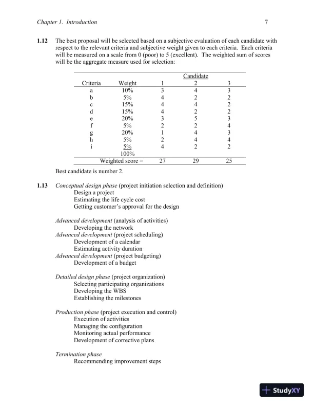
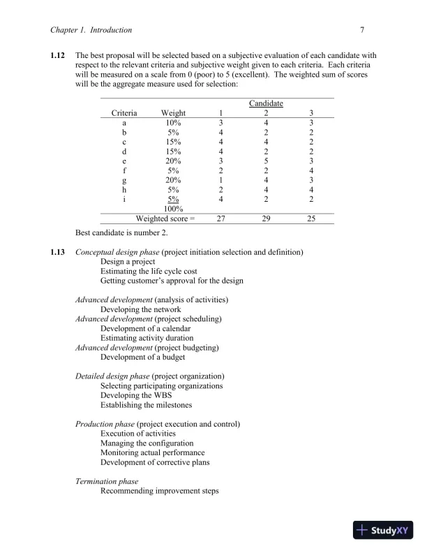
Page 1

Loading page ...
Looking for textbook solutions? Solution Manual for Project Management: Processes, Methodologies, and Economics, 3rd Edition has got you covered with detailed answers to all your textbook questions.

Loading page ...
This document has 292 pages. Sign in to access the full document!