two basic types of conflicts.Owner-manager (agency) conflictsoccur when thereare differences between managers’ self-interests and the interests of the owners who hired themanagers. There is also the possibility ofowner-debtholder conflictsthat take the form of adivergence of the owners’ and lenders’ self-interests as the venture gets close to bankruptcy.Agency relationships arise when “principals” hire “agents” to perform specified activities orservices. Businesses are involved in two primary agency relationships: (1) owner-managerconflicts, and (2) manager-debtholder conflicts. The owner-manager agency problem existswhen managers have personal goals that compete with maximizing the value of the venture.The manager-debtholder conflict exists when debtholders make loans to firms but giveresponsibility to managers for deciding on the firm’s risk of failure or bankruptcy. Whenloans are initially made, interest rates reflect the then current riskiness of the firm.

Page 6

Solution Manual for Entrepreneurial Finance, 6th Edition - Page 6 preview image

Loading page image...

Chapter 1: Introductionto Finance for Entrepreneurs5Subsequently, managers may, on behalf of the owners, make the firm riskier for the benefitof owners at the expense of debtholders.13.Briefly discussthe likely importance of an entrepreneur’s character and reputation on thesuccess of a venture. What role does social responsibility plan in the operation of anentrepreneurial venture?A survey of successful entrepreneursis by Timmons and Stevenson indicated that a majorityfelt that having high ethical standards was the most important factor in the long-term successof their ventures. Taking the time and money to invest in the venture’s character willhelpensure that it is an asset rather than a liability.Many entrepreneurial ventures provide great societal benefit through their introduction ofnew products and services. They also foster competition in existing markets providing moreeconomically attractive prices for existing products and services. In many cases anentrepreneurial venture’s social contribution is reflected in its commercial success. The twoneed not be mutually exclusive.14.What is entrepreneurial finance and what are the responsibilities of the financial manager ofan entrepreneurial venture?Entrepreneurial finance is the application and adaptation of financial tools and techniques tothe planning, funding, operations, and valuation of an entrepreneurial venture.The practiceof financial management in entrepreneurial finance involves record keeping, financialplanning, the management of operations and assets, and the acquiring of new assets and thefinancing of those assets necessary to grow the venture over its lifetime.15.What are the five stages in the life-cycle of a successful venture?They are: (1)Development Stage,(2)Startup Stage,(3)Survival Stage,(4)Rapid-GrowthStage,and (5)Early-Maturity Stage.16.New ventures are subject to periodic introspection on whether they should continue orabandon. Explain the types of information you would expect to gather and how it would beused in each stage to aid an entrepreneur’s approach to the venture’s future.Types of information to be gathered would be income statements, balance sheets, cash flowstatements, general economic conditions, and product market conditions. These would all bestacked up against original projections to determine the feasibility of achieving the venturesgoals.17.Identify the types of financing that typically coincide with each stage of a successfulventure’s life cycle.Development StageSeed FinancingStartup StageStartup Financing

Page 7

Solution Manual for Entrepreneurial Finance, 6th Edition - Page 7 preview image

Loading page image...

Chapter 1: Introductionto Finance for Entrepreneurs6Survival StageFirst-Round FinancingRapid Growth StageSecond-Round, Mezzanine and Liquidity-Stage FinancingMaturity StageObtaining bank loans, issuing bonds and issuing stocks18.Identify the major sources, as well as the players, associated with each type of financing foreach life cycle stage.Development StageEntrepreneur’s assets, family and friendsStartup StageEntrepreneur’s assets, family, friends, business angels, venture capitalistsSurvival StageBusiness operations, venture capitalists, suppliers, customers, governmentassistance programs, and commercial banksRapid-Growth StageBusiness operations, suppliers, customers, commercial banks, andinvestment bankersEarly-Maturity StageBusiness operations, commercial banks and investment bankers19.Describe the life cycle approach for teaching entrepreneurial finance.The life cycle approach to entrepreneurial finance considersmajor operating and financialdecisions faced by entrepreneurs as they manage their ventures during the five life cyclestages that were previously identified.See Figure 1.6.20.From the HeadlinesIce Energy:Briefly describe the“ice battery” market and how IceEnergy’s Ice Bear system addresses that market. Give some examples of how Ice Energy canexpand its market and tap additional sources of capital.Answers will vary:The general market would be related to alternative energy sources for airconditioning systems. There are private and public utility aspects to the market. On theprivate side it is possible that large companies with multiple facilities requiring significantcooling could be private customers. On the public utility side (mentioned in the case), theutilities would be buyers of the ice batteries that would be deployed at their customers’locations. Facilitating those installations could provide cost savings to the utility companythat would otherwise be required to provide expensive electricity during peak hours.Additional capital may be available from impact investing companies targeting energyefficiency, municipalities wishing to invest in greener local communities involving industry,and the public utilities themselves who benefit from less demand at peak hours.INTERNET ACTIVITIES1.Web-surfing exercise:Develop your own list of the five most important societal or economictrends currentlyshaping our society and providing major business opportunities. Use theWeb to generate potential venture ideas related to the trends and to gather commentary andstatistics on them.Students can be directed to do generic web searches on “megatrends” or “demographics” or“emerging technologies” or similar terms to start their process of building their own list of

Page 8

Solution Manual for Entrepreneurial Finance, 6th Edition - Page 8 preview image

Loading page image...

Chapter 1: Introductionto Finance for Entrepreneurs7five societal or economic trends. The instructor can draw on personal experiences, recentimpressions from the Wall Street Journal andBloombergBusinessweek to supplement anydiscussion of the students’ lists.2.Determining several “resources” available from the Small Business Administration forentrepreneurs that might be useful in starting, financing, and managing an entrepreneurialventure. The SBA Web site inhttp://www.sba.gov/advo/for information relating to recentannual numbers of employer firm births and the importance of small businesses to the U.S.economy.The Instructor can use the provided link to update the textbook’s data on the number ofemployer firm births and the impact of small businesses on the U.S. economy.3.Following are some pairs of famous entrepreneurs.Using the Web if needed, associate theentrepreneurswith the companies they founded:1.Steve Jobs and Steven WozniakA. Google2.Bill Gates and Paul AllenB. Ben & Jerry’s3.Larry Page and Sergey BrinC. Microsoft4.Ben Cohen and Jerry GreenfieldD. Apple, Inc.Solutions:1.Steve Jobs and Steven Wozniak[D. Apple, Inc.]2.Bill Gates and Paul Allen[C. Microsoft]3.Larry Page and Sergey Brin[A. Google]4.Ben Cohen and Jerry Greenfield[B. Ben & Jerry’s]4.Search the Web for recent developments on the part of Airbnb and Uber to disrupt thelodging ad taxi industries, respectively. Also search the Web and attempt to identify otherpossible innovations that may be disrupting existing markets and networks.Students can be directed to conduct specific web searches on recent Airbnb and Uberdevelopments, write brief summaries of their findings, and be prepared to discuss theirfindings.The instructor also may ask students to conduct generic web searches in an effortto identify and be prepared to discuss examples of “new” or “different” innovations that aredisrupting existing markets and networks. Differences of opinion among studentshopefully will result in a lively discussion.EXERCISES/PROBLEMS AND ANSWERS1.[Financing Concepts]The following ventures are at different stages in their life cycles.Identify the likely stage for each venture and describe the type of financing each venture islikely to be seeking and identify potential sources for that financing.

Page 9

Solution Manual for Entrepreneurial Finance, 6th Edition - Page 9 preview image

Loading page image...

Chapter 1: Introductionto Finance for Entrepreneurs8A.Phil Young, founder of Pedal Pushers, has an idea for a pedal replacement forchildren’s bicycles. The Pedal Pusher will replace existing bicycle pedals with an easyrelease stirrup to help smaller children hold their feet on the pedals. The Pedal Pusherwill also glow in the dark and will provide a musical sound as the bicycle is pedaled.Phil is seeking some financial help in developing working prototypes.Since the venture is still in the idea stage and searching for prototype capital, theventure would be classified in the development stage. While in this stage, the venturewill be making efforts to obtain seed financing, which typically comes from theentrepreneur’s assets or from family and friends.B.Petal Providers is a firm that is trying to model the U.S. floral industry after itsEuropean counterparts. European flower markets tend to have larger selections atlower prices. Revenues started at $1 million last year when the first “mega” PetalProviders floral outlet was opened. Revenues are expected to be $3 million this yearand $15 million next year after two additional stores are opened.Since the venture has already established sizable revenue and is in the process ofgrowing its venture by opening new stores, the firm has just entered the rapid growthstage.2.[Life Cycle Financing]The following ventures have supplied information on how they arebeing financed. Link the type and sources of financing to where each venture is likely to bein its life cycle.A.Voice River provides media-on-demand services via the Internet. Voice River raised$500,000 of founder’s capital in April2016and“seed” financing of $1 million inSeptember2016fromthe Sentinak Fund. The firm is currently seeking $6 million for agrowth round of financing.Voice River received development funds in the form of founders’ capital and seedfinancing. It is currently seeking first round financing at the startup stage.B.Electronic Publishing raised $200,000 from three private investors and another $200,000from SOFTLEND Holdings. The financial capital is to be used to complete softwaredevelopment of e-mail delivery and subscription management services.Electronic Publishing is still in the development stage. It has raised funds from angelsand an early stage venture capital firm.3.[Venture Financing]Identify a successful entrepreneurial venture that has been in businessat least three years.The instructor can assign a specific entrepreneurial venture or allow students to identify andresearch ventures they are interested in. Alternatively, the instructor may choose to assign

Page 10

Solution Manual for Entrepreneurial Finance, 6th Edition - Page 10 preview image

Loading page image...

Chapter 1: Introductionto Finance for Entrepreneurs9one of the twocapstone cases (Eco-Productsor Spatial Technology) presented at the end ofthis text for purposes of trying to answer the following questions.A.Use historical revenues information to examine how this particular venture movedthrough its life cycle stages. Determine the length of the development stage, the startupstage, and so forth.Answers will depend on the entrepreneurial venture being discussed.B. Determine the financing sources used during the various stages of the venture’s life cycle.Answers will depend on the entrepreneurial venture being discussed.C.Identify the venture’s equity owners and how shares have been distributed among theowners. What portion of ownership has been allocated to management team members?What, if any, agency conflicts can you identify?Answers will depend on the entrepreneurial venture being discussed.4.[Financial Risk and Return Considerations]Explain how you would choose between thefollowing situations. Develop your answers from the perspective of the principles ofentrepreneurial finance presented earlier in the chapter. You mayarrive atyour answerswith or without making actual calculations.A. You have $1,000 to invest for one year (this would be a luxury for most entrepreneurs).You canearna 4% interest rate for one year at the Third First bank or a 5% interestrate at the First Fourth bank. Which savings account investment would you choose andwhy?Third First bank:$1,000 x 1.04 = $1,040First Fourth bank:$1,000 x 1.05 = $1,050The First Fourth bank loan would be preferred because you would receive $10 more($1,050 versus $1,040) at the end of one year. This example illustrates the principle:“real, human, and financial capital must be rented from owners.” The time value ofmoney is an important component of the rent one pays for using someone else’sfinancial capital.B.A“friend” of yours will lend you $10,000 for one year if you agree to repay him$1,000 interest plus returning the $10,000 investment. A second “friend,” has only$5,000 to lend to you but wants total funds of $5,400 in repayment at the end of oneyear. Which loan would you choose and why?First friend: $1,000/$10,000 = 10% interest rateSecond friend: $400/$5,000 = 8% interest rate

Page 11

Solution Manual for Entrepreneurial Finance, 6th Edition - Page 11 preview image

Loading page image...

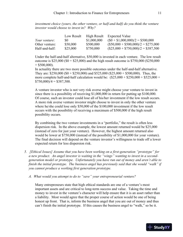
Chapter 1: Introductionto Finance for Entrepreneurs10The second friend is offering you a lower interest rate (8% versus 10%) which wouldbe preferred, other things being equal.This example illustrates the principle: “real,human, and financial capital must be rented from owners.”The time value of money isan important component of the rent one pays for using someone else’s financial capital.However, the dollar amount of financial that is needed also must be considered. Forexample, if you “need” $10,000 then the lower interest rate $5,000 loan is not a viableoption. The only viable choice might be to borrow $10,000 at the 10 percent rate ofinterest.C.You have the opportunity to invest $3,000 in one of two investments. The firstinvestment would pay you either $2,700 or $3,300 at the end of one year depending onthe success of the venture. The second investment would pay you either $2,000 or$4,000 at the end of one year depending on the success of the venture. Whichinvestment would you choose and why? Now, would your answer change if yourinvestment wereonly $1?Low ResultHigh ResultExpected ValueFirst investment:$2,700$3,300($2,700 + $3,300)/2 = $3,000Second investment:$2,000$4,000($2,000 + $4,000)/2 = $3,000A second principle of entrepreneurial finance is: “risk and expected reward go hand inhand.” “Risk” is reflected in the dispersion or range of outcomes. Each investmentamount is $3,000 and the expected return on average is $3,000for each investment.However,the second investment is considered to be riskier in that you might actuallyreceive only $2,000 or two-thirds of your investment at the end of one year.Since theinvestment amounts and expected values are the same, risk-averse investors wouldprefer the first investment because it has less dispersion risk.However, when investments are very small (or are perceived to be small by a specificinvestor), some investors might make the riskier investment in the “hope” the highestreturn will occur. This is sometimes called the “lottery” effect in that investors knowthere is a high probability that they will lose all of their investment but they are willingto undertake the investment in the hope they will receive the high payoff even thoughthe odds of doing so are very, very small.Bankruptcy or failure situations may also cause the investor (entrepreneur) to choosethe riskier investment. For example, let’s assume that you will need $3,500 in order tokeep your business afloat. Since only the riskier second investmenthas the possibilityof paying at least $3,500, the second investment might be selected.D.An outside venture investor is considering investing $100,000 in either your newventure or in another venture, or invest $50,000 in each venture. At the end of oneyear, the value of the venture might be either $0 or $1,000,000. The other venture isexpected to be worth either $50,000 or $500,000 at the end of one year. Which

Page 12

Solution Manual for Entrepreneurial Finance, 6th Edition - Page 12 preview image

Loading page image...

Chapter 1: Introductionto Finance for Entrepreneurs11investment choice (yours, the other venture, or half-and-half) do you think the ventureinvestor would choose to invest in? Why?Low ResultHigh ResultExpected ValueYour venture:$0$1,000,000($0 + $1,000,000)/2 = $500,000Other venture:$50,000$500,000($50,000 + $500,000)/2 = $275,000Half-and-half:$25,000$750,000($25,000 + $750,000)/2 = $387,500Under the half-and-half alternative, $50,000 is invested in each venture. The low resultoutcome is $25,000 ($0 + $25,000) and the high result outcome is $750,000 ($250,000+ $500,000).In actuality there are two more possible outcomes under the half-and-half alternative.They are: $250,000 ($0 + $250,000) and $525,000 ($25,000 + $500,000). Thus, themore completehalf-and-halfcalculation would be: ($25,000 + $250,000 + $525,000 +$750,000)/4 = $387,500.A venture investor who is not very risk averse might choose your venture to invest insince there is a possibility of receiving $1,000,000 in return for putting up $100,000.Of course, such an investor could lose all of his/her investment if the low result occurs.A more risk averse venture investor might chooseto invest in only the otherventurewhere he/she could lose only $50,000 of the$100,000investment if the low resultoccurs with the possibility of receivinga maximum of$500,000 if the high resultpossibility occurs.By combining the two venture investments in a “portfolio,the result isoften lessdispersion risk. In the above example, the lowest amount returned would be $25,000(instead of zero for just your venture). However, the highest amount returned alsowould be lower at $750,000 (instead of the possibility of $1,000,000 for your venture).The final decision will depend on the venture investor’s willingness to trade off a lowerexpected return for less dispersion risk.5.[Ethical Issues]Assume that you have been working on a first-generation “prototype” fora new product. An angel investor is waiting in the “wings” wanting to invest in a second-generation model or prototype. Unfortunately you have run out of money and aren’t able tofinish the initial prototype. The business angel has previously said that she would “walk” ifyou cannot produce a working first generation prototype.A. What would you attempt to do to “save” your entrepreneurial venture?Many entrepreneurs state that high ethical standards are one of a venture’s mostimportant assets and are critical to long-term success and value. Taking the time andmoney to invest in the venture’s character will help ensure that it is an asset rather thana liability. Most would agree that the proper course of action would be one of beinghonest up front. That is, inform the business angel that you are out of money and thuscan’t finish the initial prototype.If this causes the business angel to “walk,” so be it.

Page 13

Solution Manual for Entrepreneurial Finance, 6th Edition - Page 13 preview image

Loading page image...

Chapter 1: Introductionto Finance for Entrepreneurs12Of course, the first order of business is to secure necessary financing to complete theinitial prototype.B.Now let’s assume that the angel investor will advance you the financing needed for thesecond-generation prototype based on your “word” that the first-generation prototypehas been completed and is working? What would you do?The situation has not changed from the suggested actions noted in Part A. Inform thebusiness angel that the initial prototype has not yet been completed because you are outof money. Being honest up front is likely to be in the best interests of the venture (andentrepreneur) in the long-run. Confidence and trust in you (the entrepreneur) by thebusiness angel will be in the best interests of a successful working relationship overtime.SUPPLEMENTAL EXERCISES/PROBLEMS AND ANSWERS[Note: These activities are for readers who have an understanding of financial statements.Accountants record the flow of revenues and expenses over a time period such as a year in theincome statement. Accounts also record the amount in asset accounts at the end of eachaccounting period in the balance sheet. For readers who need to review basic financialstatements, the following problems can be completed after the materials in Chapter 4 have beencovered.]6.[Costs or Expenses]Phil Young, founder of Pedal Pushers, expects to spend the next one-half year developing and testing prototypes for a pedal replacement for children’s bicycles.(See Part A of Problem 1 for a description of the proposed product.)Phil anticipates payingmonthly rent of $700 for space in a local warehouse where the Pedal Pusher product will bedesigned, developed, and tested. Utility expenses for power and heat are estimated at $150per month. Phil plans to “draw down” a salary of $1,000 per month. Materials needed tobuild and test an initial prototype product are expected to cost $9,500. In addition, eachredesign and new prototype will require an additional $4,500 investment. Phil anticipatesthat before the final Pedal Pusher is ready for market at the end of six months, the initial plustwo more prototypes will need to be built and tested. Costs associated with test marketingthe Pedal Pusher are estimated at $7,000.A.Determine the amount of financial capital that Phil Young will need during the six-months it will take to develop and test market the Pedal Pusher.Monthly Expenses:Rent6 months x $700=$4,200Utilities6 months x $150=$900Salary6 months x $1,000=$6,000One-Time Expenses:Original Prototype$9,500

Page 14

Solution Manual for Entrepreneurial Finance, 6th Edition - Page 14 preview image

Loading page image...

Chapter 1: Introductionto Finance for Entrepreneurs13Redesign Prototypes2 x $4,500=$9,000Test Marketing$7,000Total Expenses (Required Capital)$36,600B.What type of financial capital is needed and what are the likely sources of that capital forPhil Young?The venture is in the development stage since it is still developing the product viaprototypes. Therefore, it would be searching for seed financing as its source of capital,which will most likely be obtained through the entrepreneur’s assets, family, or friends.C.What would be your estimate of the amount of financial capital needed if the productdevelopment period lasted nine months?The total expenses would be the $36,600 as in (A) plus an additional three months ofexpenses:Additional Expenses:Rent3 months x $700=$2,100Utilities3 months x $150=$450Salary3 months x $1,000=$3,000$5,550Total Nine-Month Expenses (Capital Needed): $36,600 + $5,550 =$42,150D.What compensation arrangements would you recommend as he hires additional membersof the management team?Typically he would want to provide some base salary to provide normal living expensesplus an incentive compensation package in options or stock ownership that would be tiedto the venture’s progress and profitability.7.[Expenses and Revenues]Let’s assume that Phil Young does indeed develop and successfullymarket the Pedal Pusher product discussed in Problems 1 and6. Phil’s venture willpurchase materials for making the product from others, assemble the products at the PedalPusher venture’s facilities, and hire product sales representatives to sell the Pedal Pushersthrough local retail and discount stores that sell children’sbicycles. The costs of plasticpedals and extensions; bolts, washers, and nuts; reflective material; and a “micro-chip” toprovide the “music” when the bicycle is pedaled are expected to be $2.33 per pair of PedalPushers. Assembly costs are projected at $1.50 per pair. Shipping and delivery costs areestimated at $.20 per pair or set and Phil Young will have to pay commissions of $.30 perpair of pedals sold to the sales representatives.A.What will it cost to produce and sell a pair of Pedal Pushers?

Page 15

Solution Manual for Entrepreneurial Finance, 6th Edition - Page 15 preview image

Loading page image...

Chapter 1: Introductionto Finance for Entrepreneurs14Unit Costs:Materials$2.33Assembly$1.50Shipping$0.20Commission$0.30Total Unit Costs$4.33B.What price will Phil Young have to charge for a pair of PedalPushers if he wants a“markup”of 50 percent on each sale? Now, what would the retailers have to ultimatelysell a pair of Pedal Pushers for if they, in turn, desired amark-upbefore their expensesof 40 percent?Phil Young’s sale price to achieve a 50% markup would need to be $6.50 because$4.33 x 1.50 = $6.495 and prices are quoted in dollars and cents (not fractions of cents).The retailers sale price to make a 40% markup is ($6.50) x (1.40) =$9.10.C.Now that Pedal Pushers is up and operating, Phil Young feels he should be paid a salaryof $5,000 per month. Other administrative expenses will be $2,500 per month. Howmany units (pairs) of Pedal Pushers will the venture have to sell to cover all operatingand administrative costs during the first year of operation?Unit contribution before additional expenses = $6.50$4.33 = $2.17Fixed Expenses:Salary12 months x $5,000$60,000Administrative12 months x $2,500$30,000$90,000Units needed to be sold to reach breakeven:=(Fixed Expenses)/(Contribution Per Unit)=($90,000)/($2.17)= 41,474.65units (or 41,475after rounding up to the next highest unit)To check that this is breakeven, note that:RevenueVariable CostFixed Cost = Profit.In this problem, we have:(41,474.65x $6.50)(41,474.65x $4.33)-$90,000 =$269,585179,585-$90,000 = 0.0. Thisis the smallest amount of units that does not result in a loss.MINI CASE: INTERACT SYSTEMS, INC.Interact Systems, Inc. has developed software tools that help hotel chains solve applicationintegration problems. Interact’s Application Integration Server (AIS) provides a two-wayinterface between central reservations systems (CRS) and property management systems (PMS).

Page 16

Solution Manual for Entrepreneurial Finance, 6th Edition - Page 16 preview image

Loading page image...

Chapter 1: Introductionto Finance for Entrepreneurs15At least two important trends in the hotel industry are relevant. First, hotels are shifting awayfrom the manual booking of room reservations and electronic bookings will continue to increaseas more bookings are made over the Internet. Second, competitive pressures are forcing hotels toimplement yield management programs and to increase customer service. By integrating theCRS and PMS through Interact’s AIS, inventories can be better managed, yields improved, andcustomer service enhanced.All reservation traffic is routed from the CRS to individual hotel properties. This allowsInteract Systems to create a database that can be used to track customers and to facilitatemarketing programs, such as frequent stay or VIP programs, as a way of increasing customersatisfaction. Interact forecasts application integration expenditures in the hospitality industryexceeding$1 billion by 2019.Greg Thomas founded Interact Systems in2013and developed the firm’s middlewaresoftware and hospitality applications. He hastwelveyears of systems applications experienceand currently is Interact’s Chief Technology Officer. Eric Westskow joined Interact in early2016as President and CEO. Prior to that time, he worked in sales and marketing in the softwareindustry formore than twentyyears.Interact Systems’ AIS software development which began in2013went through severaldesign changes in2014. The first product was sold and installed in2015. Sales were only$500,000 in 2015. However, now that the firm has dependable market-tested AIS products readyto be shipped, revenues are expected to reach $20.8 million in 2019.Greg Thomas founded Interact Systems with $50,000 of his own savings plus $50,000from friends. Two private investors provided an additional $200,000 in2014. In addition, $1million was obtained from a venture capital firm, Katile Capital Partners, in early 2016inexchange for an equity position in Interact. The firm currently is seeking an additional $5million to finance sales growth.A.Verify the two important trends that are developing in the hotel industry.1.Hotels are shifting away from the manual booking of room reservations to electronicbookings. This trend will continue to increase as more bookings are made over theInternet.2.Competitive pressures are forcing hotels to implement yield management programs andto increase customer service.B.Describe how Interact Systems’ AIS software products are to benefit the hotel industry froma profitability standpoint.Interact’s Application Integration Server (AIS) provides a two-way interface between centralreservations systems (CRS) and property management systems (PMS). By integrating theCRS and PMS through Interact’s AIS, inventories can be better managed, yields improved,and customer service enhanced.C.Describe how Interact Systems’ AIS software is to help hotels improve customer satisfaction.All reservation traffic is routed from the CRS to individual hotel properties. This allowsInteract Systems to create a database that can be used to track customers and to facilitate
Preview Mode

This document has 343 pages. Sign in to access the full document!

Study Now!

XY-Copilot AI
Unlimited Access
Secure Payment
Instant Access
24/7 Support
Document Chat

Document Details

Subject
Finance

Related Documents

View all