Solution Manual for Econometrics by Example, 2nd Edition

Solution Manual for Econometrics by Example, 2nd Edition is an essential tool for mastering your textbook, offering detailed solutions and helpful explanations.

Jack Murphy
Contributor
4.2
31
5 months ago
Preview (16 of 255 Pages)
100%
Purchase to unlock

Page 1

Solution Manual for Econometrics by Example, 2nd Edition - Page 1 preview image

Loading page image...

SOLUTIONS MANUAL by Inas Kelly

Page 2

Solution Manual for Econometrics by Example, 2nd Edition - Page 2 preview image

Loading page image...

Page 3

Solution Manual for Econometrics by Example, 2nd Edition - Page 3 preview image

Loading page image...

CHAPTER 1 EXERCISES1.1. Consider the regression results given in Table 1.2.a. Suppose you want to test the hypothesis that the true or population regression coefficient ofthe education variable is 1. How would you test this hypothesis? Show the necessarycalculations.The equation we are looking at is:wagei= b1+ b2*(femalei) + b3*(nonwhitei) + b4*(unioni) + b5*(educationi) + b6*(experi) + eiHere we are testing:H0:β5= 1H1:β5≠ 1From Table 1.2, we have:t= (1.370301 - 1)/0.065904 = 5.618794.From thettable, the criticaltstatistic forα= 1% is 2.576 (df = 12896 = 1283, so we can use df =). Since 5.619 > 2.576, we can easily reject the null hypothesis at the 1% level.b. Would you reject or not reject the hypothesis that the true union regression coefficient is1?Here we are testing:H0:β4= 1H1:β4≠ 1From Table 1.2, we have:t= (1.095976 - 1)/0.506078 = 0.189647.From thettable, the critical t statistic forα= 10% is 1.645 (using df =∞). Since0.190 < 1.645, wecannot even reject the null hypothesis at the 10% level. (Note that from the output, if we were testing H0:β4= 0 vs. H1:β4≠ 0, we could reject the null hypothesis at the 5% level.)c. Can you take the logs of the nominal variables, such as gender, race and union status?Why or why not?No, because these are categorical variables that often take values of 0 or 1. The natural log of 1 is0, and the natural log of 0 is undefined. Moreover, taking the natural log would not be helpful asthe values of the nominal variables to not have a specific meaning.d. What other variables are missing from the model?We could have included control variables for region, marital status, and number of children on theright-hand side. Instead of including a continuous variable for education, we could have controlledfor degrees (high school graduate, college graduate, etc). An indicator for the business cycle (suchas the unemployment rate) may be helpful. Moreover, we could include state-level policies on theminimum wage and right-to-work laws.e. Would you run separate wage regressions for white and nonwhite workers, male andfemale workers, and union and non-union workers? And how would you compare them?We would if we felt the two groups were systematically different from one another. We can runthe models separately and conduct anFtest to see if the two regressions are significantly different.If they are, we should run them separately. TheFstatistic may be obtained by running the twotogetherthe restricted modelthen running the two separatelyjointly, the unrestricted model.

Page 4

Solution Manual for Econometrics by Example, 2nd Edition - Page 4 preview image

Loading page image...

We then obtain the residual sum of squares for the restricted model (RSSR) and the residual sum ofsquares for the unrestricted model (RSSUR, equal to RSS1+ RSS2from two separate models).F=[(RSSRRSSUR)/k] / [RSSUR/(n-2k)] ~ Fk,n-2k. I would then see which model was a better predictorof the outcome variable,wage.f.Some states have right-to-work laws (i.e., union membership is not mandatory) and somedo not have such laws (i.e, union membership is permitted). Is it worth adding a dummyvariable taking the value of 1 if the right-to-work laws are present and 0 otherwise? A priori,what would you expect if this variable is added to the model?Since we would expect these laws to have an effect on wage, it may be worth adding this variable.A priori, we would expect this variable to have a negative effect on wage, as union wagesaregenerally higher than nonunion wages.h. Would you add the age of the worker as an explanatory variable to the model? Why orwhy not?No, we would not add this variable to the model. This is because the variableExperis defined as(ageeducation6), so it would be perfectly collinear and not add any new information to themodel.1.2. Table 1.5 (available on the companion website) gives data on 654 youths, aged 3 to 19, inthe areas of East Boston in the later 1970s on the following variables:fev =continuous measure (in liters)smoke= smoker coded as 1, non-smoker coded as 0age= in yearsht= height in inchessex= coded 1 for male and 0 for femalefevstands forforced expiratory volume, the volume of air that can be forcedouttaking a deep breath, an important measure of pulmonary function. The objective of thisexercise is to find out the impact of age, height, sex and smoking habits onfev.a. Develop a suitable regression model for this purpose.Fevi = b1 + b2age + b3ht + b4sex + b5smoke + eiWhere i denotes the youth.An alternative functional form may be used as well, in which quadratic terms are included for ageand height.b.A priori, what is the effect of each regressor onfev? Do the regression results support yourprior expectations?Age: Negative. One would expect that as age increases, pulmonary function decreases. However,since we are analyzing a group of 3 to 19 year olds, this will likely be positive. The result came outpositive.Height: Positive. Pulmonary function biologically may be more effective for taller individuals. Theresult came outpositive.

Page 5

Solution Manual for Econometrics by Example, 2nd Edition - Page 5 preview image

Loading page image...

Sex: Ambiguous. No clear expectation for differences in pulmonary function between males andfemales, although males may have stronger lungs, and thus, the coefficient may be positive. Theresult came outpositive.Smoke: Negative. Smoking adversely affects pulmonary function. The result came outnegative.Results in Stata are:. regfev age ht sex smokeSource |SSdfMSNumber of obs =654-------------+------------------------------F(4,649) =560.02Model |380.64028495.1600701Prob > F=0.0000Residual |110.279553649.16992227R-squared=0.7754-------------+------------------------------Adj R-squared =0.7740Total |490.919833653.751791475Root MSE=.41222------------------------------------------------------------------------------fev |Coef.Std. Err.tP>|t|[95% Conf. Interval]-------------+----------------------------------------------------------------age |.0655093.00948866.900.000.0468774.0841413ht |.1041994.004757721.900.000.0948571.1135418sex |.1571029.03320714.730.000.0918967.2223092smoke |-.0872464.0592535-1.470.141-.2035981.0291054_cons |-4.456974.2228392-20.000.000-4.894547-4.019401------------------------------------------------------------------------------c. Which of the explanatory variables, or regressors, are individually statistically significant,say, at the 5% level? What are the estimatedpvalues?Age, height, and sex are all statistically significant at the 5% level, which p-values of zero.d. If the estimated p values are greater than the 5% value, does that mean the relevantregressor is not of practical importance?No. In fact, the p-value forsmokeis 0.141, suggesting that this explanatory variable isinsignificant. However, we would expect smoking to have an effect on pulmonary function; thus,smoke theoretically belongs in the equation and should not be excluded. Excluding a relevantvariable because it is not significant may also bias other coefficients in the model.e. Would you expect age and height to be correlated? If so, would you expect that your modelsuffers from multicollinearity? Do you have any idea what you could do about this problem?Show the necessary calculations. If you do not have the answer, do not be discouragedbecause we will discuss multicollinearity in some depth in Ch.4.Yes, I would expect age and height to be strongly correlated, especially for youths aged 3 to 19.This is because they are still growing, and the older they are, the taller they are. In fact, we findthat the correlation coefficient in this sample is 0.7919. However, one of the suggested indicatorsof multicollinearity is individual insignificance but joint significance. This is not a problem here,since both age and height are separately very significant. More detailed tests, such as looking atthe variance inflation factor (VIF), will be introduced later.f. Would you reject the hypothesis that the (slope) coefficients of all the regressors arestatistically insignificant? Which test do you use? Show the necessary calculations.Yes, I would reject this hypothesis. The appropriate test is an F test, and the null and alternativehypotheses are:

Page 6

Solution Manual for Econometrics by Example, 2nd Edition - Page 6 preview image

Loading page image...

H0: R2= 0H1: R2≠ 0The Stata output reveals that the actual F value, with 4 df in the numerator and 649 df in thedenominator, is 560.02. The probability associated with this value is 0, suggesting that we canreject the null hypothesis at all significance levels.g. Set up the analysis of variance (AOV) table. What does this table tell you?This is given in Stata:Source |SSdfMSNumber of obs =654-------------+------------------------------F(4,649) =560.02Model |380.64028495.1600701Prob > F=0.0000Residual |110.279553649.16992227R-squared=0.7754-------------+------------------------------Adj R-squared =0.7740Total |490.919833653.751791475Root MSE=.41222Since the formula for the F test is F = [ (ESS/df) / (RSS/df) ], where ESS is the explained sum ofsquares, RSS is the residual sum of squares, and df are degrees of freedom, the information abovetells us that we can compute the F statistic as follows: F = (380.64028/4) / (110.279553/649) =95.1600701 / .16992227 = 560.02. These values are all provided in the ANOVA table provided byStata, and can give us information about the joint significance of the explanatory variables.h. What is theR2value of your regression model? How would interpret this value?As seen in the output above, the R2value is 0.7754. This can be computed by taking the explainedsum of squares (ESS) divided by the total sum of squares (TSS). This value tells us that 77.54% ofthe variation infevcan be explained by the variations in the explanatory variables: age, height, sex,and smoke.i. Compute the adjusted-R2value? How does this value compare with the computedR2value?The adjusted R2value is computed using the following formula:Adjusted R2= 1(1R2)*((n-1)/(n-k)) = 1(1-0.7754)*(653/649) = 0.7740.This takes degrees of freedom into account and is slightly lower than the value of R2.j. Would you conclude from this example that smoking is bad for fev? Explain.There is not sufficient empirical evidence in this example to show that smoking is bad for fev.Although the relationship between the two variables is negative, it is insignificant. This could bedue to the age range being analyzed; the smokers in the sample likely have not been smoking forlong, and the effects on pulmonary function have not yet been realized.1.3. Consider the bivariate regression model:12iiiYBB Xu

Page 7

Solution Manual for Econometrics by Example, 2nd Edition - Page 7 preview image

Loading page image...

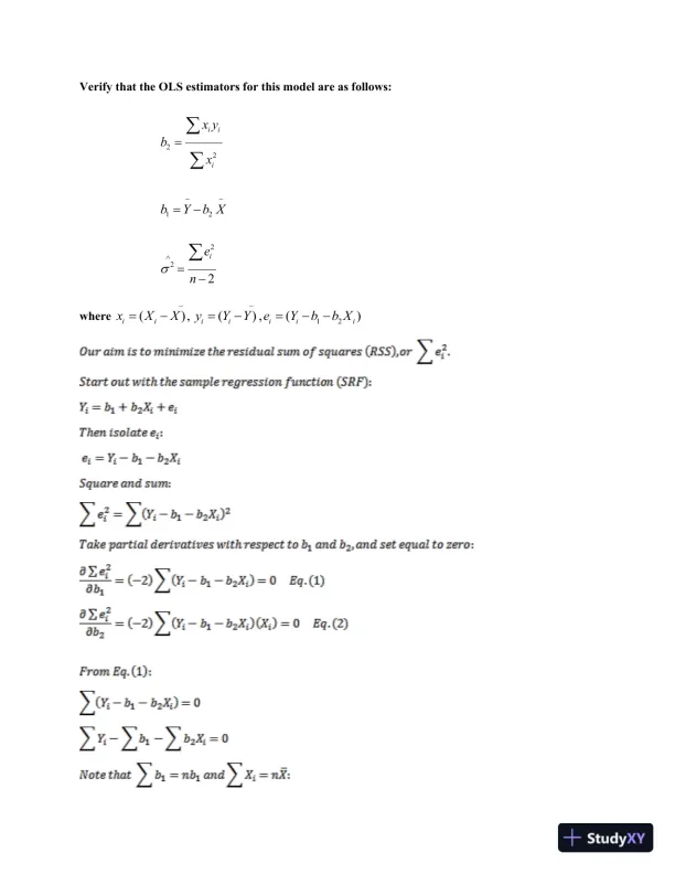
Verify that the OLS estimators for this model are as follows:22iiix ybx12bYb X222ienwhere12(),() ,()iiiiiiixXXyYYeYbb X

Page 8

Solution Manual for Econometrics by Example, 2nd Edition - Page 8 preview image

Loading page image...

The sample variance is of the estimate, sigma-hat squared, is simply equal to the residual sum ofsquares (RSS) divided by degrees of freedom, equal to n-k. Since we have only two parameters inthis bivariate regression model, k=2.1.4. Consider the following regression model:12iiiyBB xu

Page 9

Solution Manual for Econometrics by Example, 2nd Edition - Page 9 preview image

Loading page image...

wherexiandyiare as defined in Exercise 1.3. Show that in this modelb1= 0.What is the advantage of this model over the model in Exercise 1.3?Since this model takes deviations from the mean for all variables, the calculations are simpler. Theslope remains the same, while the y-intercept is simply zero (the origin). Note that, from Exercise1.3, we can see that the y-intercept is equal to12bYb X. Since we are taking deviations fromthe mean, the mean of y is now zero. Similarly, the mean of x is zero. Substituting, we can seethat this means that b1 is equal to zero.1.5.Interaction among regressors.Consider the wage regression model given in Table 1.3.Suppose you decide to add the variable education.experience, the product of the tworegressors, to the model. What is the logic behind introducing such a variable, called aninteraction variable, to the model? Reestimate the model in Table 1.3 with this added variableand interpret your results.The logic behind introducing such a variable is to account for the possibility that educations effecton wages relies in part on experience. In other words, the coefficient on education is incomplete onits own; likewise, the partial slope on experience is incomplete. In this example, we may believethat there is something aboutbothhaving more experience and a higher education that increaseswages. When we run the regression in Stata, it gives us the following results:. reg wage female nonwhite union education expereducation_experSource |SSdfMSNumber of obs =1289-------------+------------------------------F(6,1282) =102.44Model |26026.210364337.70172Prob > F=0.0000Residual |54283.6144128242.3429129R-squared=0.3241-------------+------------------------------Adj R-squared =0.3209Total |80309.8247128862.3523484Root MSE=6.5071------------------------------------------------------------------------------wage |Coef.Std. Err.tP>|t|[95% Conf. Interval]-------------+----------------------------------------------------------------female |-3.089394.3647682-8.470.000-3.805002-2.373786nonwhite |-1.55922.509136-3.060.002-2.558051-.5603885union |1.090656.50602092.160.031.09793622.083376education |1.501845.129519711.600.0001.2477511.755939exper |.2437558.06733613.620.000.1116547.3758569education_~r |-.0061015.005172-1.180.238-.0162481.004045_cons |-8.8839781.763414-5.040.000-12.34347-5.424483------------------------------------------------------------------------------Interestingly, the coefficient on the interaction term (education.experience) is negative andinsignificant.

Page 10

Solution Manual for Econometrics by Example, 2nd Edition - Page 10 preview image

Loading page image...

CHAPTER 2 EXERCISES2.1. Consider the following production function, known in the literature as the transcendentalproduction function (TPF).34521iiBB LB KBiiiQB L KewhereQ,LandKrepresent output, labor and capital, respectively.(a) How would you linearize this function? (Hint: logarithms.)Taking the natural log of both sides, the transcendental production function above can be writtenin linear form as:iiiiiiuKBLBKBLBBQ54321lnlnlnln(b) What is the interpretation of the various coefficients in the TPF?The coefficients may be interpreted as follows:ln B1is the y-intercept, which may not have any viable economic interpretation, although B1maybe interpreted as a technology constant in the Cobb-Douglas production function.The elasticity of output with respect to labor may be interpreted as (B2+ B4*L). This is becauseLBBLBBLQii42421lnln. Recall thatiiiiLLQLQ1lnlnln.Similarly, the elasticity of output with respect to capital can be expressed as (B3+ B5*K).(c) Given the data in Table 2.1, estimate the parameters of the TPF.The parameters of thetranscendental production function are given in the following Stataoutput:. reg lnoutput lnlabor lncapital labor capitalSource |SSdfMSNumber of obs =51-------------+------------------------------F(4,46) =312.65Model |91.95773422.9894325Prob > F=0.0000Residual |3.3824010246.073530457R-squared=0.9645-------------+------------------------------Adj R-squared =0.9614Total |95.340131501.90680262Root MSE=.27116------------------------------------------------------------------------------lnoutput |Coef.Std. Err.tP>|t|[95% Conf. Interval]-------------+----------------------------------------------------------------lnlabor |.5208141.13474693.870.000.2495826.7920456lncapital |.4717828.12318993.830.000.2238144.7197511labor |-2.52e-074.20e-07-0.600.552-1.10e-065.94e-07capital |3.55e-085.30e-080.670.506-7.11e-081.42e-07_cons |3.949841.56603716.980.0002.8104685.089215------------------------------------------------------------------------------B1= e3.949841= 51.9271.B2= 0.5208141B3= 0.4717828B4= -2.52e-07

Page 11

Solution Manual for Econometrics by Example, 2nd Edition - Page 11 preview image

Loading page image...

B5= 3.55e-08Evaluated at the mean value of labor (373,914.5), the elasticity of output with respect to labor is 0.4266.Evaluated at the mean value of capital (2,516,181), the elasticity of output with respect to capital is0.5612.(d) Suppose you want to test the hypothesis thatB4=B5= 0. How would you test thesehypotheses? Show the necessary calculations. (Hint: restricted least squares.)I would conduct an F test for the coefficients on labor and capital. The output in Stata for this testgives the following:. testlabor capital( 1)labor = 0( 2)capital = 0F(2,46) =0.23Prob > F =0.7992This shows that the null hypothesis ofB4=B5= 0 cannot be rejected in favor of the alternativehypothesis ofB4B5≠ 0. We may thus question the choice of using a transcendental productionfunction over a standard Cobb-Douglas production function.We can alsouse restricted least squares and perform this calculation “by hand”by conducting anFtest as follows:46,2~)/()2/()(FknRSSknknRSSRSSFURURRThe restricted regression is:iiiiuKBLBBQlnlnlnln321,which gives the following Stata output:. reg lnoutput lnlabor lncapital;Source |SSdfMSNumber of obs =51-------------+------------------------------F(2,48) =645.93Model |91.9246133245.9623067Prob > F=0.0000Residual |3.4155177248.071156619R-squared=0.9642-------------+------------------------------Adj R-squared =0.9627Total |95.340131501.90680262Root MSE=.26675------------------------------------------------------------------------------lnoutput |Coef.Std. Err.tP>|t|[95% Conf. Interval]-------------+----------------------------------------------------------------lnlabor |.4683318.09892594.730.000.269428.6672357lncapital |.5212795.0968875.380.000.326475.7160839_cons |3.887599.39622819.810.0003.0909294.684269------------------------------------------------------------------------------The unrestricted regression is the original one shown in 2(c). This gives the following:46,2~.225190)551/(3.382401)5512551/()3.3824013.4155177(FF

Page 12

Solution Manual for Econometrics by Example, 2nd Edition - Page 12 preview image

Loading page image...

Since 0.225 is less than the criticalFvalue of 3.23 for 2 degrees of freedom in the numerator and40 degrees in the denominator (rounded using statistical tables), we cannot reject the nullhypothesis ofB4=B5= 0 at the 5% level.(e) How would you compute the output-labor and output capital elasticities for this model?Are they constant or variable?See answers to 2(b) and 2(c) above. Since the values of L and K are used in computing theelasticities, they arevariable.2.2. How would you compute the output-labor and output-capital elasticities for the linearproduction function given in Table 2.3?The Stata output for the linear production function given in Table 2.3 is:. reg output labor capitalSource |SSdfMSNumber of obs =51-------------+------------------------------F(2,48) = 1243.51Model |9.8732e+1624.9366e+16Prob > F=0.0000Residual |1.9055e+15483.9699e+13R-squared=0.9811-------------+------------------------------Adj R-squared =0.9803Total |1.0064e+17502.0127e+15Root MSE=6.3e+06------------------------------------------------------------------------------output |Coef.Std. Err.tP>|t|[95% Conf. Interval]-------------+----------------------------------------------------------------labor |47.987367.0582456.800.00033.795862.17891capital |9.951891.978116510.170.0007.98525611.91853_cons |233621.612503640.190.853-22804042747648------------------------------------------------------------------------------The elasticity of output with respect to labor is:QLBLLQQiiii2//.It is often useful to compute this value at the mean. Therefore, evaluated at the mean values oflabor and output, the output-labor elasticity is:.41535007+4.32e373914.547.987362QLB.Similarly, the elasticity of output with respect to capital is:QKBKKQQiiii3//.Evaluated at the mean, the output-capital elasticity is:.57965007+4.32e25161819.9518913QKB.2.3. For the food expenditure data given in Table 2.8, see if the following model fits the datawell:SFDHOi=B1+B2Expendi+B3Expendi2and compare your results with those discussed in the text.The Stata output for this model gives the following:. reg sfdho expend expend2Source |SSdfMSNumber of obs =869-------------+------------------------------F(2,866) =204.68Model |2.0263825321.01319127Prob > F=0.0000

Page 13

Solution Manual for Econometrics by Example, 2nd Edition - Page 13 preview image

Loading page image...

Residual |4.28671335866.004950015R-squared=0.3210-------------+------------------------------Adj R-squared =0.3194Total |6.31309589868.007273152Root MSE=.07036------------------------------------------------------------------------------sfdho |Coef.Std. Err.tP>|t|[95% Conf. Interval]-------------+----------------------------------------------------------------expend |-5.10e-063.36e-07-15.190.000-5.76e-06-4.44e-06expend2 |3.23e-113.49e-129.250.0002.54e-113.91e-11_cons |.2563351.006584238.930.000.2434123.2692579------------------------------------------------------------------------------Similarly to the results in the text (shown in Tables 2.9 and 2.10), these results show a strongnonlinear relationship between share of food expenditure and total expenditure. Both totalexpenditure and its square are highly significant. The negative sign on the coefficient on “expend”combined with the positive sign on the coefficient on “expend2” implies that the share of foodexpenditure in total expenditure isdecreasingat anincreasingrate, which is precisely what theplotted data in Figure 2.3 show.The R2value of 0.3210 is only slightly lower than the R2values of 0.3509 and 0.3332 for the lin-log and reciprocal models, respectively. (As noted in the text, we are able to compare R2valuesacross these models since the dependent variable is the same.)2.4 Would it make sense to standardize variables in the log-linear Cobb-Douglas productionfunction and estimate the regression using standardized variables? Why or why not? Showthe necessary calculations.This would mean standardizing the natural logs ofY,K, andL. Since the coefficients in a log-linear (or double-log) production function already represent unit-free changes, this may not benecessary. Moreover, it is easier to interpret a coefficient in a log linear model as an elasticity. Ifwe were to standardize, the coefficients would represent percentage changes in the standarddeviation units. Standardizing would reveal, however, whether capital or labor contributes more tooutput.2.5. Show that the coefficient of determination,R2, can also be obtained asthe squared correlation between actualYvalues and theYvalues estimated from theregression model (=iY), whereYis the dependent variable. Note that the coefficient ofcorrelation between variablesYandXis defined as:22iiiiy xrxywhere;iiiiyYY xXX. Also note that the mean values ofYiandYare the same,namely,Y.The estimated Y values from the regression can be rewritten as:iiXBBY21ˆ.Taking deviations from the mean, we have:iixBy2ˆ.Therefore, the squared correlation between actual Y values and the Y values estimated from theregression model is represented by:

Page 14

Solution Manual for Econometrics by Example, 2nd Edition - Page 14 preview image

Loading page image...

,)()(ˆˆ222222222222iiiiiiiiiiiiiiiixyxyxyBxyBxByxByyyyyrwhich is the coefficient of correlation. If this is squared, we obtain the coefficient of determination, orR2.2.6. Table 2.18 gives cross-country data for 83 countries on per worker GDP and CorruptionIndex for 1998.(a) Plot the index of corruption against per worker GDP.2468101201000020000300004000050000gdp_capindexFitted values(b) Based on this plot what might be an appropriate model relating corruption index to perworker GDP?A slightly nonlinear relationship may be appropriate, as it looks as though corruption may increaseat a decreasing rate with increasing GDP per capita.(c) Present the results of your analysis.Results are as follows:. regindex gdp_capgdp_cap2Source |SSdfMSNumber of obs =83-------------+------------------------------F(2,80) =126.61Model |365.66952182.83475Prob > F=0.0000Residual |115.528569801.44410711R-squared=0.7599-------------+------------------------------Adj R-squared =0.7539Total |481.198069825.86826913Root MSE=1.2017------------------------------------------------------------------------------index|Coef.Std. Err.tP>|t|[95% Conf. Interval]-------------+----------------------------------------------------------------gdp_cap |.0003182.00003938.090.000.0002399.0003964gdp_cap2 |-4.33e-091.15e-09-3.760.000-6.61e-09-2.04e-09_cons |2.845553.198321914.350.0002.4508793.240226------------------------------------------------------------------------------(d) If you find a positive relationship between corruption and per capita GDP, how would yourationalize this outcome?

Page 15

Solution Manual for Econometrics by Example, 2nd Edition - Page 15 preview image

Loading page image...

We find a perhaps unexpected positive relationship because of the way corruption is defined. Asthe Transparency International website states, “Since 1995 Transparency International haspublished each year the CPI, ranking countries on a scale from 0 (perceived to be highly corrupt) to10 (perceived to have low levels of corruption).” This means thathighervalues for the corruptionindex indicatelesscorruption. Therefore, countries with higher GDP per capita have lower levelsof corruption.2.7Table 2.19gives fertility and other related data for 64 countries.Develop suitablemodel(s) to explain child mortality, considering the various function forms and the measuresof goodness of fit discussed in the chapter.The following is a linear model explaining child mortality as a function of the female literacy rate,per capita GNP, and the total fertility rate:. regcm flr pgnp tfrSource |SSdfMSNumber of obs =64-------------+------------------------------F(3,60) =59.17Model |271802.616390600.8721Prob> F=0.0000Residual |91875.3836601531.25639R-squared=0.7474-------------+------------------------------Adj R-squared =0.7347Total |363678635772.66667Root MSE=39.131------------------------------------------------------------------------------cm |Coef.Std. Err.tP>|t|[95% Conf.Interval]-------------+----------------------------------------------------------------flr |-1.768029.2480169-7.130.000-2.264137-1.271921pgnp |-.0055112.0018782-2.930.005-.0092682-.0017542tfr |12.868644.1905333.070.0034.48632321.25095_cons |168.306732.891665.120.000102.5136234.0998------------------------------------------------------------------------------The results suggest that higher rates of female literacy and per capita GNP reduce child mortality,which one would expect. Moreover, as the fertility rate goes up, one might expect child mortalityto go up, which we see. All results are statistically significant at the 1% level, and the value of r-squared is quite high at 0.7474.2.8: Verify Equations (2.35), (2.36) and (2.37). Hint: Minimize:222()iiuYB X()ifimfiRrRru(2.35)2iiiYB Xu(2.36)1221niiiniiX YbX(2.37)

Page 16

Solution Manual for Econometrics by Example, 2nd Edition - Page 16 preview image

Loading page image...

var(b2) =221niiX(2.38)221ien(2.39)We move from equation 2.35 to 2.36 by definition. (We have definiedYasRrfandXasRmrf.)There is no intercept in this model. Because of that, we can see that, in minimizing the sum ofui2with respect toB2and setting the equation equal to zero, we obtain equation 2.37:(In this case,there is only one equation and one unknown.)22222222200)(XXYBXBXYXBXYXBYXdBudii2.9: Consider the following model without any regressors.1iiYBuHow would you obtain an estimate ofB1? What is the meaning of the estimated value?Doesit make any sense?If you have a model without regressors, B1simply gives you the average value of Y. We can seethis by using the data in Table 2.19 (from Exercise 2.7) and running a regression of with only a“dependent” variable, child mortality:. reg cmSource |SSdfMSNumber of obs =64-------------+------------------------------F(0,63) =0.00Model |00.Prob > F=.Residual |363678635772.66667R-squared=0.0000-------------+------------------------------Adj R-squared =0.0000Total |363678635772.66667Root MSE=75.978------------------------------------------------------------------------------cm |Coef.Std. Err.tP>|t|[95% Conf.Interval]-------------+----------------------------------------------------------------_cons |141.59.49725814.900.000122.5212160.4788------------------------------------------------------------------------------This is clearly not very useful and does not make much sense. B1, the intercept, gives you themean value of child mortality. Summarizing this variable would give us the same value:
Preview Mode

This document has 255 pages. Sign in to access the full document!

Study Now!

XY-Copilot AI
Unlimited Access
Secure Payment
Instant Access
24/7 Support
Document Chat

Document Details

Subject
Economics

Related Documents

View all