Page 1

Loading page ...
Test Bank for Financial Statement Analysis and Security Valuation, 5th Edition provides in-depth questions and solutions to reinforce key concepts. Start practicing today!

Loading page ...
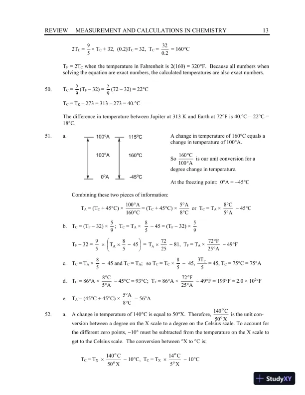
This document has 904 pages. Sign in to access the full document!