Page 1

Loading page ...
Learn faster with Solution Manual for Financial Institutions Management: A Risk Management Approach, 8th Edition, a comprehensive solution manual for effective studying.

Loading page ...
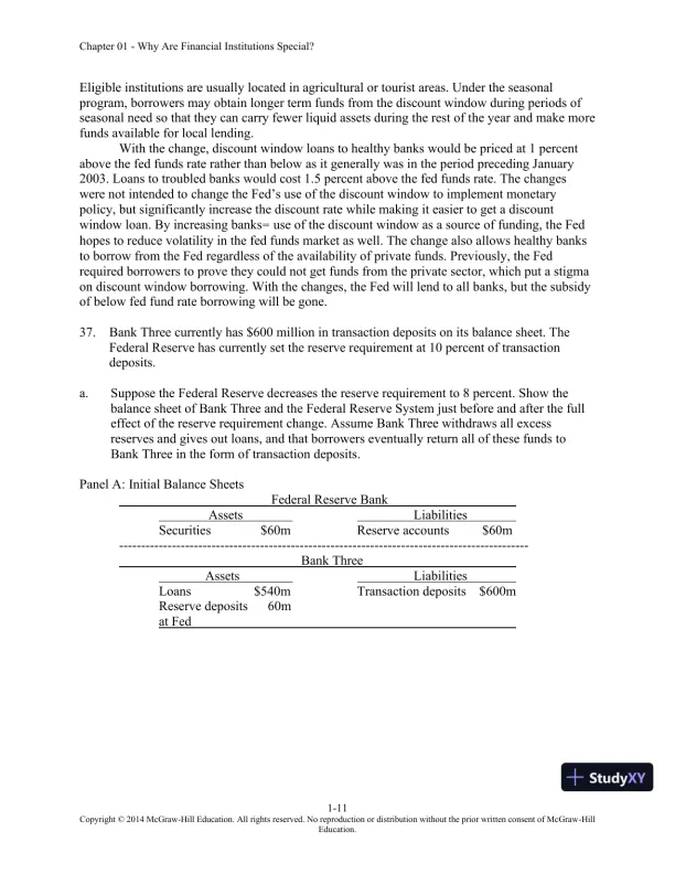
This document has 486 pages. Sign in to access the full document!