Solution Manual For Cost Accounting, 14th Edition

Solution Manual For Cost Accounting, 14th Edition makes solving textbook questions easier with expertly crafted solutions.

Christopher Lee
Contributor
4.2
81
9 months ago
Preview (31 of 947 Pages)
100%
Purchase to unlock

Page 1

Solution Manual For Cost Accounting, 14th Edition - Page 1 preview image

Loading page image...

1-1CHAPTER 1THEMANAGER AND MANAGEMENT ACCOUNTINGSee the front matter of this Solutions Manual for suggestions regarding your choices ofassignment material for each chapter.1-1Managementaccountingmeasures,analyzesand reports financial and nonfinancialinformation that helps managers make decisions to fulfill the goals of an organization. It focuseson internal reportingand is not restricted by generally accepted accounting principles (GAAP).Financialaccountingfocusesonreportingtoexternalpartiessuchasinvestors,government agencies, and banks. It measures and records business transactions and providesfinancial statements that are based on generally accepted accounting principles (GAAP).Other differences include (1) management accounting emphasizes the future(not thepast),and(2) management accounting influences the behavior of managers andotheremployees(rather than primarily reporting economicevents).1-2Financialaccountingisconstrainedbygenerallyacceptedaccountingprinciples.Management accounting is not restricted to these principles. The result is thatmanagement accounting allows managers to charge interest on owners’ capital to helpjudge a division’s performance, even though such a charge is not allowed underGAAP,management accounting can include assets or liabilities (such as “brand names”developed internally) not recognized under GAAP, andmanagement accounting can use asset or liability measurement rules (such as presentvalues or resale prices) not permitted under GAAP.1-3Management accountants can helptoformulatestrategy by providing information aboutthesourcesofcompetitiveadvantageforexample,thecost,productivity,orefficiencyadvantage of their company relative to competitors or the premium prices a company can chargerelative to the costs of adding features that make its products or services distinctive.1-4The business functions in the value chain areResearch and developmentgenerating and experimenting with ideas related to newproducts, services, or processes.Design of productsand processesthe detailed planning, engineering, and testingofproductsandprocesses.Productionprocuring, transporting, storingand assembling resources to produce aproduct or deliver a service.Marketingpromoting and selling products or services to customers or prospectivecustomers.Distributionprocessing orders and shippingproducts or services to customers.Customer serviceproviding after-sales serviceto customers.

Page 2

Solution Manual For Cost Accounting, 14th Edition - Page 2 preview image

Loading page image...

Page 3

Solution Manual For Cost Accounting, 14th Edition - Page 3 preview image

Loading page image...

1-21-5Supply chaindescribes the flow of goods, services, and information from the initialsources of materials and services to the delivery of products to consumers, regardless of whetherthose activities occur in the same organization or in other organizations.Cost management is most effective when it integrates and coordinates activities across allcompanies in the supply chain as well as across each business function in an individualcompany’s value chain. Attempts are made to restructure all cost areas to be more cost-effective.1-6“Management accounting deals only with costs.” This statement is misleading at best,and wrong at worst. Management accountingmeasures,analyzes,and reports financialand non-financialinformation that helps managers define the organization’s goals, and make decisions tofulfill them.Management accounting also analyzes revenues from products and customers inorder to assess product and customer profitability.Therefore, while management accountingdoes use cost information, it is only a part of the organization’s information recorded andanalyzed by management accountants.1-7Management accountants can help improve quality and achieve timely product deliveriesby recording and reporting an organizations current quality and timeliness levels and byanalyzing and evaluating the costs and benefitsboth financial and non-financialof newquality initiatives such as TQM, relieving bottleneck constraints or providing faster customerservice.1-8The five-step decision-making process is (1) identify the problem and uncertainties (2)obtain information(3) make predictions about the future (4) make decisions by choosing amongalternatives and (5) implement the decision, evaluate performance and learn.1-9Planning decisionsfocus on selecting organization goalsand strategies, predicting resultsunder various alternative ways of achieving those goals, deciding how to attain the desired goals,and communicating the goals and how to attain them to the entire organization.Control decisionsfocus on taking actions that implement the planning decisions, decidinghow to evaluate performance,andprovidingfeedbackand learning tohelp future decisionmaking.1-10The three guidelines for management accountants are1.Employ a cost-benefit approach.2.Recognize behavioral and technical considerations.3.Applythenotion of“different costs for different purposes”.1-11Agree. A successful management accountant requires general business skills (such asunderstanding the strategy of an organization) and people skills (such as motivating other teammembers) as well as technical skills (such as computer knowledge, calculating costs of products,and supporting planning and control decisions).

Page 4

Solution Manual For Cost Accounting, 14th Edition - Page 4 preview image

Loading page image...

1-31-12The new controller could reply in one or more of the following ways:(a)Demonstrate to the plant manager how he or she could make better decisions if theplant controller was viewed as a resource rather than a deadweight. In a related way,the plant controller could show how the plant managers time and resources could besaved by viewing the new plant controller as a team member.(b)Demonstrate to the plant manager a good knowledge of the technical aspects of theplant. This approach may involve doing background reading. It certainly will involvespending much time on the plant floor speaking to plant personnel.(c)Show the plant manager examples of the new plant controllers past successes inworking with line managers in other plants. Examples could includeassistance in preparing the budget,assistanceinanalyzingproblemsituationsandevaluatingfinancialandnonfinancial aspects of different alternatives, andassistance in submitting capital budget requests.(d)Seek assistance from the corporate controller to highlight to the plant manager theimportance of many tasks undertaken by the new plant controller. This approach is alast resort but may be necessary in some cases.1-13The controller is the chief management accounting executive. The corporate controllerreports to the chief financial officer, a staff function. Companies also have business unitcontrollers who support business unit managers or regional controllers who support regionalmanagers in major geographic regions.1-14The Institute of Management Accountants (IMA) sets standards of ethical conduct formanagement accountants in the followingfourareas:CompetenceConfidentialityIntegrityCredibility1-15Steps to take when established written policies provide insufficient guidance are(a)Discusstheproblem with the immediate superior (except when it appears that thesuperior is involved).(b)ClarifyrelevantethicalissuesbyconfidentialdiscussionwithanIMAEthicsCounselor or other impartialadvisor.(c)Consult your own attorney as to legal obligations and rights concerning the ethicalconflicts.

Page 5

Solution Manual For Cost Accounting, 14th Edition - Page 5 preview image

Loading page image...

1-41-16(15 min.)Value chain and classification of costs, computer company.Cost ItemValue Chain Business Functiona.b.c.d.e.f.g.h.ProductionDistributionDesignof productsandprocessesResearch and DevelopmentCustomer Serviceor MarketingDesignof productsandprocesses(or Research and Development)MarketingProduction1-17(15 min.)Value chain and classification of costs, pharmaceutical company.Cost ItemValue Chain Business Functiona.b.c.d.e.f.g.h.Designof productsandprocessesMarketingCustomer ServiceResearch and DevelopmentMarketingProductionMarketingDistribution1-18(15 min.)Value chain and classification of costs, fast food restaurant.Cost ItemValue Chain Business Functiona.b.c.d.e.f.g.h.ProductionDistributionMarketingMarketingMarketingProductionDesign of productsandprocesses(or Research and Development)Customer service1-19(15 min.)Key success factors.Change in Operations/Management AccountingKey Success Factora.b.c.d.e.InnovationCost and QualityTimeTime and CostCost

Page 6

Solution Manual For Cost Accounting, 14th Edition - Page 6 preview image

Loading page image...

1-51-20(10-15 min.)Planning and control decisions.ActionDecisiona.b.c.d.e.PlanningControlControlPlanningPlanning1-21(15 min.)Five-step decision-making process, manufacturing.ActionStep in Decision-Making Processa.b.c.d.e.f.g.Obtain informationMake predictions about the futureIdentify the problem and uncertaintiesImplementthe decision, evaluate performance,and learnMake predictions about the futureMake decisions by choosing among alternativesObtain information1-22(15 min.)Five-step decision-making process, service firm.ActionStep in Decision-Making Processa.b.c.d.e.f.Obtain informationIdentify the problem and uncertaintiesObtain information and/or make predictions about the futureMake predictions about the futureObtain informationMake decisions by choosing among alternatives

Page 7

Solution Manual For Cost Accounting, 14th Edition - Page 7 preview image

Loading page image...

1-61-23(1015 min.)Professional ethics and reporting division performance.1.Millers ethical responsibilities are well summarized in the IMAs “Standards of EthicalConduct for Management Accountants(Exhibit 1-7 of text). Areas of ethical responsibilityincludethe following:competenceconfidentialityintegritycredibilityTheethicalstandardsrelatedtoMillerscurrentdilemmaareintegrity,competenceandcredibility.Usingtheintegritystandard,Millershouldcarryoutdutiesethicallyandcommunicate unfavorable as well as favorable information and professional judgments oropinions. Competence demands that Miller perform her professional duties in accordance withrelevant laws, regulations, and technical standardsand provide decision support information thatis accurate.Credibilityrequires that Miller report information fairly and objectivelyand disclosedeficiencies in internal controls in conformance with organizational policy and/or applicable law.Miller should refuse to book the $200,000 of sales until the goods are shipped. Both financialaccounting and management accounting principles maintain that sales are not complete until thetitle is transferred to the buyer.2.Miller should refuse to follow Maloney's orders. If Maloney persists, the incident shouldbe reported to the corporate controller. Support for line management should be wholehearted, butit should not require unethical conduct.1-24(15 min.)Planning and control decisions, Internet company.1.Planning decisionsa.Decision to raise monthly subscription feec.Decision to upgrade content of online services(later decision to inform subscribersand upgrade online services is an implementation part of control)e.Decision to decrease monthly subscription feestarting in November.Control decisionsb.Decision to inform existing subscribers about the rate of increasean implementationpart of control decisionsd.Dismissal of VP of Marketingperformance evaluation and feedback aspect ofcontrol decisions2.Other planning decisions that may be made at WebNews.com: decision to raise or loweradvertising fees; decision to charge a fee from on-line retailers when customers click-throughfrom WebNews.com to the retailers’ websites.Other control decisions that may be made at WebNews.com:evaluating how customerslike the new format for the weather information, working with an outside vendor to redesign thewebsite,andevaluating whether the waiting time for customers to access the website has beenreduced.

Page 8

Solution Manual For Cost Accounting, 14th Edition - Page 8 preview image

Loading page image...

1-71-25(20 min.)Strategic decisions and management accounting.1. The strategies the companies are following in each case are:a.b.c.d.Low price strategyDifferentiated product strategyLow price strategyDifferentiated product strategy2.Examples of information the management accountant can provide for each strategic decisionfollow.a.b.c.d.Cost to manufacture and sell the cell phoneProductivity, efficiency and cost advantages relative to competitionPrices of competitive cell phonesSensitivity of target customers to price and qualityThe production capacity of Roger Phones and its competitorsCost to develop, produce and sell new softwarePremium pricethat customers would be willing to paydue to product uniquenessPrice of basic softwarePrice of closest competitive softwareCash needed to develop, produce and sell new softwareCost of producing the “store-brand” lip glossProductivity, efficiency and cost advantages relative to competitionPrices of competitive productsSensitivity of target customers to price and qualityHow the market for lip gloss is growingCost to produce and sell new line of gourmet bolognaPremium price that customers would be willing to paydue to product uniquenessPrice of basic meat productPrice of closest competitive product1-26(15 min.)Management accounting guidelines.1.Cost-benefit approach2.Behavioral and technical considerations3.Different costs for different purposes4.Cost-benefit approach5.Behavioral and technical considerations6.Cost-benefit approach7.Behavioral and technical considerations8.Different costs for different purposes9.Behavioral and technical considerations

Page 9

Solution Manual For Cost Accounting, 14th Edition - Page 9 preview image

Loading page image...

1-81-27(15 min.)Role of controller, role of chief financial officer.1.ActivityControllerCFOManaging accounts payableXCommunicating with investorsXStrategic review of different lines of businessesXBudgeting funds for a plant upgradeXManaging the company’s short-term investmentsXNegotiating fees with auditorsXAssessing profitability of various productsXEvaluating the costs and benefits of a new product designX2.As CFO,Perezwill be interacting much more with the senior management of thecompany, the board of directors,auditors,and the external financial community. Any experiencehe can get with these aspects will help him in his new role as CFO. George Perez can be betterpositioned for his new role as CFO by participating in strategy discussions with seniormanagement, by preparing the external investor communications and press releases under theguidance of the current CFO, by attending courses that focus on the interaction and negotiationsbetween the various business functionsand outside parties such as auditorsand, either formallyor on the job, getting training in issues related to investments and corporate finance.

Page 10

Solution Manual For Cost Accounting, 14th Edition - Page 10 preview image

Loading page image...

1-91-28(30 min.)Pharmaceutical company, budgeting, ethics.1.The overarching principles of the IMA Statement of Ethical Professional Practice areHonesty, Fairness, Objectivity and Responsibility. The statement’s corresponding “Standards forEthical Conduct…” require management accountants toPerform professional duties in accordance with relevant laws, regulations, andtechnicalstandards.Refrain from engaging in any conduct that would prejudice carrying out dutiesethically.Communicate information fairly and objectively.Disclose all relevant information that could reasonably be expected to influence anintended user’s understanding of the reports, analyses, or recommendations.Theidea ofcapitalizingsome of the company’s R&D expendituresis a direct violation of theIMA’s ethical standards above. This transactionwould not bein accordance withrelevant laws,regulations,andtechnicalstandards”.GenerallyAcceptedAccountingPrinciplesrequireresearch and development costs to be expensed as incurred.Even if Johnson believes histransaction is justifiable, it violates the profession’s technical standards and would be unethical.The other “year-end” actions occur in many organizations and fall intothe “gray” to“acceptable” area. Much depends on the circumstances surrounding each one, however, such asthe following:a.Stop all research and development efforts on the drug Lyricon until after year-end.This change woulddelaythe drug going to marketbyat least six months. It is alsopossible thatin the meantimea PharmaCor competitor could make it to market with asimilar drug.While this solution may solve the budget short-fall in this year, it couldresult in a significant loss of future profits for PharmaCor in the long-run, especiallyif a competitor is able to obtain a patent on a similar drug before PharmaCor.b.Sell off rights to the drug, Markapro. The company had not planned on doing thisbecause, under current market conditions, it would get less than fair value. Itwould,however,result in a onetime gain that could offset the budget short-fall. Of course,allfuture profits from Markapro would be lost.Again, this solution may solve thecompany’s short-term budget crisis;butcould result in the loss of future profits forPharmaCor in the long-run.2.While it is not uncommon for companies to sacrifice long-term profits for short-termgains, it may not be in the best interest of the company’s shareholders.In the case ofPharmaCor, the CFO is primarily concerned with “maximizing shareholder wealth” in theimmediate future (third quarter only), but not in the long-term.Because this executive’sincentive pay and even employment may be based on his ability to meet short-term targets, hemay not be acting in the best interest of the shareholders in the long-run.Johnson definitely faces an ethical dilemma. It is not unethical on Johnson’s part to wantto please his new boss, nor is it unethical that Johnson wants to make a good impression on hisfirst days at his new job; however, Johnson must still act within the ethical standards required by

Page 11

Solution Manual For Cost Accounting, 14th Edition - Page 11 preview image

Loading page image...

1-10his profession. Taking illegal and/or unethical actionby capitalizing R&Dto satisfy the demandsof his new supervisor, James Clark, is unacceptable.Although not strictly unethical, I wouldrecommend that Johnson notagree to slow down the R&D efforts on Lyricon or sell offtherights to Markapro. Each of these appears to sacrifice theoveralleconomic interests ofPharmaCorfor short-run gain. Johnson should argue against doing this butnot resign if Clarkinsists that these actions be taken. If, however, Clark asks Johnson to capitalize R&D, he shouldraise this issue with the chair of the Audit Committee after informing Clark that he is doing so. Ifthe CFO still insists on Johnson capitalizing R&D, he should resign rather than engage inunethical behavior.

Page 12

Solution Manual For Cost Accounting, 14th Edition - Page 12 preview image

Loading page image...

1-111-29(3040 min.)Professional ethics and end-of-year actions.1.The possible motivations for the snack foods division wanting totakeend-of-year actionsinclude:(a)Management incentives. Gourmet Foods may have a division bonus scheme based onone-year reported division earnings. Efforts to front-end revenue into the current yearor transfer costs into the next year can increase this bonus.(b)Promotion opportunities and job security. Top management of Gourmet Foods likelywill view those division managers that deliver high reported earnings growth rates asbeing the best prospects for promotion. Division managers who deliver “unwelcomesurprises” may be viewed as less capable.(c)Retaindivisionautonomy.IftopmanagementofGourmetFoodsadoptsa“management by exception” approach, divisions that report sharp reductions in theirearnings growth rates may attract a sizable increase in top management supervision.2.The “Standards of Ethical Conduct . . . ” require management accountants toPerformprofessionaldutiesinaccordancewithrelevantlaws,regulations,andtechnical standards.Refrain from engaging in any conduct that would prejudice carrying out dutiesethically.Communicate informationfairly and objectively.Several of the “end-of-year actions” clearly are in conflict with these requirements and should beviewed as unacceptable by Taylor.(b)The fiscal year-end should be closed on midnight of December 31. “Extending” theclose falsely reports next years sales as this years sales.(c)Altering shipping dates is falsification of the accounting reports.(f)AdvertisementsruninDecembershouldbechargedtothecurrentyear.Theadvertising agency is facilitating falsification of the accounting records.The other “end-of-year actions” occur in many organizations and fall into the “gray” to“acceptable” area. However, much depends on the circumstances surrounding each one, such asthe following:(a)If the independent contractor does not do maintenance work in December, there is notransaction regarding maintenance to record.The responsibility for ensuring thatpackaging equipment is well maintained is that of the plant manager. The divisioncontroller probably can do little more than observe the absence of a Decembermaintenance charge.(d)In many organizations, sales are heavily concentrated in the final weeks of the fiscalyear-end. If the double bonus is approved by the division marketing manager, thedivision controller can do little more than observe the extra bonus paid in December.(e)If TV spots are reduced in December, the advertising cost in December will bereduced. There is no record falsification here.(g)Much depends on the means of “persuading” carriers to accept the merchandise. Forexample, if an under-the-table payment is involved,or if carriers are pressured toaccept merchandise,it is clearly unethical. If, however, the carrier receives no extraconsideration and willingly agrees to accept the assignmentbecause it sees potentialsales opportunities in December, the transaction appears ethical.

Page 13

Solution Manual For Cost Accounting, 14th Edition - Page 13 preview image

Loading page image...

1-12Each of the (a), (d), (e), and (g) “end-of-year actions” may well disadvantage Gourmet Foods inthe long run. For example, lack of routine maintenance may lead to subsequent equipmentfailure. The divisional controller is well advised to raise such issues in meetings with the divisionpresident. However, if Gourmet Foods has a rigid set of line/staff distinctions, the divisionpresident is the one who bears primary responsibility for justifying division actions to seniorcorporate officers.3.If Taylor believes that Ryan wants her to engage in unethical behavior, she should firstdirectly raise her concerns with Ryan. If Ryan is unwilling to change his request, Taylor shoulddiscuss her concerns with the Corporate Controller of Gourmet Foods.She could also initiate aconfidential discussion with an IMA Ethics Counselor, other impartial adviser, or her ownattorney.Taylor also may well ask for a transfer from the snack foods division if she perceivesRyan is unwilling to listen to pressure brought by the Corporate Controller, CFO, or evenPresident of Gourmet Foods.In the extreme, she may want to resign if the corporate culture ofGourmet Foods is to reward division managers whotake“end-of-year actions” that Taylor viewsas unethical and possibly illegal.It was precisely actionsalong the lines of(b), (c), and (f) thatcaused Betty Vinson, an accountant at WorldCom to be indicted for falsifying WorldCom’sbooks and misleading investors.

Page 14

Solution Manual For Cost Accounting, 14th Edition - Page 14 preview image

Loading page image...

1-131-30(30 min.)Professional ethics and end-of-year actions.1.The possible motivations for Controller, Todd Allen to modify the division’s year-endearnings are:(i)Job security and promotion. The company’s CFO will likely rewardhimfor meeting thecompany’s performance expectations.Alternately, theAllenmay be penalized, perhapseven by losinghisjob if the performance expectations are not met.(ii)Management incentives.Allen’s bonusmay be based on the division’s ability to meetcertain profit targets.If the Consumer Products division has already met its profit targetfor the year, the Controller may personally benefit ifnew printing equipment is sold offand replaced with the discarded equipment that no longer meets current safety standards,orifoperatingincomeismanipulatedbyquestionablerevenueand/orexpenserecognition.2.The overarching principles of the IMA Statement of Ethical Professional Practice areHonesty, Fairness, Objectivity and Responsibility. The statement’s corresponding “Standards forEthical Conduct…” require management accountants toPerform professional duties in accordance with relevant laws, regulations, and technicalstandards.Refrainfromengaging in any conduct thatwould prejudice carrying out dutiesethically.Communicate information fairly and objectively.Disclose all relevant information that could reasonably be expected to influence anintended user’s understanding of the reports, analyses, or recommendations.Several of the “year-end” actions are clearly are in conflict with the statements principles andrequired standards and should be viewed as unacceptable.(c)Subscription revenue received in December in advance for magazines that will be sentout in January is a liability. Showing it as revenue falsely reports next year’s revenue asthis year’s revenue.(d)Reversing the division’s Allowance for Bad Debt Expense would violate GenerallyAccepted Accounting Principles unless the bad debt allowance is currently overstated.Recording this transaction would result in an overstatement of income and couldpotentially mislead investors.(e)Booking advertising revenues that relate to January in December falsely reports nextyear’s revenue as this year’s revenue.Theother“year-end”actionsoccurinmanyorganizationsandfallintothe“gray”to“acceptable” area. Much depends on the circumstances surrounding each one, however, such asthe following:(a)Cancelling two of the division’s least profitable magazines, resulting in the layoff oftwenty-five employees.While employee layoffs may be necessary for the business tosurvive, the layoff decision could result in economic hardship for those employees wholose their jobs, as well as result in employee morale problems for the rest of the division.Most companies would prefer to avoid causing hardship for their existing employees dueto layoffs unless absolutely necessary for the survival of the business as a whole.

Page 15

Solution Manual For Cost Accounting, 14th Edition - Page 15 preview image

Loading page image...

1-14(b)Selling the new printing equipment that was purchased in January and replacing it withdiscarded equipment from one of the company’s other divisions. The previouslydiscarded equipment no longer meets current safety standards.Again, while this methodmay result in a short-term solution for the Controller and the Production Managerpersonally, this decision may actually harm the corporation financially as a whole, not tomention the potential resulting injuries to production workers from hazardous equipment.This method would be also be ethically questionable and would likely violate the IMA’sethical standards of integrity and credibility.(f)Switching from declining balance to straight line depreciation to reduce depreciationexpense in the current year.Many companies switch their depreciation policy from onemethod to another.Deacon Publishingcould argue that straight-line depreciation betterrepresents the decrease in the economic value of the asset compared to the decliningbalance method. Straight-line depreciation may also be more in line with what itscompetitors do. If, however,the companychanges to straight-line depreciation with thesole purpose of reducing expenses to meet itsprofitgoals, such behavior would beunacceptable. The Standards of Ethical Behavior require management accountants tocommunicate information fairly and objectively and to carry out duties ethically.3.Allenshould directly raise hisconcerns first with the CFO, especially if the pressure fromthe CFO is so great that the only course of action on the part of the controller is to otherwisebehave unethically.If the CFO refuses to change his direction, then the controller should raisethese issueswith the CEO, and next to theAudit Committee and the Board of Directors,afterinforming the CFO that he is doing so. The Controller could also initiate a confidentialdiscussion with an IMA Ethics Counselor, other impartial adviser, or his/her own attorney.Inthe extreme, the Controller may want to resign if the corporate culture of Deacon Publishing is toreward executives who take year-end actions that the Controller views as unethical and possiblyillegal.It was precisely actions along the lines of (c), (d) and (e) that caused Betty Vinson, anaccountant at WorldCom, to be indicted for falsifying WorldCom’s books and misleadinginvestors.

Page 16

Solution Manual For Cost Accounting, 14th Edition - Page 16 preview image

Loading page image...

1-151-31(40 min.)Global company,ethical challenges.1.The overarching principles of the IMA Statement of Ethical Professional Practice areHonesty, Fairness, Objectivity and Responsibility. The statement’s corresponding “Standards forEthical Conduct…” require management accountants toPerform professional duties in accordance with relevant laws, regulations, and technicalstandards.Refrainfromengaging in any conduct thatwould prejudice carrying out dutiesethically.Communicate information fairly and objectively.Disclose all relevant information that could reasonably be expected to influence anintended user’s understanding of the reports, analyses, or recommendations.Several of thesuggestions made by Hamsen’s staffare clearly in conflict withthe statement’sprinciples and required standards and should be viewed as unacceptable.c.Pressure current customers to take early delivery of goods before the end of the year sothat more revenue can be reported on this year’s financial statements.This tactic,commonly known as channel stuffing, merely results in shifting future period revenuesinto the current period. The overstatement of revenue in the current period maymisleadinvestor’s to believe that the company’s financial well being is better than the actualresults achieved. This practice would violate the IMA’s standards of credibility andintegrity. Channel stuffing is frequently considered a fraudulent practice.e.Record the executiveyear-end bonus compensationfor the current year in the next yearwhen it is paiduntil after the December fiscal year-end.Generally AcceptedAccounting Principles requires expenses to be recorded (accrued) when incurred, notwhen paid (cash basis accounting). Therefore, failure to record the executives’ year-end bonus would violate the IMA’s standards of credibility and integrity.f.Recognizesales revenuesonordersreceived, but not shipped as of the end of the year.Generally Accepted Accounting Principles requires income to be recorded (accrued)when the four criteria of revenue recognition have been met:1.The company has completed a significant portion of the production and saleseffort.2.The amount of revenue can by objectively measured.3.The major portion of the costs has been incurred, and the remaining costs can bereasonably estimated.4.The eventual collection of the cash is reasonably assured.Because criteria 1 and 3 have not been met at the time the order is placed the revenue should notbe recognized until after year-end.Therefore, recording next year’s revenue in the current yearwould be a violation of Generally Accepted Accounting Principles and would be falsifyingrevenue. This would be a violation of the IMA’s standards of credibility and integrity and maybe considered fraudulent.The other “year-end” actions occur in many organizations and fall into the “gray” to

Page 17

Solution Manual For Cost Accounting, 14th Edition - Page 17 preview image

Loading page image...

1-16“acceptable” area. Much depends on the circumstances surrounding each one, however, such asthe following:a.Stop all transatlantic shipping efforts. The start-up costs for the new operations arehurtingcurrent profit margins.While this method may result in better short-termfinancial results for Bredahl, it may do harm to the long-term financial condition of thecorporation as a whole.b.Make deep cuts in pricing through the end of the year to generate additional revenue.Again, this is only a short-term tactic to improve this year’s financial results. Investorsmay be content in the short-run, but in the long run the new shipping company will seereduced margins from these actions.d.Sell-off distribution equipment prior to year-end. The sale would result in one-timegains that could offset the company’s lagging profits. The owned equipment could bereplaced with leased equipment at a lower cost in the current year.While this course ofaction does not necessarily violate the IMA’s code of ethical standards, it may be only ashort-term tactic to improve this year’s financial results. Hamsen will need to weighhis options long-term to make the most cost effective decision for his company.g.Establishcorporate headquartersinIreland before the end of the year, lowering thecompany’s corporate tax rate from 28% to 12.5%.Hamsen may have other legitimatereasons for relocating his company to Ireland, but doing so only to reduce his taxliability would likely be considered an evasion of taxes in the company’s home country.Hamsen should seek the advice of skilled consultants in the area of international taxbefore making any such move. The company could face large fines and even criminalcharges for evading corporate income taxes of the home country.2.It is possible that any of the “year-end” actions that fall into the “gray” area may be goodfor investors, depending on the credible evidence which supports the management decision. Forexample, replacing owned equipment with leased equipment may result in both short-term gainsfor the company and long-term cost reduction. If so, this decision would be in the best interest ofthe investors. If the decision only results in short-term gains, but higher costs in the long-run,then the decision may not be in the best long-term interest of the company’s investors and shouldnot be implemented solely to prop up short-term earnings.Those decisions that clearly violate the IMA code of ethical standards (c, e, and f) wouldnever be in the best interest of the investor.These options would result in misleading financialstatements and could result in the demise of the company or even in criminal charges, as was thecase with companies such as Enron andWorldCom.If Hamsen asks the management accountantto take any of the actions that are clearly unethical, he should raise this issue with the chair of theAudit Committee after informing Hamsen that he is doing so. If Hamsen still insists on themanagement accountant taking these actions, he should resign rather than engage in unethicalbehavior.

Page 18

Solution Manual For Cost Accounting, 14th Edition - Page 18 preview image

Loading page image...

2-1CHAPTER 2AN INTRODUCTION TO COST TERMS AND PURPOSES2-1Acost objectis anything for which a separate measurement of costs is desired. Examplesinclude a product, a service, a project, a customer, a brand category, an activity, and adepartment.2-2Direct costs of a cost object are related to the particular cost object and can be traced tothat cost object in an economically feasible (cost-effective) way.Indirect costs of a cost object are related to the particular cost object but cannot be tracedto that cost object in an economically feasible (cost-effective) way.Cost assignment is a general term that encompasses the assignment of both direct costsand indirect costs to a cost object. Direct costs aretracedto a cost object while indirect costs areallocatedto a cost object.2-3Managers believe thatdirectcosts that are traced to a particular cost object are moreaccurately assigned to that cost object than areindirectallocated costs. When costs are allocated,managers are less certain whether the cost allocation base accurately measures the resourcesdemanded by a cost object. Managers prefer to use more accurate costs in their decisions.2-4Factors affecting the classification of a cost as direct or indirect includethe materiality of the cost in question,available information-gathering technology,design of operations2-5Avariable costchanges in total in proportion to changes in the related level of totalactivity or volume. An example is a sales commission that is a percentage of each sales revenuedollar.Afixed costremains unchanged in total for a given time period, despite wide changes inthe related level of total activity or volume. An example is the leasing cost of a machine that isunchanged for a given time period (such as a year) regardless of the number of units of productproduced on the machine.2-6Acost driveris a variable, such as the level of activity or volume,thatcausally affectstotalcosts over a given time span. A change in the cost driver results in a change in the level oftotal costs. For example,thenumber of vehicles assembled is a driver of the costs of steeringwheels on a motor-vehicle assembly line.2-7Therelevant rangeis the band of normal activity level or volume in which there is aspecific relationship between the level of activity or volume and the cost in question. Costs aredescribed as variable or fixed with respect to a particular relevant range.2-8A unit cost is computed by dividing some amount of total costs (the numerator) by therelated number of units (the denominator). In many cases, the numerator will include a fixed costthat will not change despite changes in the denominator. It is erroneous in those cases to multiplythe unit cost by activity or volume change to predict changes in total costs at different activity orvolume levels.

Page 19

Solution Manual For Cost Accounting, 14th Edition - Page 19 preview image

Loading page image...

2-22-9Manufacturing-sector companiespurchase materials andAshtonnents and convert theminto various finished goods, for example automotive and textile companies.Merchandising-sectorcompaniespurchaseandthenselltangibleproductswithoutchanging their basic form, for example retailing or distribution.Service-sector companiesprovide services or intangible products to their customers, forexample, legal advice or audits.2-10Manufacturing companies have one or more of the following three types of inventory:1.Directmaterialsinventory.Directmaterialsinstockandawaitinguseinthemanufacturing process.2.Work-in-process inventory. Goods partially worked on but not yet completed.Alsocalledwork in progress.3.Finished goods inventory. Goods completed but not yet sold.2-11Inventoriable costsare all costs of a product that areconsideredas assetsin the balancesheetwhen they are incurred and thatbecome cost of goods sold when the product is sold. Thesecosts are included in work-in-process and finished goods inventory (they are “inventoried”) toaccumulatethe costs of creating these assets.Period costsare all costs in the income statement other than cost of goods sold. Thesecosts are treated as expenses of theaccountingperiod in which they are incurred because they areexpectednot to benefit future periods (because there is not sufficient evidence to conclude thatsuch benefit exists). Expensing these costs immediately best matches expenses to revenues.2-12Direct material costsare the acquisition costs of all materials that eventually become partof the cost object (work in process and then finished goods), and can be traced to the cost objectin an economically feasible way.Direct manufacturing labor costsinclude the compensation of all manufacturing laborthat can be traced to the cost object (work in process and then finished goods) in an economicallyfeasible way.Manufacturing overhead costsare all manufacturing costs that are related to the costobject (work in process and then finished goods), but cannot be traced to that cost object in aneconomically feasible way.Prime costsare all direct manufacturing costs (direct material and direct manufacturinglabor).Conversion costsare all manufacturing costs other than direct material costs.2-13Overtime premiumis the wage rate paid to workers (for both direct labor and indirectlabor) in excess of their straight-time wage rates.Idletimeisasubclassificationofindirectlaborthatrepresentswagespaidforunproductive time caused by lack of orders, machine breakdowns, material shortages, poorscheduling, and the like.2-14A product costis the sum of the costs assigned to a product for a specific purpose.Purposes for computing a product cost includepricing and product mix decisions,contracting with government agencies, andpreparingfinancialstatementsforexternalreportingundergenerallyacceptedaccounting principles.

Page 20

Solution Manual For Cost Accounting, 14th Edition - Page 20 preview image

Loading page image...

2-32-15Three common features of cost accounting and cost management are:calculating the costs of products, services, and other cost objectsobtaining information for planning and control and performance evaluationanalyzing the relevant information for making decisions2-16(15 min.)Computing and interpreting manufacturing unit costs.1.(in millions)SupremeDeluxeRegularTotalDirect material cost$89.00$57.00$60.00$206.00Direct manuf. labor costs16.0026.008.0050.00Manufacturing overheadcosts48.0078.0024.00150.00Total manuf. costs153.00161.0092.00406.00Fixed costs allocated at a rateof $15M$50M (direct mfg.labor)equalto $0.30 perdir. manuf.labor dollar(0.30$16; 26; 8)4.807.802.4015.00Variable costs$148.20$153.20$89.60$391.00Units produced (millions)125150140Cost per unit (Total manuf.costs ÷ units produced)$1.2240$1.0733$0.6571Variablemanuf.cost per unit(Variablemanuf.costsUnits produced)$1.1856$1.0213$0.6400(in millions)SupremeDeluxeRegularTotal2.Based on total manuf. costper unit ($1.2240150;$1.0733190; $0.6571220)$183.60$203.93$144.56$532.09Correct total manuf. costs basedon variable manuf. costsplusfixed costsequalVariable costs($1.1856150;$177.84$194.05$140.80$512.69$1.0213190; $0.64220)Fixed costs15.00Total costs$527.69Thetotal manufacturingcost per unitin requirement 1 includes $15million of indirectmanufacturing costs that are fixed irrespective of changes in the volume of output per month,while the remaining variable indirect manufacturing costs change with the production volume.Given the unit volume changes for August 2011, the use oftotal manufacturingcost perunitfrom the past month at a different unit volume level (both in aggregate and at the individualproduct level) willoverestimate totalcostsof $532.09millionin August 2011relative to thecorrect total manufacturingcosts of $527.69millioncalculated using variablemanufacturingcostper unit times units produced plus the fixed costs of $15million.

Page 21

Solution Manual For Cost Accounting, 14th Edition - Page 21 preview image

Loading page image...

2-42-17(15 min.)Direct, indirect, fixed and variable costs.1. Yeastdirect, variableFlour-direct, variablePackaging materialsdirect (or could be indirect if small and not traced to each unit), variableDepreciation on ovensindirect, fixed (unless “units of output” depreciation, which thenwould be variable)Depreciation on mixing machinesindirect, fixed (unless “units of output” depreciation, whichthen would be variable)Rent on factory buildingindirect, fixedFire Insurance on factory buildingindirect, fixedFactory utilitiesindirect, probably some variable and some fixed (e.g. electricity may bevariable but heating costs may be fixed)Finishing department hourly laborersdirect, variable (or fixed if the laborers are under aunion contract)Mixingdepartment managerindirect, fixedMaterials handlersdepends on how they are paid. If paid hourly and not under unioncontract, then indirect, variable. If salaried or under union contract then indirect, fixedCustodian in factoryindirect, fixedNight guard in factoryindirect, fixedMachinist (running the mixing machine)depends on how they are paid. If paid hourly andnot under union contract, then indirect, variable. If salaried or under union contractthen indirect, fixedMachine maintenance personnelindirect, probably fixed, if salaried, but may be variable ifpaid only for time worked and maintenance increases with increased productionMaintenance suppliesindirect, variableCleaning suppliesindirect, most likely fixed since the custodians probably do the sameamount of cleaning every night2. If the cost object is Mixing Department, then anything directly associated with the MixingDepartment will be a direct cost. This will include:Depreciation on mixing machinesMixing Department managerMaterials handlers (of the Mixing Department)Machinist (running the mixing machines)Machine Maintenance personnel (of the Mixing Department)Maintenance supplies (if separately identified forthe Mixing Department)Of course the yeast and flour will also be a direct cost of the Mixing Department, but it is alreadya direct cost of each kind ofbreadproduced.

Page 22

Solution Manual For Cost Accounting, 14th Edition - Page 22 preview image

Loading page image...

2-52-18(1520 min.)Classification of costs, service sector.Cost object: Each individual focus groupCost variability: With respect to the number of focus groupsThere may be some debate over classifications of individual items, especially withregardtocost variability.Cost ItemD or IV or FADVBIFCIVaDIFEDVFIFGDVHIVbaSome students will note that phone call costs are variable when each call has a separate charge. It may be a fixedcost if Consumer Focus has a flat monthly charge for a line, irrespective of the amount of usage.bGasoline costs are likely to vary with the number of focus groups. However, vehicles likely serve multiplepurposes, and detailed records may be required to examine how costs vary with changes in one of the manypurposes served.2-19(1520 min.)Classification of costs, merchandising sector.Cost object: Videos sold invideosection of storeCost variability: With respect to changes in the number of videos soldThere may be some debate over classifications of individual items, especially withregardtocost variability.Cost ItemD or IV or FADFBIFCDVDDFEIFFIVGIFHDV

Page 23

Solution Manual For Cost Accounting, 14th Edition - Page 23 preview image

Loading page image...

2-62-20(1520 min.)Classification of costs, manufacturing sector.Cost object: Type of car assembled (Corolla or Geo Prism)Cost variability: With respect to changes in the number of cars assembledThere may be some debate over classifications of individual items, especially withregardtocost variability.Cost ItemD or IV or FADVBIFCDFDDFEDVFIVGDVHIF2-21(20 min.)Variable costs, fixed costs, total costs.1.Minutes/month050100150200240300327.5350400450510540600650Plan A ($/month)05101520243032.7535404551546065Plan B ($/month)15151515151519.802223.8027.8031.8036.603943.8047.80Plan C ($/month)22222222222222222222222223.5026.502901020304050600100200300400500600Total CostNumber of long-distance minutesPlan APlan BPlan C2.Ineach region,Ashtonchooses the plan that has the lowest cost.From the graph (or fromcalculations)*, we can see that ifAshtonexpects to use 0150minutes of long-distance eachmonth, she should buy Plan A; for150327.5minutes, Plan B;and for over327.5 minutes,PlanC. IfAshtonplans to make 100 minutes of long-distance calls each month, she shouldchoose Plan A; for240minutes, choose Plan B; for540minutes, choose Plan C.*Letxbe the number of minutes when Plan A and Plan B have equal cost$0.10x= $15x= $15 ÷$0.10 per minute = 150 minutes.Letybe the number of minutes when Plan B and Plan C have equal cost$15 + $0.08 (y240) = $22$0.08 (y240) = $22$15 = $7y240 =$787.5$0.08=y= 87.5 + 240 = 327.5 minutes

Page 24

Solution Manual For Cost Accounting, 14th Edition - Page 24 preview image

Loading page image...

2-72-22(1520 min.)Variable costs and fixed costs.1.Variable cost per ton of beach sand minedSubcontractor$ 80 per tonGovernment tax50per tonTotal$130per tonFixed costs per month0 to 100 tons of capacity per day=$150,000101 to 200 tons of capacity per day=$300,000201 to 300 tons of capacity per day=$450,0002.TotalFixedCosts$450,000$300,000$150,000100200300TonsofCapacityperDay$975,000$650,000$325,0002,5005,0007,500TonsMinedTotalVariableCostsThe concept of relevant range is potentially relevant for both graphs. However, the question doesnot place restrictions on the unit variable costs. The relevant range for the total fixed costs isfrom 0 to 100 tons; 101 to 200 tons; 201 to 300 tons, and so on. Within these ranges, the totalfixed costs do not change in total.3.Tons Minedper DayTons Minedper MonthFixed UnitCost per TonVariable UnitCost per TonTotal UnitCost per Ton(1)(2) = (1) × 25(3) = FC ÷ (2)(4)(5) = (3) + (4)(a)1804,500$300,000 ÷ 4,500 = $66.67$130$196.67(b)2205,500$450,000 ÷ 5,500 = $81.82$130$211.82The unit cost for 220 tons mined per day is $211.82, while for 180 tons it is only $196.67. Thisdifference is caused by the fixed cost increment from 101 to 200 tons being spread over anincrement of 80 tons, while the fixed cost increment from 201 to 300 tons is spread over anincrement of only 20 tons.

Page 25

Solution Manual For Cost Accounting, 14th Edition - Page 25 preview image

Loading page image...

2-82-23(20 min.)Variable costs, fixed costs, relevant range.1.The productioncapacity is 4,100jaw breakersper month. Therefore,thecurrentannualrelevantrange ofoutputis 0 to 4,100jaw breakers×12 months =0 to49,200jaw breakers.2.Current annualfixedmanufacturingcosts within the relevant range are $1,200×12 =$14,400forrent andother overhead costs, plus $9,000 ÷10 = $900 for depreciation, totaling$15,300.The variable costs, the materials, are 30 cents perjaw breaker, or $13,680($0.30 per jawbreaker ×3,800 jaw breakers per month ×12 months)for the year.3.If demand changesfrom 3,800 to7,600jaw breakers per month,or from 3,800×12 =45,600 to 7,600×12 =91,200jaw breakers per year,Sweetumwill need a second machine.AssumingSweetumbuys a second machine identical to the first machine, itwill increasecapacity from 4,100 jaw breakers per month to 8,200. The annual relevant range will be between4,100×12 = 49,200and 8,200×12 =98,400jaw breakers.Assume the second machine costs $9,000 and is depreciatedusingstraight-linedepreciationover 10 years and zero residual value, just like thefirst machine. This will add$900 of depreciation per year.Fixed costs for next year will increase to $16,200from$15,300forthe current year + $900(because rent and other fixed overhead costs will remain the same at $14,400). That is,totalfixed costs for next year equal$900 (depreciation on first machine) + $900 (depreciation onsecond machine) + $14,400(rent and other fixed overhead costs).The variable cost per jaw breaker next year will be 90%×$0.30 = $0.27. Total variablecosts equal $0.27per jaw breaker×91,200jaw breakers= $24,624.If Sweetum decides to not increase capacity and meet only that amount of demand forwhich it has available capacity (4,100 jaw breakers per month or 4,100 ×12 = 49,200 jawbreakers per year), the variable cost per unit will be the same at $0.30 per jaw breaker. Annualtotal variable manufacturing costs will increase to $0.30 × 4,100 jaw breakers per month ×12months =$14,760. Annual total fixed manufacturing costs will remain the same, $15,300.

Page 26

Solution Manual For Cost Accounting, 14th Edition - Page 26 preview image

Loading page image...

2-92-24(20 min.)Cost drivers and value chain.1.Identify customer needs (what do smartphone users want?)Design of products andprocessesPerform market research on competing brandsDesign of products and processesDesign a prototype of the HCP smartphoneDesign of products and processesMarket the new design to cell phone companiesMarketingManufacture the HCP smartphoneProductionProcess orders from cell phone companiesDistributionPackage the HCPsmartphonesProductionDeliver the HCP smartphones to the cell phone companiesDistributionProvide online assistance to cell phone usersfor use of the HCP smartphoneCustomerServiceMake design changes to the HCP smartphone based on customer feedbackDesign ofproducts and processes2.Value ChainCategoryActivityCost driverDesign ofproducts andprocessesIdentify customer needsNumber of surveys returned and processedfrom competing smartphone usersPerform market researchoncompeting brandsHours spent researchingcompeting marketbrandsNumber of surveys returned and processedfrom competing smartphone usersDesignaprototypeof the HCPsmartphoneEngineering hours spent on initial productdesignMake design changesto thesmartphone based oncustomer feedbackNumber of design changesProductionManufacturethe HCPsmartphonesMachine hours required to run theproduction equipmentPackage the HCP smartphonesNumber of smartphonesshipped byHCPMarketingMarketthe new designto cellphone companiesNumber of cell phone companies purchasingthe HCP smartphoneDistributionProcess orders from cell phonecompaniesNumber of smartphone ordersprocessedNumber of deliveries made to cell phonecompaniesDeliver the HCP smartphonesto cell phone companiesNumber of deliveries made to cell phonecompaniesCustomerServiceProvide on-line assistance tocell phone usersfor use ofthe HCP smartphoneNumber of smartphonesshipped by HCPCustomer Service hours

Page 27

Solution Manual For Cost Accounting, 14th Edition - Page 27 preview image

Loading page image...

2-102-25(1015 min.)Cost drivers and functions.1.FunctionRepresentative Cost Driver1. AccountingNumber of transactions processed2.Human ResourcesNumber ofemployees3. Data processingHours of computer processing unit (CPU)4. Research and developmentNumber of research scientists5. PurchasingNumber of purchase orders6. DistributionNumber of deliveriesmade7. BillingNumber of invoices sent2.FunctionRepresentative Cost Driver1. AccountingNumber of journal entries made2.Human ResourcesSalaries and wagesof employees3. Data ProcessingNumber of computer transactions4. Research and DevelopmentNumber of new products being developed5. PurchasingNumber of different types of materials purchased6. DistributionDistance traveled to make deliveries7. BillingNumber ofcredit sales transactions

Page 28

Solution Manual For Cost Accounting, 14th Edition - Page 28 preview image

Loading page image...

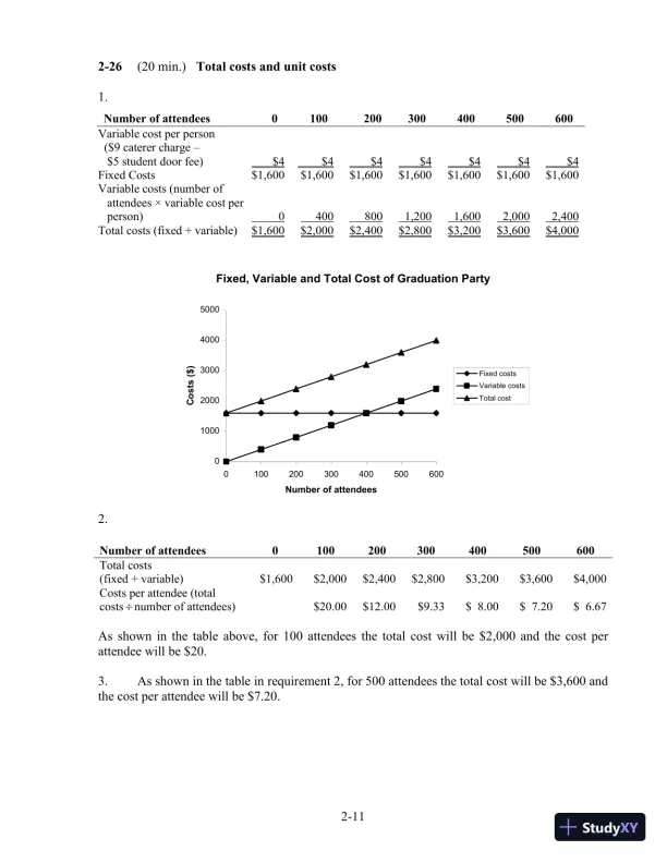
2-112-26(20 min.)Total costs and unit costs1.Fixed, Variable and Total Cost of Graduation Party0100020003000400050000100200300400500600Number of attendeesCosts ($)Fixed costsVariable costsTotal cost2.Number of attendees0100200300400500600Total costs(fixed + variable)$1,600$2,000$2,400$2,800$3,200$3,600$4,000Costsper attendee (totalcostsnumberofattendees)$20.00$12.00$9.33$8.00$ 7.20$6.67As shown in the table above,for 100 attendees the total cost will be $2,000 and the cost perattendee will be $20.3.As shown in the table in requirement 2, for 500 attendees the total cost will be $3,600 andthe cost per attendee will be $7.20.Number of attendees0100200300400500600Variable cost per person($9caterer charge$5 student door fee)$4$4$4$4$4$4$4Fixed Costs$1,600$1,600$1,600$1,600$1,600$1,600$1,600Variable costs(number ofattendees×variable cost perperson)04008001,2001,6002,0002,400Total costs(fixed + variable)$1,600$2,000$2,400$2,800$3,200$3,600$4,000

Page 29

Solution Manual For Cost Accounting, 14th Edition - Page 29 preview image

Loading page image...

2-124.Using the calculations shown in the table in requirement 2, we can construct the cost-per-attendee graph shown below:05101520250100200300400500600700Number of AttendeesCost per Attendee ($)As president of the student association requesting a grant for the party, you should not use theper unit calculations to make your case. The person making the grant may assume an attendanceof 500 students and use a low number like $7.20per attendee to calculate the size of your grant.Instead, you shouldemphasize the fixed cost of $1,600 that you will incur even if no students orvery few students attend the party, and try to get a grant to cover as much of the fixed costs aspossibleas well as a variable portion to cover as much of the $4variable cost to the studentassociation for each person attending the party.2-27(25 min.)Total and unit cost, decision making.1.$0$10,000$20,000$30,000$40,000$50,000$60,000$70,00005,00010,000Total Manufacturing CostsNumber of FlangesFixed CostsVariable CostsTotalManufacturingCostsNote that the production costs include the $28,000 of fixedmanufacturingcostsbut not the$10,000 of period costs. The variablecostis $1 per flange for materials, and $2.80per flange($28per hour divided by 10 flanges perhour) for directmanufacturinglabor for a total of $3.80per flange.

Page 30

Solution Manual For Cost Accounting, 14th Edition - Page 30 preview image

Loading page image...

2-132.Theinventoriable(manufacturing)cost per unit for 5,000 flanges is$3.80×5,000 + $28,000 = $47,000Average (unit) cost=$47,000÷5,000 units = $9.40per unit.Thisis belowFlora’s selling price of $10per flange.However, in order to make a profit,Gayle’s Glassworks also needs to cover the period(non-manufacturing)costs of $10,000, or$10,000 ÷5,000 = $2 per unit.Thus total costs, bothinventoriable(manufacturing)and period(non-manufacturing), for theflanges is $9.40+ $2 = $11.40.Gayle’s Glassworkscannotsell belowFlora’s price of $10andstill make a profit on the flanges.Alternatively,AtFlora’s price of $10per flange:Revenue$10×5,000=$50,000Variable costs$3.80×5,000=19,000Fixed costs38,000Operatingloss$ (7,000)Gayle’s Glassworks cannot sell below $10per flange and make a profit. AtFlora’s price of $10per flange, the company has an operatingloss of $7,000.3. IfGayle’s Glassworks produces 10,000 units, then totalinventoriablecost will be:Variable cost($3.80×10,000) +fixedmanufacturing costs,$28,000 =totalmanufacturingcosts,$66,000.Average (unit) inventoriable (manufacturing) cost will be $66,000 ÷ 10,000 units = $6.60 per flangeUnittotalcostincludingbothinventoriableand periodcostswill be($66,000 +$10,000)÷10,000 = $7.60per flange,andGayle’s Glassworks will be able to sell theflanges for less thanFloraand still make a profit.Alternatively,AtFlora’s price of $10per flange:Revenue$10×10,000=$100,000Variable costs$3.80×10,000=38,000Fixed costs38,000Operating income$ 24,000Gayle’s Glassworks can sell at a price below $10per flange and still make a profit. Thecompanyearns operating incomeof $24,000 at a price of $10per flange. The company willearnoperating incomeas long as the price exceeds $7.60per flange.The reason the unit costdecreasessignificantly is thatinventoriable (manufacturing)fixed costsandfixedperiod(nonmanufacturing) costs remain the same regardless of thenumber of unitsproduced. So,asGayle’s Glassworksproducesmore units,fixed costs are spread over moreunits, andcost per unit decreases.This means that if youuseunit costs to make decisions aboutpricing, and which product to produce, you must be awarethat the unit cost only applies to aparticular level of output.

Page 31

Solution Manual For Cost Accounting, 14th Edition - Page 31 preview image

Loading page image...

2-142-28(2030 min.)Inventoriable costs versus period costs.1.Manufacturing-sector companiespurchase materials andcomponents and convert theminto different finished goods.Merchandising-sectorcompaniespurchaseandthenselltangibleproductswithoutchanging their basic form.Service-sector companiesprovide services or intangible products to their customersforexample, legal advice or audits.Only manufacturing and merchandising companies have inventories of goods for sale.2.Inventoriable costsare all costs of a product that are regarded as an asset when they areincurred and then become cost of goods sold when the product is sold. These costs for amanufacturing company are included in work-in-process and finished goods inventory (they areinventoried) to build up the costs of creating these assets.Period costsare all costs in the income statement other than cost of goods sold. Thesecosts are treated as expenses of the period in which they are incurred because they are presumednot to benefit future periods (or because there is not sufficient evidence to conclude that suchbenefit exists). Expensing these costs immediately best matches expenses to revenues.3.(a)Perrier mineral water purchased for resale by Safewayinventoriable cost of amerchandising company. It becomes part of cost of goods sold when the mineral water is sold.(b)Electricity usedfor lightingat GErefrigeratorassembly plantinventoriable cost ofa manufacturing company. It is part of the manufacturing overhead that is included in themanufacturing cost of a refrigerator finished good.(c)Depreciation onGoogle’scomputer equipmentused to update directories of websitesperiod cost of a service company.Googlehas no inventory of goods for sale and, hence,no inventoriable cost.(d)Electricityused to provide lightingfor Safeways store aislesperiod cost of amerchandising company.It is a cost that benefits the current period anditis not traceable togoods purchased for resale.(e)DepreciationonGEsassemblytestingequipmentinventoriablecostofamanufacturing company. It is part of the manufacturing overhead that is included in themanufacturing cost of a refrigerator finished good.(f)SalariesofSafewaysmarketingpersonnelperiodcostofamerchandisingcompany. It is a cost that is not traceable to goods purchased for resale. It is presumed not tobenefit future periods (or at least not to have sufficiently reliable evidence to estimate such futurebenefits).(g)Perrier mineralwater consumed byGoogle’ssoftwareengineersperiod cost of aservice company.Googlehas no inventory of goods for sale and, hence, no inventoriable cost.(h)Salaries ofGoogle’smarketing personnelperiod cost of a service company.Googlehas no inventory of goods for sale and, hence, no inventoriable cost.
Preview Mode

This document has 947 pages. Sign in to access the full document!

Study Now!

XY-Copilot AI
Unlimited Access
Secure Payment
Instant Access
24/7 Support
Document Chat

Related Documents

View all