Solution Manual for Introduction to Environmental Engineering, 5th Edition

Solution Manual for Introduction to Environmental Engineering, 5th Edition is your reliable study tool, offering expert textbook breakdowns.

Violet Stevens
Contributor
4.6
37
5 months ago
Preview (16 of 515 Pages)
100%
Purchase to unlock

Page 1

Solution Manual for Introduction to Environmental Engineering, 5th Edition - Page 1 preview image

Loading page image...

SOLUTION MANUALTOACCOMPANYINTRODUCTIONTOENVIRONMENTAL ENGINEERING5THEDITIONMackenzie L. DavisMichigan State UniversityWithGlenna WoodMichigan State University

Page 2

Solution Manual for Introduction to Environmental Engineering, 5th Edition - Page 2 preview image

Loading page image...

Page 3

Solution Manual for Introduction to Environmental Engineering, 5th Edition - Page 3 preview image

Loading page image...

CE 280Name: _____________________Introduction toPID: _____________________Environmental EngineeringSAMPLE EXAM 1(Closed Book)(100 points)(If a true-false question is "false", you must provide a non-trivial correction to make ittrue to receive full credit.)1. (12)The time period for a unit hydrograph is equal to the duration of the excessrainfall.TRUEFALSE2. (12)What major element(s) of the hydrologic cycle is (are) missing from the followinglist?1. Groundwater Flow2. Evaporation3. Transpiration4. Precipitation3. (12)The time of concentration is particular to the given geometry and surfacecomposition of watershed regardless of the intensity of the rainfall.TRUEFALSE4. (12)What type of water treatment plant is normally used for a ground water supply?5. (12)The units for the rational formula are: Q = m3/s, C = no units, I = mm/h, A = ha.TRUEFALSE6. (16)Sketch an artesian aquifer with a flowing artesian well. Identify aquiclude,confining layer, recharge area, and piezometric surface.7. (12)The hydrologic year is from September 30 to October 1.TRUEFALSE8. (12)What does it mean that a drought has a recurrence interval of 12 years?

Page 4

Solution Manual for Introduction to Environmental Engineering, 5th Edition - Page 4 preview image

Loading page image...

CE 280Name: ___________________Introduction toPID: ____________________Environmental EngineeringSAMPLE EXAM 1(Open Book)(50 points)(Failure to state units on final answer will result in an automatic reduction of one point).1. (25)Apply the unit hydrograph distribution to the following observed rainfall.Compute the compound runoff.Show all work.DayRain, cmAbstractions, cmUH Ord., m3/s · cm10.800.800.4620.500.00.2330.00.00.312. (10)Compute the first two duration values for an I-D-F curve for an 8 year storm fromthe following 86 year record.Show all work.Duration, MinNo. Times ≥ Stated Intensitymm/h1.01.251.55025176601693807423. (15)Determine the size reservoir (in m3) for the following monthly flows:MonthInflow, m3/sDischarge, m3/sAug1.982.0Sep1.952.0Oct3.092.0

Page 5

Solution Manual for Introduction to Environmental Engineering, 5th Edition - Page 5 preview image

Loading page image...

CE 280Name:_____________Introduction toPID:_________Environmental EngineeringSAMPLE EXAM NO. 2CLOSED BOOK(Point Value = 100)(If a true-false question is “false,” you must provide a non-trivial correction to make it true to receive fullcredit.)1.(16)Write the equation(s) for removal of hardness caused by Mg when nobicarbonate is available using lime or lime and soda ash as required.2.(12)What percent of particles having a vsof 0.25 cm/s will be removed in anupflow clarifier if vois 0.50 cm/s?3.(12)The bacillus group of microorganisms is used as an indicator of watercontamination.TrueFalse4.(12)Sketch the pumping curve which shows the interception of a barrier by thepiezometric surface at a drawdown of 10 m after 15,000 minutes ofpumping. Label the axes and point of interception. Draw the curve from1.0 minutes to 100,000 minutes. (Use a separate piece of paper.)5.(12)Sketch the effects of increasing valence on colloid charge reduction. Labelthe axes and curves. (Use a separate piece of paper.)6.(12)Define palatable as it pertains to drinking water.7.(12)Define alkalinity in terms of its chemical components.8.(12)Cadmium is regulated because of:estheticseconomicstoxicity(Circle correct answer.)

Page 6

Solution Manual for Introduction to Environmental Engineering, 5th Edition - Page 6 preview image

Loading page image...

CE 280Name:_____________Introduction toPID:_________Environmental EngineeringSAMPLE EXAM NO. 2OPEN BOOK(Point Value = 50)(Failure to state units on final answer will result in an automatic reduction of one point.)1.(15)What amount of lime and/or soda ash, in mg/L as CaCO3, is required tosoften the following water to 80.0 mg/L hardness as CaCO3.Show allwork.CompoundConcentration, mg/L as CaCO3CO221.3Ca103.0Mg137.0HCO3329.8SO4158.82.(20)If a fully penetrating well in a 30.00 thick artesian aquifer pumping at a rateof 0.0180 m3/s for 1863 days causes a drawdown of 5.25 m at anobservation well 45.45 m from the pumping well, how much drawdown willoccur at an observation well 90.90 m away? The original piezometricsurface was 50.13 m above the bottom confining layer. The aquifermaterial is fractured rock.Show all work. Report answer to two decimalplaces.3.(15)Calculate the sedimentation tank surface area whose loading is 12.00 m3/d.m2for a flowrate of 0.0400 m3/s. Find the detention time (in hours) if thedepth of the tank is 3.00 m.Show all work.

Page 7

Solution Manual for Introduction to Environmental Engineering, 5th Edition - Page 7 preview image

Loading page image...

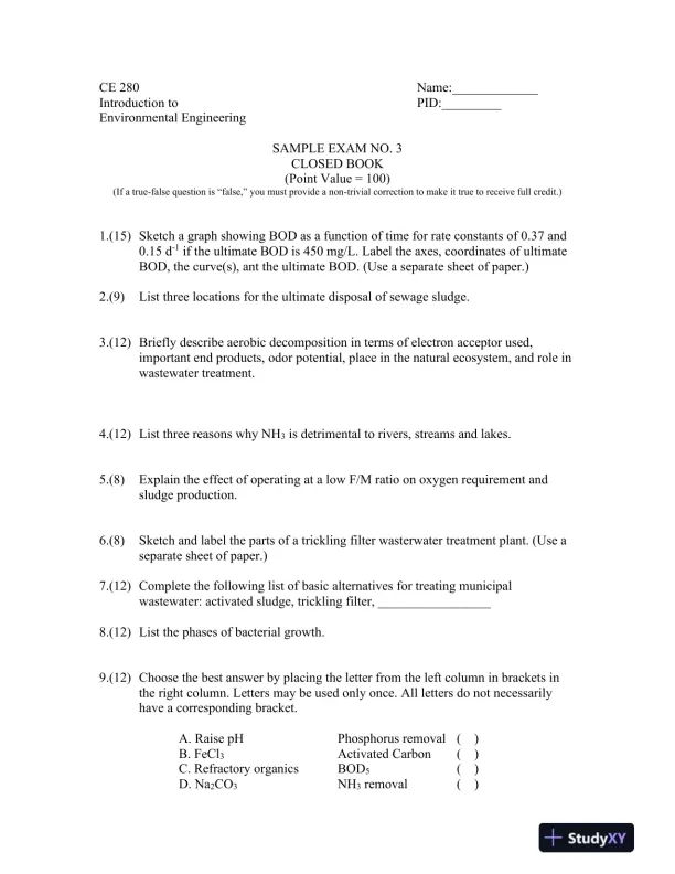
CE 280Name:_____________Introduction toPID:_________Environmental EngineeringSAMPLE EXAM NO. 3CLOSED BOOK(Point Value = 100)(If a true-false question is “false,” you must provide a non-trivial correction to make it true to receive full credit.)1.(15)Sketch a graph showing BOD as a function of time for rate constants of 0.37 and0.15 d-1if the ultimate BOD is 450 mg/L. Label the axes, coordinates of ultimateBOD, the curve(s), ant the ultimate BOD. (Use a separate sheet of paper.)2.(9)List three locations for the ultimate disposal of sewage sludge.3.(12)Briefly describe aerobic decomposition in terms of electron acceptor used,important end products, odor potential, place in the natural ecosystem, and role inwastewater treatment.4.(12)List three reasons why NH3is detrimental to rivers, streams and lakes.5.(8)Explain the effect of operating at a low F/M ratio on oxygen requirement andsludge production.6.(8)Sketch and label the parts of a trickling filter wasterwater treatment plant. (Use aseparate sheet of paper.)7.(12)Complete the following list of basic alternatives for treating municipalwastewater: activated sludge, trickling filter, _________________8.(12)List the phases of bacterial growth.9.(12)Choose the best answer by placing the letter from the left column in brackets inthe right column. Letters may be used only once. All letters do not necessarilyhave a corresponding bracket.A. Raise pHPhosphorus removal()B. FeCl3Activated Carbon()C. Refractory organicsBOD5()D. Na2CO3NH3removal()

Page 8

Solution Manual for Introduction to Environmental Engineering, 5th Edition - Page 8 preview image

Loading page image...

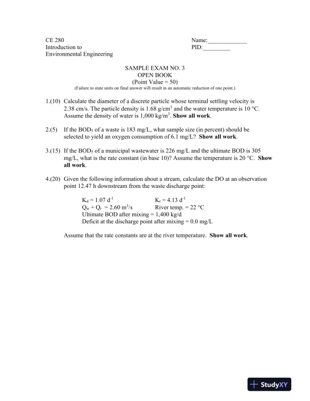
CE 280Name:_____________Introduction toPID:_________Environmental EngineeringSAMPLE EXAM NO. 3OPEN BOOK(Point Value = 50)(Failure to state units on final answer will result in an automatic reduction of one point.)1.(10)Calculate the diameter of a discrete particle whose terminal settling velocity is2.38 cm/s. The particle density is 1.68 g/cm3and the water temperature is 10C.Assume the density of water is 1,000 kg/m3.Show all work.2.(5)If the BOD5of a waste is 183 mg/L, what sample size (in percent) should beselected to yield an oxygen consumption of 6.1 mg/L?Show all work.3.(15)If the BOD5of a municipal wastewater is 226 mg/L and the ultimate BOD is 305mg/L, what is the rate constant (in base 10)? Assume the temperature is 20C.Showall work.4.(20)Given the following information about a stream, calculate the DO at an observationpoint 12.47 h downstreamfrom the waste discharge point:Kd= 1.07 d-1Kr= 4.13 d-1Qw+ Qr= 2.60 m3/sRiver temp. = 22CUltimate BOD after mixing = 1,400 kg/dDeficit at the discharge point after mixing = 0.0 mg/LAssume that the rate constants are at the river temperature.Show all work.

Page 9

Solution Manual for Introduction to Environmental Engineering, 5th Edition - Page 9 preview image

Loading page image...

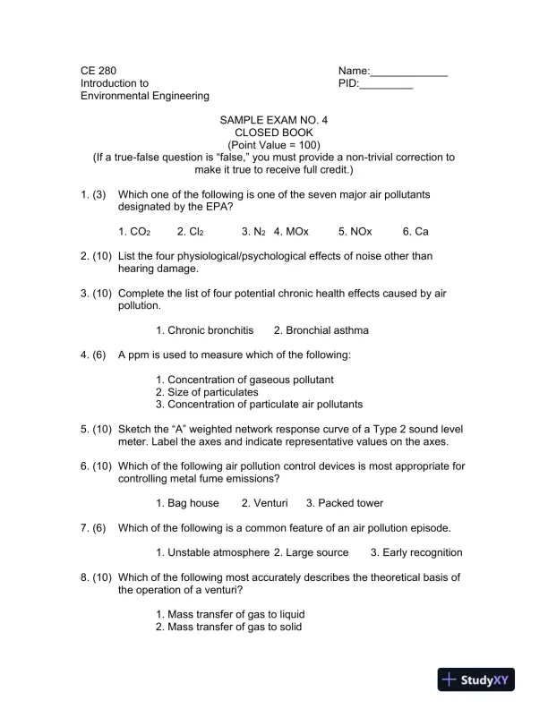
CE 280Name:_____________Introduction toPID:_________Environmental EngineeringSAMPLE EXAM NO. 4CLOSED BOOK(Point Value = 100)(If a true-false question is “false,” you must provide a non-trivial correction tomake it true to receive full credit.)1. (3)Which one of the following is one of the seven major air pollutantsdesignated by the EPA?1. CO22. Cl23. N24. MOx5. NOx6. Ca2. (10)List the four physiological/psychological effects of noise other thanhearing damage.3. (10)Complete the list of four potential chronic health effects caused by airpollution.1. Chronic bronchitis2. Bronchial asthma4. (6)A ppm is used to measure which of the following:1. Concentration of gaseous pollutant2. Size of particulates3. Concentration of particulate air pollutants5. (10)Sketch the “A” weighted network response curve of a Type 2 sound levelmeter. Label the axes and indicate representative values on the axes.6. (10)Which of the following air pollution control devices is most appropriate forcontrolling metal fume emissions?1. Bag house2. Venturi3. Packed tower7. (6)Which of the following is a common feature of an air pollution episode.1. Unstable atmosphere2. Large source3. Early recognition8. (10)Which of the following most accurately describes the theoretical basis ofthe operation of a venturi?1. Mass transfer of gas to liquid2. Mass transfer of gas to solid

Page 10

Solution Manual for Introduction to Environmental Engineering, 5th Edition - Page 10 preview image

Loading page image...

3. Centrifugal force moves particles to wall4. Screening and inertial impaction5. Impingement of water droplet6. Ions attach to particles9. (8)A land breeze is the result of a more rapid cooling of the land surfacethan the water surface.TrueFalse10. (7)Sound pressure level is defined as follows:SPL = 20 log (p/po)TrueFalse11. (10)Given the following vertical temperature profile, compute the lapse rateand give the stability of the atmosphere. Show all work.Z, mT,_C2.005.0050.004.5212. (10)Match the following by placing the letter from the left column in the mostappropriate bracket in the right column. Each letter may be used onlyonce and all brackets may not be appropriate.A. Continuous noise( ) Electric sawB. Intermittent noise( ) Air conditionerC. Impulse noise( ) Alarm clock

Page 11

Solution Manual for Introduction to Environmental Engineering, 5th Edition - Page 11 preview image

Loading page image...

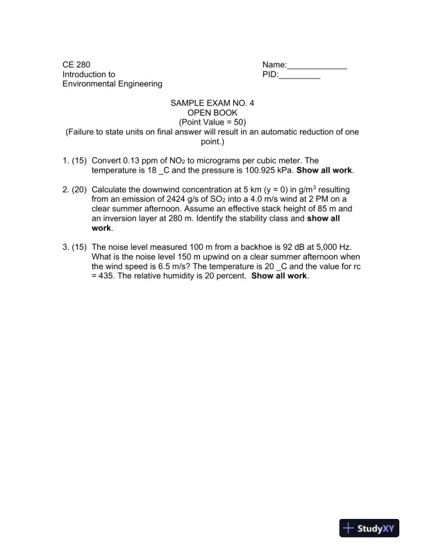
CE 280Name:_____________Introduction toPID:_________Environmental EngineeringSAMPLE EXAM NO. 4OPEN BOOK(Point Value = 50)(Failure to state units on final answer will result in an automatic reduction of onepoint.)1. (15)Convert 0.13 ppm of NO2to micrograms per cubic meter. Thetemperature is 18 _C and the pressure is 100.925 kPa.Show all work.2. (20)Calculate the downwind concentration at 5 km (y = 0) in g/m3resultingfrom an emission of 2424 g/s of SO2into a 4.0 m/s wind at 2 PM on aclear summer afternoon. Assume an effective stack height of 85 m andan inversion layer at 280 m. Identify the stability class andshow allwork.3. (15)The noise level measured 100 m from a backhoe is 92 dB at 5,000 Hz.What is the noise level 150 m upwind on a clear summer afternoon whenthe wind speed is 6.5 m/s? The temperature is 20 _C and the value for rc= 435. The relative humidity is 20 percent.Show all work.

Page 12

Solution Manual for Introduction to Environmental Engineering, 5th Edition - Page 12 preview image

Loading page image...

1-1CHAPTER 1SOLUTIONS1-1Total daily withdrawalGiven: Population in 2000 = 281,421,906Solution:a. Using the total daily withdrawal of 5,400 Lpcd:(281,421,906 people)(5,400 Lpcd) = 1.52 x 1012L/db. Converting to m3dm1052.1mL1000dL1052.1393121-2Estimate per capita withdrawal for public supplyGiven: Population data from 1950 to 2000 and corresponding public supply withdrawalSolution:a. Use a spreadsheet to estimate the withdrawalProblem 1-2Intro. To ENE 5th EditionPopulationWithdrawal,m3/dYearWithdrawal, Lpcd1513257985.30E+071950350.241793231757.95E+071960443.332033020311.02E+081970501.722265422031.29E+081980569.432487098731.46E+081990587.032814219061.64E+082000582.75

Page 13

Solution Manual for Introduction to Environmental Engineering, 5th Edition - Page 13 preview image

Loading page image...

1-2Figure S-1-2: Per capita daily water withdrawal1-3Additional average daily water production requiredGiven: 280 houses and, from text: 1,320 L/d - houseSolution:(280 houses)(1,320 L/d - house) = 3.7 x 105L/d0.0050.00100.00150.00200.00250.00300.00350.00400.00450.00500.00550.00600.00650.0019401950196019701980199020002010Liters per capita per dayYearProblem 1-2:Per Capita Daily WaterWithdrawal for Public SupplyEstimated = 575 Lpcd

Page 14

Solution Manual for Introduction to Environmental Engineering, 5th Edition - Page 14 preview image

Loading page image...

1-31-4Additional average water production required with low-flush toiletsGiven: 320 houses that have low flush valves that reduce water consumption by 14%and, from text, 1,320 L/d - houseSolution:Additional demand = (320 houses)(1,320 L/d - house)(10.14) = 3.18 x 105L/d1-5Repeat Prob. 1-3 for peak demandGiven: 280 metered houses, AWWA averageSolution:a. From text: peak hour = 5.3(avg. day)(5.3)(280 houses)(1,320 L/d - house) = 1.96 x 106or 2 x 106L/d at the peak hour1-6Water lost (in liters) in one yearGiven: One drop per second, 0.150 mL per dropSolution:(0.150 mL/s)(86,400 s/d)(365 d/y)(1 x 10-3L/mL) = 4,730 L/y1-7Monthly cost of not repairing valveGiven: Valves deliver 130.0 L/min, Water cost = $0.45 per cubic meterSolution:a. Assuming 30 d/mo(130.0 L/min)(1440 min/d)(30 d/mo)(1 x 10-3m3/L) = 5,616 m3/mo(5,616 m3/mo)($0.45/m3) = $2,527.20 or $2,530/mo1-8Value of water lostGiven: Year 2000 data from Prob. 1-2, 15% water loss, cost of water = $0.45/m3Solution:

Page 15

Solution Manual for Introduction to Environmental Engineering, 5th Edition - Page 15 preview image

Loading page image...

1-4a. Amount of water lost(1.6 x 108m3/d)(0.15) = 2.4 x 107m3/db. Value(2.4 x 107m3/d)($0.45/m3) = $1.08 x 107or $1.1 x 107/d1-9Cost of bottled waterGiven: 0.5 L bottle of water costs $1.00Solution:a. Convert L to m30005.0mL1000L5.03or 5.0 x 10-4m3b. Cost334102$m100.500.1$or $2000/m31-10Daily per capita withdrawal for South CarolinaGiven: USGS circular 1268 at /usgs.govSolution:a. From the web siteDomestic withdrawal for SC = 63.5 x 106gal/dPopulation = 4,010 x 103b. Per capita94.59Lgal2642.0people104010dgal105.6336or Lpcd

Page 16

Solution Manual for Introduction to Environmental Engineering, 5th Edition - Page 16 preview image

Loading page image...

1-51-11Lowest domestic withdrawal in the worldGiven: Pacific Institute web site (www.worldwater.org/table2.html)Solution:a. From the web site column labeled “Domestic Use” in m3/p/yGambia and Haiti tied at 1 m3/personyb. Convert to Lpcd74.2yd365mL1000ypersonm133or 3 Lpcd
Preview Mode

This document has 515 pages. Sign in to access the full document!

Study Now!

XY-Copilot AI
Unlimited Access
Secure Payment
Instant Access
24/7 Support
Document Chat

Document Details

Related Documents

View all