Solution Manual for Differential Equations and Linear Algebra, 4th Edition

Maximize your understanding with Solution Manual for Differential Equations and Linear Algebra, 4th Edition, a detailed solutions manual for all your textbook problems.

Ruby Reed
Contributor
4.0
41
5 months ago
Preview (16 of 658 Pages)
100%
Purchase to unlock

Page 1

Solution Manual for Differential Equations and Linear Algebra, 4th Edition - Page 1 preview image

Loading page image...

SOLUTIONSMANUALDIFFERENTIALEQUATIONS&LINEARALGEBRAFOURTHEDITIONC. Henry EdwardsDavid E. PenneyThe University of GeorgiaDavid T. CalvisBaldwin Wallace University

Page 2

Solution Manual for Differential Equations and Linear Algebra, 4th Edition - Page 2 preview image

Loading page image...

Page 3

Solution Manual for Differential Equations and Linear Algebra, 4th Edition - Page 3 preview image

Loading page image...

iiiCONTENTS1FIRST-ORDER DIFFERENTIAL EQUATIONS1.1Differential Equations and Mathematical Models11.2Integrals as General and Particular Solutions81.3Slope Fields and Solution Curves161.4Separable Equations and Applications281.5Linear First-Order Equations441.6Substitution Methods and Exact Equations62Chapter 1 Review Problems862MATHEMATICAL MODELSAND NUMERICAL METHODS2.1Population Models1012.2Equilibrium Solutions and Stability1172.3Acceleration-Velocity Models1282.4Numerical Approximation: Euler's Method1382.5A Closer Look at the Euler Method1462.6The Runge-Kutta Method1583LINEAR SYSTEMS AND MATRICES3.1Introduction to Linear Systems1733.2Matrices and Gaussian Elimination1773.3Reduced Row-Echelon Matrices1833.4Matrix Operations1923.5Inverses of Matrices1993.6Determinants2083.7Linear Equations and Curve Fitting219

Page 4

Solution Manual for Differential Equations and Linear Algebra, 4th Edition - Page 4 preview image

Loading page image...

iv4VECTOR SPACES4.1The Vector Space3R2294.2The Vector Space Rnand Subspaces2354.3Linear Combinations and Independence of Vectors2414.4Bases and Dimension for Vector Spaces2494.5Row and Column Spaces2564.6Orthogonal Vectors in Rn2624.7General Vector Spaces2685HIGHER-ORDER LINEARDIFFERENTIAL EQUATIONS5.1Introduction: Second-Order Linear Equations2755.2General Solutions of Linear Equations2825.3Homogeneous Equations with Constant Coefficients2905.4Mechanical Vibrations2985.5Nonhomogeneous Equations and Undetermined Coefficients3095.6Forced Oscillations and Resonance3226EIGENVALUES AND EIGENVECTORS6.1Introduction to Eigenvalues3356.2Diagonalization of Matrices3496.3Applications Involving Powers of Matrices3617LINEAR SYSTEMS OFDIFFERENTIAL EQUATIONS7.1First-Order Systems and Applications3797.2Matrices and Linear Systems3887.3The Eigenvalue Method for Linear Systems3957.4A Gallery of Solution Curves of Linear Systems4277.5Second-Order Systems and Mechanical Applications433

Page 5

Solution Manual for Differential Equations and Linear Algebra, 4th Edition - Page 5 preview image

Loading page image...

v7.6Multiple Eigenvalue Solutions4457.7Numerical Methods for Systems4648MATRIX EXPONENTIAL METHODS8.1Matrix Exponentials and Linear Systems4738.2Nonhomogeneous Linear Systems4838.3Spectral Decomposition Methods4919NONLINEAR SYSTEMS AND PHENOMENA9.1Stability and the Phase Plane5119.2Linear and Almost Linear Systems5209.3Ecological Applications: Predators and Competitors5389.4Nonlinear Mechanical Systems55310LAPLACE TRANSFORM METHODS10.1Laplace Transforms and Inverse Transforms56510.2Transformation of Initial Value Problems57010.3Translation and Partial Fractions57910.4Derivatives, Integrals, and Products of Transforms58810.5Periodic and Piecewise Continuous Input Functions59511POWER SERIES METHODS11.1Introduction and Review of Power Series60911.2Power Series Solutions61511.3Frobenius Series Solutions62811.4Bessel Functions642APPENDIX AExistence and Uniqueness of Solutions649

Page 6

Solution Manual for Differential Equations and Linear Algebra, 4th Edition - Page 6 preview image

Loading page image...

viPREFACEThis is a solutions manual to accompany the textbookDIFFERENTIAL EQUATIONS &LINEAR ALGEBRA(4th edition, 2018) by C. Henry Edwards, David E. Penney, and David T.Calvis. We include solutions to most of the problems in the text. The correspondingStudent’sSolutions Manualcontains solutions to most of the odd-numbered solutions in the text.Our goal is to support teaching of the subject of differential equations with linear algebra in everyway that we can. We therefore invite comments and suggested improvements for future printings ofthis manual, as well as advice regarding features that might be added to increase its usefulness insubsequent editions. Additional supplementary material can be found at the Expanded Applicationswebsite listed below.Henry EdwardsDavid Calvish.edwards@mindspring.comdcalvis@bw.eduhttp://goo.gl/UYnW2g

Page 7

Solution Manual for Differential Equations and Linear Algebra, 4th Edition - Page 7 preview image

Loading page image...

1CHAPTER 1FIRST-ORDER DIFFERENTIAL EQUATIONSSECTION 1.1DIFFERENTIAL EQUATIONS AND MATHEMATICAL MODELSThe main purpose of Section 1.1 is simply to introduce the basic notation and terminology of dif-ferential equations, and to show the student what is meant by a solution of a differential equation.Also, the use of differential equations in the mathematical modeling of real-world phenomena isoutlined.Problems 1-12 are routine verifications by direct substitution of the suggested solutions into thegiven differential equations. We include here just some typical examples of such verifications.3.If1cos 2yxand2sin 2yx, then12sin 2yx  22 cos 2yx , so114 cos 24yxy   and224sin 24yxy   . Thus1140yyand2240yy .4.If31xyeand32xye, then313xyeand323xye , so31199xyey and32299xyey .5.Ifxxyee, thenxxyee , so2.xxxxxyyeeeee Thus2.xyye 6.If21xyeand22xyx e, then212xye  ,214xye ,2222xxyex e , and22244.xxyex e  Hence2221114444240xxxyyyeeeand2222222244444240.xxxxxyyyex eex ex e8.If1coscos 2yxxand2sincos 2yxx, then1sin2sin 2 ,yxx  1cos4 cos 2 ,yxx  2cos2sin 2yxx , and2sin4 cos 2 .yxx  Hence11cos4 cos 2coscos 23cos 2yyxxxxxand22sin4cos 2sincos 23cos 2 .yyxxxxx 

Page 8

Solution Manual for Differential Equations and Linear Algebra, 4th Edition - Page 8 preview image

Loading page image...

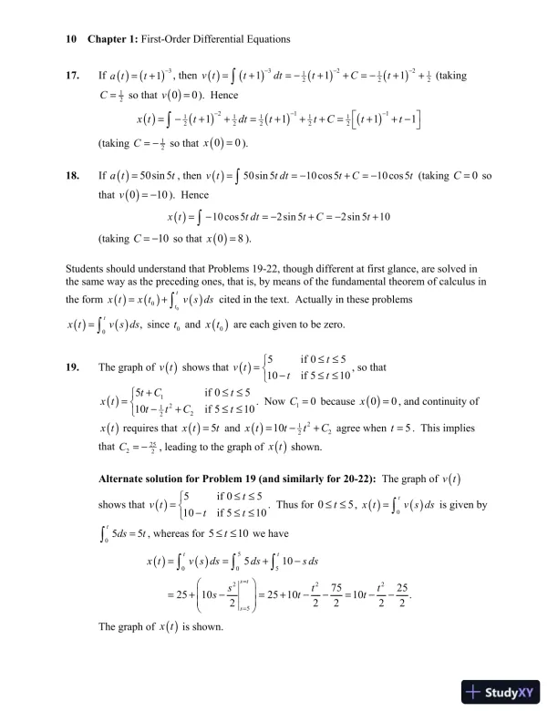
2Chapter 1:First-Order Differential Equations11.If21yyx, then32yx  and46,yx so224325465240.x yx yyxxxxxIf22lnyyxx, then332lnyxxx and4456lnyxxx  , so2244332222225456ln52ln4ln556104ln0.xyx yyxxxxx xxxxxxxxxxx13.Substitution ofrxyeinto32yy gives the equation 32rxrxr ee, which simplifiesto32.rThus2 / 3r.14.Substitution ofrxyeinto4yy gives the equation24rxrxree, which simplifies to241.rThus1 / 2r .15.Substitution ofrxyeinto20yyygives the equation220rxrxrxr er ee,which simplifies to22(2)(1)0.rrrrThus2r or1r.16.Substitution ofrxyeinto3340yyygives the equation23340,rxrxrxr er eewhich simplifies to23340rr. The quadratic formula thengives the solutions3576r.The verifications of the suggested solutions in Problems 17-26 are similar to those in Problems1-12. We illustrate the determination of the value ofConly in some typical cases. However, weillustrate typical solution curves for each of these problems.17.2C18.3C−404−404xy(0, 2)Problem 17−505−505xy(0, 3)Problem 18

Page 9

Solution Manual for Differential Equations and Linear Algebra, 4th Edition - Page 9 preview image

Loading page image...

Section 1.1:Differential Equations and Mathematical Models319.If1xy xCe, then05ygives15C, so6C.20.If1xy xC ex, then010ygives110C, or11C.21.7C.22.If( )lny xxC, then00ygivesln0C, so1C.23.If5214( )y xxC x, then21ygives1148321C, or56C .24.17C.−505−10−50510xy(0, 5)Problem 19−10−50510−20020xy(0, 10)Problem 20−2−1012−10−50510xy(0, 7)Problem 21−20−1001020−505xy(0, 0)Problem 22

Page 10

Solution Manual for Differential Equations and Linear Algebra, 4th Edition - Page 10 preview image

Loading page image...

4Chapter 1:First-Order Differential Equations25.If3tanyxC, then01ygives the equationtan1C. Hence one value ofCis/ 4C, as is this value plus any integral multiple of.26.Substitution ofxand0yintocosyxCxyields01C, soC .27.yxy 28.The slope of the line through,xyand2, 0xis02/ 2yyy xxx , so the differ-ential equation is2xyy .0123−30−20−100102030xy(2, 1)Problem 2300.511.522.533.544.55−30−20−100102030xy(1, 17)Problem 24−2−1012−4−2024xy(0, 1)Problem 250510−10−50510xy(, 0)Problem 26

Page 11

Solution Manual for Differential Equations and Linear Algebra, 4th Edition - Page 11 preview image

Loading page image...

Section 1.1:Differential Equations and Mathematical Models529.Ifmyis the slope of the tangent line andmis the slope of the normal line at( ,),x ythen the relation1m m  yields 110myyx . Solving forythengives the differential equation1yyx.30.Heremyand2()2xmDxkx , so the orthogonality relation1m m  givesthe differential equation21.xy  31.The slope of the line through,xyand(,)yxis yxyyx , so the differen-tial equation is().xy yyxIn Problems 32-36 we get the desired differential equation when we replace the “time rate ofchange” of the dependent variable with its derivative with respect to timet, the word “is” withthe = sign, the phrase “proportional to” withk, and finally translate the remainder of the givensentence into symbols.32.dP dtkP33.2dv dtkv34.250dv dtkv35.dN dtkPN36.dN dtkNPN37.The second derivative of any linear function is zero, so we spot the two solutions1y xand( )yxxof the differential equation0y .38.A function whose derivative equals itself, and is hence a solution of the differential equa-tionyy , is( )xyxe.39.We reason that if2ykx, then each term in the differential equation is a multiple of2x.The choice1kbalances the equation and provides the solution2( )yxx.40.Ifyis a constant, then0y , so the differential equation reduces to21y. This givesthe two constant-valued solutions( )1y xand( )1y x .41.We reason that ifxyke, then each term in the differential equation is a multiple ofxe.The choice12kbalances the equation and provides the solution12( )xy xe.42.Two functions, each equaling the negative of its own second derivative, are the two solu-tionscosy xxand( )sinyxxof the differential equationyy  .

Page 12

Solution Manual for Differential Equations and Linear Algebra, 4th Edition - Page 12 preview image

Loading page image...

6Chapter 1:First-Order Differential Equations43.(a)We need only substitute( )1xtCktin both sides of the differential equation2xkx for a routine verification.(b)The zero-valued function( )0x tobviously satisfies the initial value problem2xkx ,(0)0x.44.(a)The figure shows typical graphs of solutions of the differential equation212xx .(b)The figure shows typical graphs of solutions of the differential equation212.xx  We see that—whereas the graphs with12kappear to “diverge to infinity”—each solu-tion with12k appears to approach 0 as.t Indeed, we see from the Problem43(a) solution12( )1xtCtthat( )x t as2tC. However, with12k it isclear from the resulting solution12( )1xtCtthat( )xtremains bounded on anybounded interval, but( )0x tast .45.Substitution of1P and10Pinto the differential equation2PkP gives1100,ksoProblem 43(a) yields a solution of the form1100( )1P tCt. The initial condition(0)2Pnow yields12,Cso we get the solution1100( )1502100P ttt.We now find readily that100Pwhen49tand that1000Pwhen49.9t. It ap-pears thatPgrows without bound (and thus “explodes”) astapproaches 50.01234012345txProblem 44a012340123456txProblem 44b

Page 13

Solution Manual for Differential Equations and Linear Algebra, 4th Edition - Page 13 preview image

Loading page image...

Section 1.2:Integrals as General and Particular Solutions746.Substitution of1v  and5vinto the differential equation2vkv gives125,k soProblem 43(a) yields a solution of the form( )125v tCt. The initial condition(0)10vnow yields110,Cso we get the solution150( )1521025v ttt.We now find readily that1vwhen22.5tand that0.1vwhen247.5t. It ap-pears thatvapproaches 0 astincreases without bound. Thus the boat gradually slows,but never comes to a “full stop” in a finite period of time.47.(a)(10)10yyields10110C, so101 10C.(b)There is no such value ofC, but the constant function( )0y xsatisfies the conditions2yy and(0)0y.(c)It is obvious visually (in Fig. 1.1.8 of the text) that one and only one solution curvepasses through each point( ,)a bof thexy-plane, so it follows that there exists a uniquesolution to the initial value problem2yy ,( )yab.48.(b)Obviously the functions4( )u xx and4( )v xx both satisfy the differential equa-tion4 .xyy But their derivatives3( )4uxx and3( )4vxx match at0x, whereboth are zero. Hence the given piecewise-defined functiony xis differentiable, andtherefore satisfies the differential equation becauseuxandv xdo so (for0xand0x, respectively).(c)If0a(for instance), then chooseCfixed so that4C ab. Then the function44if0if0C xxy xC xxsatisfies the given differential equation for every real number value ofC

Page 14

Solution Manual for Differential Equations and Linear Algebra, 4th Edition - Page 14 preview image

Loading page image...

8Chapter 1:First-Order Differential EquationsSECTION 1.2INTEGRALS AS GENERAL AND PARTICULAR SOLUTIONSThis section introducesgeneral solutionsandparticular solutionsin the very simplest situation— a differential equation of the formyfx — where only direct integration and evaluationof the constant of integration are involved. Students should review carefully the elementary con-cepts of velocity and acceleration, as well as the fps and mks unit systems.1.Integration of21yx yields2( )21yxxdxxxC. Then substitution of0x,3ygives300CC, so23y xxx.2.Integration of22yx yields231322yxxdxxC. Then substitutionof2x,1ygives10CC, so31321yxx.3.Integration ofyx yields3/223yxx dxxC. Then substitution of4x,0ygives1630C, so3/2238yxx.4.Integration of2yx yields21yxxdxxC . Then substitution of1x,5ygives51C  , so16y xx .5.Integration of1 22yx yields1 2222yxxdxxC. Then substitu-tion of2x,1y gives12 2C , so225yxx.6.Integration of1 229yx x yields1 23 2221399yxx xdxxC. Thensubstitution of4x ,0ygives3130(5)C, so3/22139125yxx.7.Integration of2101yx yields121010 tan1yxdxxCx. Then substitution of0x,0ygives010 0C, so110 tany xx.8.Integration ofcos 2yx yields12cos 2sin 2yxx dxxC. Then substitution of0x,1ygives10C, so12sin 21y xx.

Page 15

Solution Manual for Differential Equations and Linear Algebra, 4th Edition - Page 15 preview image

Loading page image...

Section 1.2:Integrals as General and Particular Solutions99.Integration of211yx yields121( )sin1y xdxxCx. Then substitution of0x,0ygives00C, so1siny xx.10.Integration ofxyxe yields11xuuxyxxedxue duuexeC ,using the substitutionux together with Formula #46 inside the back cover of thetextbook. Then substituting0x,1ygives11,C so( )(1)2.xy xxe 11.If 50a t, then 050505010v tdttvt. Hence 22050102510251020x ttdtttxtt.12.If 20a t , then 020202015v tdttvt  . Hence 2202015101510155xttdtttxtt  .13.If 3a tt, then 223302235v tt dttvt. Hence 2333110222555xttdtttxtt.14.If 21a tt, then 220217v ttdtttvtt. Hence 2331111032327774xtttdttttxttt.15.If 243a tt, then 2334433433337v ttdttCt(taking37C so that01v ). Hence 34441133333733733726x ttdtttCtt.16.If 14a tt, then 1242454v tdttCtt(taking5C sothat01v ). Hence 3/23/229443332454545x ttdtttCtt(taking29 3C so that01x).

Page 16

Solution Manual for Differential Equations and Linear Algebra, 4th Edition - Page 16 preview image

Loading page image...

10Chapter 1:First-Order Differential Equations17.If 31a tt, then 322111222111v ttdttCt  (taking12Cso that00v). Hence 21111111222221111x ttdtttCtt(taking12C so that00x).18.If 50sin 5a tt, then 50 sin 510 cos 510 cos 5v tt dttCt  (taking0Csothat010v ). Hence 10 cos 52 sin 52 sin 510x tt dttCt  (taking10C so that08x).Students should understand that Problems 19-22, though different at first glance, are solved inthe same way as the preceding ones, that is, by means of the fundamental theorem of calculus inthe form  00ttx tx tv s dscited in the text. Actually in these problems  0,tx tv s dssince0tand0xtare each given to be zero.19.The graph of v tshows that 5if 0510if 510tv ttt, so that 121225if 0510if 510tCtx tttCt. Now10Cbecause00x, and continuity of xtrequires that 5xttand 212210xtttCagree when5t. This impliesthat2522C , leading to the graph of xtshown.Alternate solution for Problem 19 (and similarly for 20-22):The graph of v tshows that 5if 0510if 510tv ttt. Thus for05t,  0tx tv s dsis given by055tdst, whereas for510twe have  5005222551075252510251010.22222ttstsx tv s dsdss dssttsttThe graph of xtis shown.
Preview Mode

This document has 658 pages. Sign in to access the full document!

Study Now!

XY-Copilot AI
Unlimited Access
Secure Payment
Instant Access
24/7 Support
Document Chat

Document Details

Related Documents

View all