Page 1

Loading page ...
Get the textbook answers you need with Solution Manual for Statistics for Business: Decision Making and Analysis, 3rd Edition, an essential guide to solving textbook problems.

Loading page ...
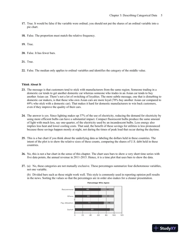
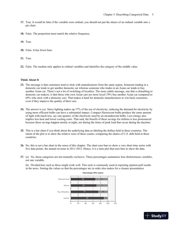
This document has 232 pages. Sign in to access the full document!