Solution Manual for Mathematical Statistics with Applications, 8th Edition

Struggling with textbook problems? Solution Manual for Mathematical Statistics with Applications, 8th Edition offers a clear breakdown of every exercise for easy understanding.

Michael Davis
Contributor
4.7
32
5 months ago
Preview (16 of 261 Pages)
100%
Purchase to unlock

Page 1

Solution Manual for Mathematical Statistics with Applications, 8th Edition - Page 1 preview image

Loading page image...

SOLUTIONSMANUALJOHNE.FREUNDSMATHEMATICALSTATISTICSWITHAPPLICATIONSEIGHTHEDITIONIrwin MillerMaryless Miller

Page 2

Solution Manual for Mathematical Statistics with Applications, 8th Edition - Page 2 preview image

Loading page image...

Page 3

Solution Manual for Mathematical Statistics with Applications, 8th Edition - Page 3 preview image

Loading page image...

iiiTable of ContentsChapter 1..............................................................................................................................1Chapter 2..............................................................................................................................8Chapter 3............................................................................................................................23Chapter 4.............................................................................................................................46Chapter 5.............................................................................................................................61Chapter 6.............................................................................................................................80Chapter 7............................................................................................................................95Chapter 8..........................................................................................................................112Chapter 9...........................................................................................................................130Chapter 10.......................................................................................................................139Chapter 11.......................................................................................................................162Chapter 12.......................................................................................................................171Chapter 13.......................................................................................................................182Chapter 14.......................................................................................................................199Chapter 15.......................................................................................................................226Chapter 16.......................................................................................................................245Appendix A......................................................................................................................258

Page 4

Solution Manual for Mathematical Statistics with Applications, 8th Edition - Page 4 preview image

Loading page image...

1Chapter 11.1(a)121niin(b)0 1 2 30 1 2 30 1 20 1131.211221211nniin inn n1.3(a)3004n3203n3014n3212n3023n3221n3032n3302n3104n3311n3113n3122n3131n(b)443...21321.412212311nnijnn n n

Page 5

Solution Manual for Mathematical Statistics with Applications, 8th Edition - Page 5 preview image

Loading page image...

2Mathematical Statistics, 8E1.5(b)6, 20, and 70“2 out of 3”m= 21222(12)611   “3 out of 5”m= 323422(136)20222“4 out of 7”m= 4345622(141020)703333      1.6(a)10101010!0(7.92665)(3.678797)(7.92665)(454,002.49)3,598,719eπ% error3.62883.5987 1000.83%3.628812121212!24(8.683215)(4.41455)475,683,224eπ4.78004.7568% error1000.69%4.7900(b)52133952525213393939521045252!1313! 39!133926781344639 billion19.51313319.53eeeπππππ1.7Using Stirling’s formula in22 !!!nnnnnyields22222241222nnnnnnnnnneneπππππ1.8rnand312= 1,7281.915317and2155rnr1.10Substituternforrinto result of 1.911514and6532rnnrrnrn

Page 6

Solution Manual for Mathematical Statistics with Applications, 8th Edition - Page 6 preview image

Loading page image...

Chapter 131.11(b)Seventh row is 1, 6, 15, 20, 15, 6, 1Eighth row is 1, 7, 21, 35, 35, 21, 7, 166542232456()61520156xyxx yx yx yx yxyy7765243342567()7213535217xyxx yx yx yx yx yxyy1.14(a)Setx= 1 andy= 1(b)Setx= 1 andy=1(c)Setx= 1 andy=a11.19(a)113515222224384       and( 3)( 4)( 5)106 (b)12152 14231111111312 124224222411351264832 1286451251257122.23512         11422.2305121.20(a)( 1)( 2)...()( 1)!rrr(b)()(1)...(1)(1)...(1)( 1)!!1(1)...(1)( 1)( 1)!rrrnnnnrn nnrrrrnrnrnnrr  1.218!8 7 6 5 45602! 3! 3!2 61.223239!9 8 7 6 5 423( 4)8 9 6423,224,3203! 2! 3!12  

Page 7

Solution Manual for Mathematical Statistics with Applications, 8th Edition - Page 7 preview image

Loading page image...

4Mathematical Statistics, 8E1.24Note: If there are 0 turn-ons the first night, 6 turn-ons in four nights can only occur if there are 2turn-ons on each of the subsequent three nights. Thus, we need to show only that part of the treefollowing this event.

Page 8

Solution Manual for Mathematical Statistics with Applications, 8th Edition - Page 8 preview image

Loading page image...

Chapter 151.251.26(a)(b)1.27(a)5(b)41.281.291.30(a)6 530;(b)6 636;1.31(a)6;(b)6 530;(c)5 420first one fixed;(d)6302056

Page 9

Solution Manual for Mathematical Statistics with Applications, 8th Edition - Page 9 preview image

Loading page image...

6Mathematical Statistics, 8E1.32(a)4 5 240;(b)5 6 3901.33(a)5 420;(b)5 4 3601.3415314,348,9071.3515 141052 11.36(a)10 9 8 75040;(b)5040210241.37(a)14 1391;2 1(b)14 13 123643 2 11.386!7201.396!720902! 2! 2!81.405!120and1202 4!721.417!50401.42(a)5!120;(b)5!602!1.4310!362880050,4003! 3! 2!72and8!4032033603! 2!121.4410!36288001,2605! 4!120 241.458!403202803! 4!6 241.46(a)2077,5207;(b)20184,75510(c)2020202011401902011351171819201.47(a)7212;(b)462;(c)3 412

Page 10

Solution Manual for Mathematical Statistics with Applications, 8th Edition - Page 10 preview image

Loading page image...

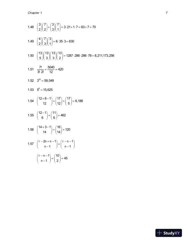
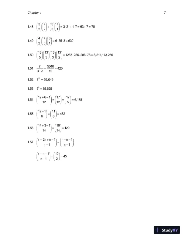
Chapter 171.4837373 211 7637702231         1.494736 35 3630231          1.50131313131287 286 286 788,211,173,2565332         1.517!50404203! 2!121.5210359,0491.535515,6251.54126117176,188121251.5512111462661.5614311612014141.5721111rnnrnnn1104512rnn

Page 11

Solution Manual for Mathematical Statistics with Applications, 8th Edition - Page 11 preview image

Loading page image...

139Chapter 1010.1()iiiiiiEa xa E xaaμμ 11niia10.211221212ˆˆ[],1E kkkkkkθθθθθ10.3(21)!( )( )( )( )!!mmxxmh xfxdxfxfxdxmm(1/2)(1/2)(21)!( )1!!(21)!111!!22mmxxmmmh xdxdxmmmxxmm mθθθθ 11( )6(22h xxxθθ   (1/2)(1/2)11( )622E xxxx dxθθθθ   letu=12xθ1016(1)2uuu duθθ10.42//6()18xxh xeeθθ2//02/3 /006[]1665biased6xxxxE xx eedxx edxx edxθθθθθθθθUse gamma integrals.

Page 12

Solution Manual for Mathematical Statistics with Applications, 8th Edition - Page 12 preview image

Loading page image...

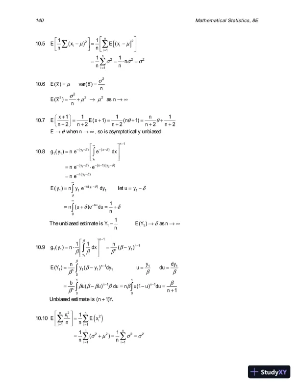
140Mathematical Statistics, 8E10.5221222111()(11niiiniExExnnnnnμμσσσ10.6()E xμ2var()xnσ2222()E xnσμμasn 10.71111(1)(1)22222xnEE xnnnnnnθθwhenEnθ , so is asymptotically unbiased10.8111211()()11()(1)()()()nyxyynyn ygyn eedxn een eδδδδδ1()11110()let1()n ynuE ynyedyuynuedunδδδδδThe unbiased estimate is11Yn1()asE Ynδ 10.911111111()()nnnyngyndxyβββββ11111110111100()()()(1)1nnnnnydynE YyydyudubuudunuudunββββββββββββUnbiased estimate is1(1)nY10.102211222211111()nniiiinniixEE xnnnnσμσσ

Page 13

Solution Manual for Mathematical Statistics with Applications, 8th Edition - Page 13 preview image

Loading page image...

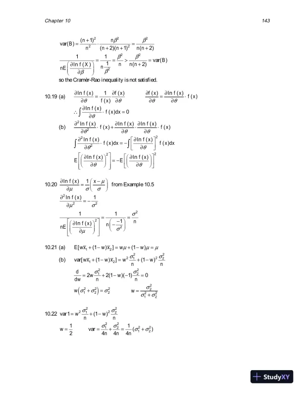
Chapter 1014110.1122211( )()1(1)(1) (1)(1)biasedxxEnE xE xnnnnnnnnnθθθθθθθθ10.12(a)1nvalues beforenyin11nynways.11()nnynfyknfor,,nynk(b)111()1(1)see Exercise 1.15 or Theorem 1.11, respectively1nnnkknnnynynyyknnnE Yykkknnnnnn kn 11(1)11QED1nnnn kEYknnn10.13222ˆˆˆˆ()var( )( )var( )EEθθθθθ22()since var( )0Eθθθ10.141( ;)(1)xxfxθθθ( )E xθ2()E xθln( ;)ln(1)ln(1)fxxxθθθln( ;)11(1)fxxxxθθθθθθθ2222ln( ;)11()(1)(1)fxEE xθθθθθθθ1(1)varxn Enuθθwhenxis binomial random variable.xnis minimum variance estimatorxnEnnθθunbiased

Page 14

Solution Manual for Mathematical Statistics with Applications, 8th Edition - Page 14 preview image

Loading page image...

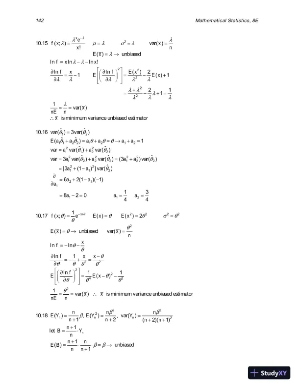
142Mathematical Statistics, 8E10.15( ;)!xefxxλλλμλ2σλvar()xnλ()unbiasedE xλlnlnln!fxxλλln1fxλλ22222ln()2( )1211fE xEE xλλλλλλλλλ1var()xnEnλxis minimum variance unbiased estimator10.1612ˆˆvar()3var()θθ11221212ˆˆ()1E aaaaaaθθθθθ22122ˆˆvarvar()var()iaaθθ222222212222112ˆˆˆvar3var()var()(3) var()ˆ[3(1) ]var()iaaaaaaθθθθ21111262(1)( 1)1382044aaaaaa10.17/1( ;)xfxeθθθ( )E xθ22()2E xθ22σθ()unbiasedE xθ2var()xnθlnlnxfθθ 22ln1fxxθθθθθ 2242ln11()fEE xθθθθ21var()xxnEnθis minimum variance unbiased estimator10.182222(),(), var()12(2)(1)nnnnnnE YE YYnnnnβββlet1nnBYn1()unbiased1nnE Bnnββ

Page 15

Solution Manual for Mathematical Statistics with Applications, 8th Edition - Page 15 preview image

Loading page image...

Chapter 1014322222(1)var()(2)(2)(1)nnBn nnnnββ22211var()1(2)ln()Bnn nfXnnEββββso the Cramèr-Rao inequality is not satisfied.10.19(a)ln( )1( )( )fxfxfxθθ( )ln( )( )fxfxfxθθln( )( )0fxfx dxθ(b)22ln( )ln( )ln( )( )( )fxfxfxfxfxθθθ222ln( )ln( )( )( )fxfxfx dxfx dxθθ 22ln( )ln( )fxfxEEθθ 10.20ln( )1fxxμμσσfrom Example 10.5222ln( )1fxμσ 222111ln( )nfxnnEσσμ10.21(a)12[(1)](1)E wxw xwwμμμ(b)22221212var[(1)](1)wxw xwwnnσσ221222(1)( 1)0dwwdwnnσσ222122wσσσ222212wσσσ10.22222212var1(1)wwnnσσ12w222212121var()444nnnσσσσ

Page 16

Solution Manual for Mathematical Statistics with Applications, 8th Edition - Page 16 preview image

Loading page image...

144Mathematical Statistics, 8E2222222112222212122222221221122222222121212var 2()nnnnσσσσσσσσσ σσσσ σσσσσσσ2212222221212222222121212221222212()4efficiency1()()44()nnnnσσσσσ σσσσσσσσ σσσ10.23222212var(1)wwnnσσ221222(1)0dwwdwnnσσ121wwnn112nwnn10.24For12w22212121111var444nnnnσσσFor112nwnn222212121122221221212var()()nnnnnnnnnnnnnnσσσσEfficiency =212122212124()114n nnnnnnnσσ10.25222212321113var4164168xxxσσσσ2var()3xσEfficiency =2283398σσ
Preview Mode

This document has 261 pages. Sign in to access the full document!

Study Now!

XY-Copilot AI
Unlimited Access
Secure Payment
Instant Access
24/7 Support
Document Chat

Document Details

Subject
Statistics

Related Documents

View all