Advanced Topics in Probability and Stochastic Processes

A solved assignment covering advanced concepts in probability and stochastic processes.

Ethan Wilson
Contributor
4.0
57
5 months ago
Preview (3 of 8 Pages)
100%
Purchase to unlock

Page 1

Advanced Topics in Probability and Stochastic Processes - Page 1 preview image

Loading page image...

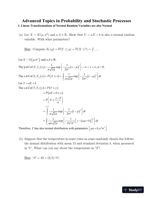
Advanced Topics in Probability and Stochastic Processes1. Linear Transformations of Normal Random Variables are also Normal()()()()()()()()()()2222222Let~,and,11The p.d.f of,exp,,0.2211The c.d.f of,exp22LetThe c.d.f of,11exp22XxXYXNa bXfxxxX FxPXxtdtYaXbY FyP YyP aXbyybPXat −=−  ===+==+==()2222211exp22Therefore,has also normal distribution with parameters,.ybatdtyabdyaaYab a−−=++

Page 2

Advanced Topics in Probability and Stochastic Processes - Page 2 preview image

Loading page image...

Page 3

Advanced Topics in Probability and Stochastic Processes - Page 3 preview image

Loading page image...

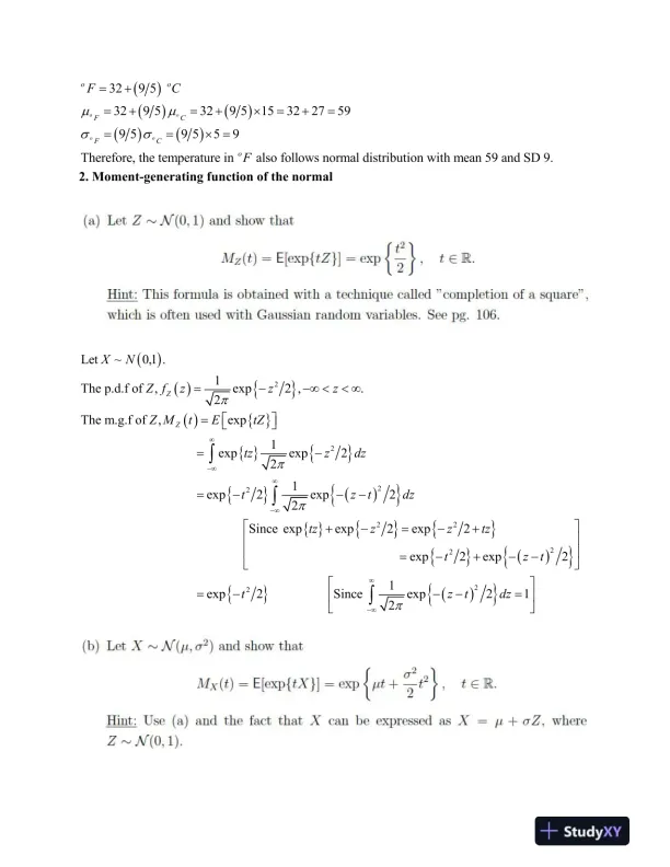
()()()()()329 5329 5329 5153227599 59 559Therefore, the temperature inalso follows normal distribution with mean 59 and SD 9.ooooooFCFCoFCF=+=+=+=+====2. Moment-generating function of the normal()()( )()()222222222Let~0,11The p.d.f of,exp2 ,.2The m.g.f of,exp1expexp221exp2exp22Since expexp2exp2exp2exp2exp2ZZXNZfzzzZ MtEtZtzzdztztdztzzztztztt−−=−  ===+=+=+=()21Sinceexp212ztdz−=
Preview Mode

This document has 8 pages. Sign in to access the full document!

Study Now!

XY-Copilot AI
Unlimited Access
Secure Payment
Instant Access
24/7 Support
Document Chat

Document Details

Related Documents

View all