Page 1

Loading page image...
Page 2

Loading page image...
Page 3

Loading page image...
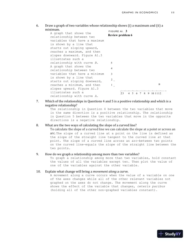
Page 4

Loading page image...
Page 5

Loading page image...
Solution Manual for Economics, 13th Edition helps you tackle difficult exercises with expert guidance.
Loading page image...
Loading page image...
Loading page image...
Loading page image...
Loading page image...