Solution Manual for Calculus For Biology and Medicine, 4th Edition

Solve textbook problems with ease using Solution Manual for Calculus For Biology and Medicine, 4th Edition, featuring detailed solutions and step-by-step guides.

Samuel Clark
Contributor
4.1
59
5 months ago
Preview (16 of 1026 Pages)
100%
Purchase to unlock

Page 1

Solution Manual for Calculus For Biology and Medicine, 4th Edition - Page 1 preview image

Loading page image...

SOLUTIONSMANUALROGERLIPSETTTO ACCOMPANYCALCULUS FORBIOLOGY ANDMEDICINEFOURTHEDITIONClaudia NeuhauserUniversity of MinnesotaMarcus L. RoperUniversity of California—Los Angeles

Page 2

Solution Manual for Calculus For Biology and Medicine, 4th Edition - Page 2 preview image

Loading page image...

Page 3

Solution Manual for Calculus For Biology and Medicine, 4th Edition - Page 3 preview image

Loading page image...

Contents1Preview and Review51.1Precalculus Skills Diagnostic Test . . . . . . . . . . . . . . . . . . . . . . . . . . . . . . . .51.2Preliminaries. . . . . . . . . . . . . . . . . . . . . . . . . . . . . . . . . . . . . . . . . . .91.3Elementary Functions. . . . . . . . . . . . . . . . . . . . . . . . . . . . . . . . . . . . . .231.4Graphing. . . . . . . . . . . . . . . . . . . . . . . . . . . . . . . . . . . . . . . . . . . . .50Chapter 1 Review. . . . . . . . . . . . . . . . . . . . . . . . . . . . . . . . . . . . . . . . . . .782Discrete-Time Models, Sequences, and Difference Equations872.1Exponential Growth and Decay . . . . . . . . . . . . . . . . . . . . . . . . . . . . . . . . .872.2Sequences. . . . . . . . . . . . . . . . . . . . . . . . . . . . . . . . . . . . . . . . . . . . .972.3Modeling with Recursion Relations . . . . . . . . . . . . . . . . . . . . . . . . . . . . . . .113Chapter 2 Review. . . . . . . . . . . . . . . . . . . . . . . . . . . . . . . . . . . . . . . . . . .1263Limits and Continuity1333.1Limits. . . . . . . . . . . . . . . . . . . . . . . . . . . . . . . . . . . . . . . . . . . . . . .1333.2Continuity . . . . . . . . . . . . . . . . . . . . . . . . . . . . . . . . . . . . . . . . . . . . .1473.3Limits at Infinity . . . . . . . . . . . . . . . . . . . . . . . . . . . . . . . . . . . . . . . . .1563.4Trigonometric Limits and the Sandwich Theorem . . . . . . . . . . . . . . . . . . . . . . .1593.5Properties of Continuous Functions . . . . . . . . . . . . . . . . . . . . . . . . . . . . . . .1643.6A Formal Definition of Limits (Optional). . . . . . . . . . . . . . . . . . . . . . . . . . .169Chapter 3 Review. . . . . . . . . . . . . . . . . . . . . . . . . . . . . . . . . . . . . . . . . . .1734Differentiation1854.1Formal Definition of the Derivative . . . . . . . . . . . . . . . . . . . . . . . . . . . . . . .1854.2Properties of the Derivative. . . . . . . . . . . . . . . . . . . . . . . . . . . . . . . . . . .1914.3The Power Rule, the Basic Rules of Differentiation, and the Derivatives of Polynomials . .2014.4The Product and Quotient Rules, and the Derivatives of Rational and Power Functions.2144.5The Chain Rule . . . . . . . . . . . . . . . . . . . . . . . . . . . . . . . . . . . . . . . . . .2244.6Implicit Functions and Implicit Differentiation. . . . . . . . . . . . . . . . . . . . . . . .2324.7Higher Derivatives. . . . . . . . . . . . . . . . . . . . . . . . . . . . . . . . . . . . . . . .2394.8Derivatives of Trigonometric Functions . . . . . . . . . . . . . . . . . . . . . . . . . . . . .2424.9Derivatives of Exponential Functions . . . . . . . . . . . . . . . . . . . . . . . . . . . . . .2474.10 Derivatives of Inverse Functions, Logarithmic Functions, and the Inverse Tangent Function 2544.11 Linear Approximation and Error Propagation . . . . . . . . . . . . . . . . . . . . . . . . .262Chapter 4 Review. . . . . . . . . . . . . . . . . . . . . . . . . . . . . . . . . . . . . . . . . . .266

Page 4

Solution Manual for Calculus For Biology and Medicine, 4th Edition - Page 4 preview image

Loading page image...

2CONTENTS5Applications of Differentiation2755.1Extrema and the Mean-Value Theorem . . . . . . . . . . . . . . . . . . . . . . . . . . . . .2755.2Monotonicity and Concavity . . . . . . . . . . . . . . . . . . . . . . . . . . . . . . . . . . .2885.3Extrema and Inflection Points . . . . . . . . . . . . . . . . . . . . . . . . . . . . . . . . . .3025.4Optimization. . . . . . . . . . . . . . . . . . . . . . . . . . . . . . . . . . . . . . . . . . .3085.5L’Hˆopital’s Rule. . . . . . . . . . . . . . . . . . . . . . . . . . . . . . . . . . . . . . . . .3205.6Graphing and Asymptotes . . . . . . . . . . . . . . . . . . . . . . . . . . . . . . . . . . . .3315.7Recurrence Equations: Stability . . . . . . . . . . . . . . . . . . . . . . . . . . . . . . . . .3515.8Numerical Methods: The Newton-Raphson Method . . . . . . . . . . . . . . . . . . . . . .3625.9Modeling Biological Systems Using Differential Equations. . . . . . . . . . . . . . . . . .3695.10 Antiderivatives. . . . . . . . . . . . . . . . . . . . . . . . . . . . . . . . . . . . . . . . . .375Chapter 5 Review. . . . . . . . . . . . . . . . . . . . . . . . . . . . . . . . . . . . . . . . . . .3866Integration3996.1The Definite Integral . . . . . . . . . . . . . . . . . . . . . . . . . . . . . . . . . . . . . . .3996.2The Fundamental Theorem of Calculus . . . . . . . . . . . . . . . . . . . . . . . . . . . . .4186.3Applications of Integration. . . . . . . . . . . . . . . . . . . . . . . . . . . . . . . . . . .430Chapter 6 Review. . . . . . . . . . . . . . . . . . . . . . . . . . . . . . . . . . . . . . . . . . .4577Integration Techniques and Computational Methods4657.1The Substitution Rule. . . . . . . . . . . . . . . . . . . . . . . . . . . . . . . . . . . . . .4657.2Integration by Parts and Practicing Integration . . . . . . . . . . . . . . . . . . . . . . . .4717.3Rational Functions and Partial Fractions . . . . . . . . . . . . . . . . . . . . . . . . . . . .4867.4Improper Integrals. . . . . . . . . . . . . . . . . . . . . . . . . . . . . . . . . . . . . . . .5097.5Numerical Integration. . . . . . . . . . . . . . . . . . . . . . . . . . . . . . . . . . . . . .5227.6The Taylor Approximation. . . . . . . . . . . . . . . . . . . . . . . . . . . . . . . . . . .5397.7Tables of Integrals. . . . . . . . . . . . . . . . . . . . . . . . . . . . . . . . . . . . . . . .546Chapter 7 Review. . . . . . . . . . . . . . . . . . . . . . . . . . . . . . . . . . . . . . . . . . .5528Differential Equations5658.1Solving Differential Equations . . . . . . . . . . . . . . . . . . . . . . . . . . . . . . . . . .5658.2Equilibria and Their Stability . . . . . . . . . . . . . . . . . . . . . . . . . . . . . . . . . .5878.3Differential Equation Models. . . . . . . . . . . . . . . . . . . . . . . . . . . . . . . . . .6158.4Integrating Factors and Two-Compartment Models . . . . . . . . . . . . . . . . . . . . . .634Chapter 8 Review. . . . . . . . . . . . . . . . . . . . . . . . . . . . . . . . . . . . . . . . . . .6489Linear Algebra and Analytic Geometry6559.1Linear Systems. . . . . . . . . . . . . . . . . . . . . . . . . . . . . . . . . . . . . . . . . .6559.2Matrices . . . . . . . . . . . . . . . . . . . . . . . . . . . . . . . . . . . . . . . . . . . . . .6679.3Linear Maps, Eigenvectors, and Eigenvalues . . . . . . . . . . . . . . . . . . . . . . . . . .6839.4Demographic Modeling . . . . . . . . . . . . . . . . . . . . . . . . . . . . . . . . . . . . . .7079.5Analytic Geometry . . . . . . . . . . . . . . . . . . . . . . . . . . . . . . . . . . . . . . . .714Chapter 9 Review. . . . . . . . . . . . . . . . . . . . . . . . . . . . . . . . . . . . . . . . . . .72410 Multivariable Calculus73310.1 Functions of Two or More Independent Variables . . . . . . . . . . . . . . . . . . . . . . .73310.2 Limits and Continuity. . . . . . . . . . . . . . . . . . . . . . . . . . . . . . . . . . . . . .74310.3 Partial Derivatives. . . . . . . . . . . . . . . . . . . . . . . . . . . . . . . . . . . . . . . .74810.4 Tangent Planes, Differentiability, and Linearization . . . . . . . . . . . . . . . . . . . . . .75710.5 The Chain Rule and Implicit Differentiation . . . . . . . . . . . . . . . . . . . . . . . . . .766

Page 5

Solution Manual for Calculus For Biology and Medicine, 4th Edition - Page 5 preview image

Loading page image...

CONTENTS310.6 Directional Derivatives and Gradient Vectors. . . . . . . . . . . . . . . . . . . . . . . . .77010.7 Maximization and Minimization of Functions. . . . . . . . . . . . . . . . . . . . . . . . .77710.8 Diffusion . . . . . . . . . . . . . . . . . . . . . . . . . . . . . . . . . . . . . . . . . . . . . .80510.9 Systems of Difference Equations . . . . . . . . . . . . . . . . . . . . . . . . . . . . . . . . .808Chapter 10 Review . . . . . . . . . . . . . . . . . . . . . . . . . . . . . . . . . . . . . . . . . . .82411 Systems of Differential Equations83111.1 Linear Systems: Theory. . . . . . . . . . . . . . . . . . . . . . . . . . . . . . . . . . . . .83111.2 Linear Systems: Applications. . . . . . . . . . . . . . . . . . . . . . . . . . . . . . . . . .86311.3 Nonlinear Autonomous Systems: Theory . . . . . . . . . . . . . . . . . . . . . . . . . . . .87311.4 Nonlinear Systems: Lotka-Volterra Model for Interspecific Interactions . . . . . . . . . . .89511.5 More Mathematical Models. . . . . . . . . . . . . . . . . . . . . . . . . . . . . . . . . . .908Chapter 11 Review . . . . . . . . . . . . . . . . . . . . . . . . . . . . . . . . . . . . . . . . . . .92412 Probability and Statistics93512.1 Counting. . . . . . . . . . . . . . . . . . . . . . . . . . . . . . . . . . . . . . . . . . . . .93512.2 What is Probability? . . . . . . . . . . . . . . . . . . . . . . . . . . . . . . . . . . . . . . .94012.3 Conditional Probability and Independence . . . . . . . . . . . . . . . . . . . . . . . . . . .94812.4 Discrete Random Variables and Discrete Distributions. . . . . . . . . . . . . . . . . . . .95612.5 Continuous Distributions. . . . . . . . . . . . . . . . . . . . . . . . . . . . . . . . . . . .97912.6 Limit Theorems . . . . . . . . . . . . . . . . . . . . . . . . . . . . . . . . . . . . . . . . . .100012.7 Statistical Tools . . . . . . . . . . . . . . . . . . . . . . . . . . . . . . . . . . . . . . . . . .1011Chapter 12 Review . . . . . . . . . . . . . . . . . . . . . . . . . . . . . . . . . . . . . . . . . . .1020

Page 6

Solution Manual for Calculus For Biology and Medicine, 4th Edition - Page 6 preview image

Loading page image...

Page 7

Solution Manual for Calculus For Biology and Medicine, 4th Edition - Page 7 preview image

Loading page image...

Chapter 1Preview and Review1.1 Precalculus Skills Diagnostic Test1.(a)y=x+ 5(b)y= 2x1(c)y= 3x5(Review 1.2.2)2.(a)59(8032) =240926.7C(b)Inverting the given formula givesx=95y+ 32, so that95 (10) + 32 =18 + 32 = 14°F(c)Sety=xin the conversion formula and solve forx:x= 59 (x32) = 59x160949x=16094x=160x=40.(Review 1.2.2)3.A circle with center (x, y) = (1,5) and with radius 3. (Review 1.2.3)4.(a)180π·π7=180725.7°.(b)x=π3+ 2andx=2π3+ 2for anynZ.(c)Divide both sides of the identity sin2θ+ cos2θ= 1 by cos2θ:sin2θ+ cos2θcos2θ=1cos2θso tan2θ+ 1 = sec2θ.(d)π12,7π12,3π4(Review 1.2.4)5.(a)(i)27/3(ii)28/3(b)Take base 2 logarithms of both sides:xlog24 = log2 12, so 2x=1 and thereforex=12.

Page 8

Solution Manual for Calculus For Biology and Medicine, 4th Edition - Page 8 preview image

Loading page image...

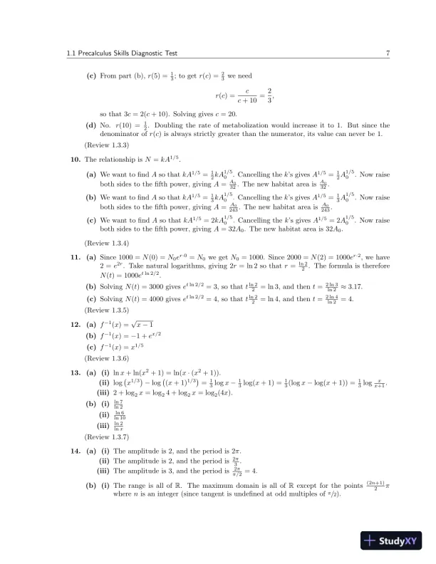
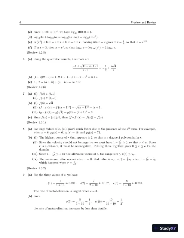
6Preview and Review(c)Since 10 000 = 104, we have log1010 000 = 4.(d)log103x+ log105x= log10(3x·5x) = log10(15x2).(e)ln(x2)+ lnx= 2 lnx+ lnx= 3 lnx. Solving 3 lnx= 2 gives lnx=23, so thatx=e2/3.(f )If lnx= 3, thenx=e3, so that log10x= log10(e3)= 3 log10e.(Review 1.2.5)6.(a)Using the quadratic formula, the roots are1± 124·1·12·1=12±i32.(b)(1 +i)(2i) = 1·2 + 1·(i) +i·2i2= 3 +i.(c)z+z= (a+bi) + (abi) = 2aR(Review 1.2.6)7.(a)(i)f(x)[0,1](ii)f(x)[0,)(b)(i)f(3) =3(ii)(fg)(x) =f((x+ 1)2)=(x+ 1)2=|x+ 1|.(iii)(gf)(4) =g(4) =g(2) = (2 + 1)2= 9.(c)Sincef(x) =|x| ≥0, then (ff)(x) =|f(x)|=f(x)(Review 1.3.1)8.(a)For large values ofx, (iii) grows much faster due to the presence of thex3term. For example,whenx= 6,p1(x) = 6,p2(x) = 18, andp3(x) = 72.(b)(i)The highest power ofrthat appears is 2, so this is a degree 2 polynomial inr.(ii)Since the velocity should not be negative we must have 1r2a20, so thatra. Sinceris a distance, it must be nonnegative.Putting these together gives 0rafor thedomain.(iii)Since 1r2a21 for the allowable values ofr, the range is 0u(r)u0.(iv)The maximum value occurs whenr= 0; that value isu0.u(r) =12u0when 1r2a2=12,which happens whenr=a2.(Review 1.3.2)9.(a)For the three values ofc, we haver(1) =11 + 100.091,r(2) =22 + 100.167,r(3) =33 + 100.231.The rate of metabolization is largest whenc= 3.(b)Sincer(5) =55 + 10 = 13,r(10) =1010 + 10 = 12,the rate of metabolization increases by less than double.

Page 9

Solution Manual for Calculus For Biology and Medicine, 4th Edition - Page 9 preview image

Loading page image...

1.1 Precalculus Skills Diagnostic Test7(c)From part (b),r(5) =13; to getr(c) =23we needr(c) =cc+ 10 = 23,so that 3c= 2(c+ 10). Solving givesc= 20.(d)No.r(10) =12.Doubling the rate of metabolization would increase it to 1.But since thedenominator ofr(c) is always strictly greater than the numerator, its value can never be 1.(Review 1.3.3)10.The relationship isN=kA1/5.(a)We want to findAso thatkA1/5=12kA1/50. Cancelling thek’s givesA1/5=12A1/50. Now raiseboth sides to the fifth power, givingA=A032. The new habitat area isA032.(b)We want to findAso thatkA1/5=13kA1/50. Cancelling thek’s givesA1/5=13A1/50. Now raiseboth sides to the fifth power, givingA=A0243. The new habitat area isA0243.(c)We want to findAso thatkA1/5= 2kA1/50. Cancelling thek’s givesA1/5= 2A1/50. Now raiseboth sides to the fifth power, givingA= 32A0. The new habitat area is 32A0.(Review 1.3.4)11.(a)Since 1000 =N(0) =N0er·0=N0we getN0= 1000. Since 2000 =N(2) = 1000er·2, we have2 =e2r. Take natural logarithms, giving 2r= ln 2 so thatr=ln 22. The formula is thereforeN(t) = 1000etln 2/2.(b)SolvingN(t) = 3000 givesetln 2/2= 3, so thattln 22= ln 3, and thent=2 ln 3ln 23.17.(c)SolvingN(t) = 4000 givesetln 2/2= 4, so thattln 22= ln 4, and thent=2 ln 4ln 2= 4.(Review 1.3.5)12.(a)f1(x) =x1(b)f1(x) =1 +ex/2(c)f1(x) =x1/5(Review 1.3.6)13.(a)(i)lnx+ ln(x2+ 1) = ln(x·(x2+ 1)).(ii)log(x1/3)log((x+ 1)1/3)=13logx13log(x+ 1) =13(logxlog(x+ 1)) =13logxx+1.(iii)2 + log2x= log24 + log2x= log2(4x).(b)(i)ln 7ln 2(ii)ln 6ln 10(iii)ln 2lnx(Review 1.3.7)14.(a)(i)The amplitude is 2, and the period is 2π.(ii)The amplitude is 2, and the period is2π3.(iii)The amplitude is 3, and the period is2ππ/2= 4.(b)(i)The range is all ofR.The maximum domain is all ofRexcept for the points(2n+1)2πwherenis an integer (since tangent is undefined at odd multiples ofπ/2).

Page 10

Solution Manual for Calculus For Biology and Medicine, 4th Edition - Page 10 preview image

Loading page image...

8Preview and Review(ii)The range is [1,1], since1cosx1 for allx. The domain isR.(c)Compress cosxby a factor of 2 in thex-direction and stretch it by a factor of 3 in they-directionto get 3 cos 2x.(Review 1.3.8)15.-6-4-22x-0.50.5y(a)-4-224x0.51.1.5y(b)-4-224x-0.50.5y(c)-4-224x-0.50.5y(d)-8-448x-0.50.5y(e)(Review 1.4.1)16.(a)(i)2 kg(ii)30 kg(iii)100 kg(b)Adult weightPuppy weight=20 kg0.4 kg= 50(c)The point representing the cat will lie one tick below the Jack Russell Terrier.(Review 1.4.2)17.(a)Since both axes are log scales, this is a power relationship; since the slope of the line is 0.41,the relationship isD=k A0.41.(b)Since only the vertical axis is a log scale, this is an exponential relationship; since the slope ofthe line is1, the relationship isN=k10m.

Page 11

Solution Manual for Calculus For Biology and Medicine, 4th Edition - Page 11 preview image

Loading page image...

1.2 Preliminaries9(c)Since only the vertical axis is a log scale, this is an exponential relationship; since the slope ofthe line is 0.86, the relationship isN=k100.86tk7.24t.(d)Since only the vertical axis is a log scale, this is an exponential relationship; since the slope ofthe line is0.09, the relationship isN=k100.09tk0.813t.(Review 1.4.3)18.(a)This is the graph of patient 1 shifted two hours to the right, so it is graph 4.(b)This graph should start from zero at 8AM just as for patient 1, but it should have a longertail since it takes longer to enter the bloodstream. This is graph 3.(c)This graph should have the same shape as the graph of patient A, which is graph 4, but is halfas high. This is graph 2.(Review 1.4.4)1.2 Preliminaries1.2.11.(a)Walking 4 units to the right and to the left from1 we get the numbers 3 and5, respectively.(b)|x(1)|= 4, sox+ 1 =±4, yieldingx= 3 orx=5.2.With three numbers there will be three pairwise distances:|−52|=|−7|= 7,|27|=|−5|= 5and|−57|=|−12|= 12.3.(a)2x+ 4 =±6, so either 2x= 2 giving the solutionx= 1 or 2x=10 and the other solution isx=5.(b)x3 =±2, from which we see thatx= 5 orx= 1.(c)2x3 =±5, so 2x= 8 givingx= 4 or 2x=2 andx=1.(d)15x=±6, so that 5x= 1±6. Then 5x=5, sox=1, or 5x= 7, sox=75.4.(a)The equation implies±(2x+ 4) =±(5x2), which reduces to two equations 2x+ 4 = 5x2and 2x+ 4 =(5x2), so the solutions are:x= 2 andx=27.(b)As in part (a) we get 1 + 2u=±(5u), and solving both gives 1 + 2u= 5uwith solutionu=43, and 1 + 2u=(5u) =u5 with solutionu=6.(c)As in part (a) we get the equations 4 +t2=±(32t2) that solves tot= 6 andt=1.(d)As in part (a) 2s6 =±(3s); solving both equations givess= 3 ands= 3. Sos= 3 isthe only solution.5.(a)We can rewrite the absolute value as two inequalities45x244 + 25x4 + 225x625x65.(b)Rewriting as a pair of inequalities gives 34x <8 or 34x >8. Solving the first we get:4x >11, orx >114, and solving the second we get 4x <5, orx <54. Sox <54orx >114.(c)Rewriting as a pair of inequalities gives 7x+ 43, which solves asx≥ −17, and 7x+ 4≤ −3which gives 7x≤ −7 orx≤ −1. Sox≤ −1 orx≥ −17.

Page 12

Solution Manual for Calculus For Biology and Medicine, 4th Edition - Page 12 preview image

Loading page image...

10Preview and Review(d)Rewriting gives7<3 + 2x <773<2x <7310<2x <45< x <2.6.(a)6<2x+ 3<6; subtracting 3 gives9<2x <3, so that92< x <32.(b)Rewriting as a pair of inequalities gives 34x2 or 34x≤ −2, so thatx14orx54.(c)1x+ 51, which is the same as6x≤ −4.(d)Since no absolute value can be negative, there are no values ofxthat will satisfy the equation.1.2.27.Use the point slope formulayy0=m(xx0). In this case we gety2 =2(x3)y2 =2x+ 62x+y8 = 0.8.Use the point slope formulayy0=m(xx0). In this case we gety(1) = 14 (x2)y+ 1 = 14x12x+ 4y+ 6 = 0.9.Use the point slope formulayy0=m(xx0). In this case we gety(2) =3(x0)y+ 2 =3x3x+y+ 2 = 0.10.Use the point slope formulayy0=m(xx0). In this case we gety5 = 12 (x(3))2y10 =x+ 3x+ 2y13 = 0.11.First compute the slope using the two given points:m=y2y1x2x1= 4(3)1(2) = 73.Now use the point slope formulayy0=m(xx0) with (x0, y0) = (1,4) (we could equally welluse the other point, (2,3)):y4 = 73 (x1)3(y4) = 7(x1)3y12 = 7x77x+ 3y5 = 0.12.First compute the slope using the two given points:m=y2y1x2x1=441(1) =4.Now use the point slope formulayy0=m(xx0) with (x0, y0) = (1,4) (we could equally welluse the other point, (1,4)):y4 =4(x(1))y4 =4x44x+y= 0.

Page 13

Solution Manual for Calculus For Biology and Medicine, 4th Edition - Page 13 preview image

Loading page image...

1.2 Preliminaries1113.First compute the slope using the two given points:m=y2y1x2x1= 1320 =1.Now use the point slope formulayy0=m(xx0) with (x0, y0) = (0,3) (we could equally welluse the other point, (2,1)):y3 =1(x0)y3 =xx+y3 = 0.14.First compute the slope using the two given points:m=y2y1x2x1= 5(1)41= 63 = 2.Now use the point slope formulayy0=m(xx0) with (x0, y0) = (1,1) (we could equally welluse the other point, (4,5)):y(1) = 2(x1)y+ 1 = 2x22xy3 = 0.15.Horizontal lines are always of the formy=k; since this line goes through(4,14), its equation isy=14. The standard form is 4y1 = 0.16.Horizontal lines are always of the formy=k; since this line goes through (0,1), its equation isy=1. The standard form isy+ 1 = 0.17.Vertical lines are always of the formx=k; since this line goes through (2,0), its equation isx=2. The standard form isx+ 2 = 0.18.Vertical lines are always of the formx=k; since this line goes through (2,3), its equation isx= 2. The standard form isx2 = 0.19.Use the slope-intercept formy=mx+b.We are givenm= 3 andb= 2, so the equation isy= 3x+ 2, which in standard form is 3xy+ 2 = 0.20.Use the slope-intercept formy=mx+b.We are givenm=1 andb= 5, so the equation isy=x+ 5, which in standard form isx+y5 = 0.21.Use the slope-intercept formy=mx+b.We are givenm=12andb= 2, so the equation isy=12x+ 2, or 2y=x+ 4, which in standard form isx2y+ 4 = 0.22.Use the slope-intercept formy=mx+b.We are givenm=13andb=13, so the equation isy=13x+13, which in standard form isx+ 3y1 = 0.23.Use the point slope formulayy0=m(xx0) where (x0, y0) = (1,0) is the given point. In thiscase we gety0 =2(x1)y=2x+ 22x+y2 = 0.24.Use the point slope formulayy0=m(xx0) where (x0, y0) = (2,0) is the given point. In thiscase we gety0 = 1(x(2))y=x+ 2xy+ 2 = 0.25.Use the point slope formulayy0=m(xx0) where (x0, y0) =(12,0)is the given point. In thiscase we gety0 =12(x(12))y=12x142x+ 4y+ 1 = 0.

Page 14

Solution Manual for Calculus For Biology and Medicine, 4th Edition - Page 14 preview image

Loading page image...

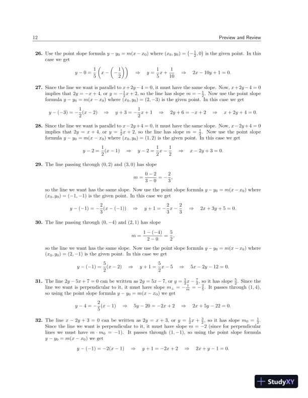
12Preview and Review26.Use the point slope formulayy0=m(xx0) where (x0, y0) =(12,0)is the given point. In thiscase we gety0 = 15(x(12))y= 15x+ 1102x10y+ 1 = 0.27.Since the line we want is parallel tox+ 2y4 = 0, it must have the same slope. Now,x+ 2y4 = 0implies that 2y=x+ 4, ory=12x+ 2, so the line has slopem=12. Now use the point slopeformulayy0=m(xx0) where (x0, y0) = (2,3) is the given point. In this case we gety(3) =12 (x2)y+ 3 =12x+ 12y+ 6 =x+ 2x+ 2y+ 4 = 0.28.Since the line we want is parallel tox2y+ 4 = 0, it must have the same slope. Now,x2y+ 4 = 0implies that 2y=x+ 4, ory=12x+ 2, so the line has slopem=12.Now use the point slopeformulayy0=m(xx0) where (x0, y0) = (1,2) is the given point. In this case we gety2 = 12 (x1)y2 = 12x12x2y+ 3 = 0.29.The line passing through (0,2) and (3,0) has slopem= 0230 =23,so the line we want has the same slope. Now use the point slope formulayy0=m(xx0) where(x0, y0) = (1,1) is the given point. In this case we gety(1) =23 (x(1))y+ 1 =23x232x+ 3y+ 5 = 0.30.The line passing through (0,4) and (2,1) has slopem= 1(4)20= 52,so the line we want has the same slope. Now use the point slope formulayy0=m(xx0) where(x0, y0) = (2,1) is the given point. In this case we gety(1) = 52 (x2)y+ 1 = 52x55x2y12 = 0.31.The line 2y5x+ 7 = 0 can be written as 2y= 5x7, ory=52x72, so it has slope52. Since theline we want is perpendicular to it, it must have slopem=1m=25. It passes through (1,4),so using the point slope formulayy0=m(xx0) we gety4 =25 (x1)5y20 =2x+ 22x+ 5y22 = 0.32.The linex2y+ 3 = 0 can be written as 2y=x+ 3, ory=12x+32, so it has slopem0=12.Since the line we want is perpendicular to it, it must have slopem=2 (since for perpendicularlines we must havem·m0=1).It passes through (1,1), so using the point slope formulayy0=m(xx0) we gety(1) =2(x1)y+ 1 =2x+ 22x+y1 = 0.

Page 15

Solution Manual for Calculus For Biology and Medicine, 4th Edition - Page 15 preview image

Loading page image...

1.2 Preliminaries1333.The given line, passing through (2,1) and (1,2), has slopem=y2y1x2x1= (2)11(2) =33 =1.Therefore the slope of the perpendicular line ism=1m= 1. It passes through (5,1), so usingthe point slope formulayy0=m(xx0) we gety(1) = 1(x5)y+ 1 =x5xy6 = 0.34.The given line, passing through (2,0) and (1,1), has slopem=y2y1x2x1=101(2) = 13.Therefore the slope of the perpendicular line ism=1m=3.It passes through (4,1), sousing the point slope formulayy0=m(xx0) we gety(1) =3(x4)y+ 1 =3x+ 123x+y11 = 0.35.The line we want is horizontal and passes through (1,3). Since all horizontal lines are of the formy=k, here we must havey= 3, ory3 = 0.36.The line we want is horizontal and passes through (1,5). Since all horizontal lines are of the formy=k, here we must havey= 5, ory5 = 0.37.The line we want is vertical and passes through (2,3).Since all vertical lines are of the formx=k, here we must havex=2, orx+ 2 = 0.38.The line we want is vertical and passes through (3,1). Since all vertical lines are of the formx=k,here we must havex= 3, orx3 = 0.39.A line perpendicular to a horizontal line is a vertical line. Since all vertical lines are of the formx=k, and the line passes through (1,3), we must havex= 1, orx1 = 0.40.A line perpendicular to a horizontal line is a vertical line. Since all vertical lines are of the formx=k, and the line passes through (1,3), we must havex= 1, orx1 = 0.41.A line perpendicular to a vertical line is a horizontal line. Since all horizontal lines are of the formy=k, and the line passes through (7,3), we must havey= 3, ory3 = 0.42.A line perpendicular to a vertical line is a horizontal line. Since all horizontal lines are of the formy=k, and the line passes through (2,5), we must havey= 5, ory5 = 0.43.(a)We convert each of these into centimeters, remembering that the formulay= 30.5xrequiresthatxbe measured in feet:(i)y= 30.5·6 ft = 183 cm(ii)y= 30.5·412ft30.5·0.1667 ft10.2 cm(iii)1 ft,7 in = 1 +712ft1.583 ft, soy30.5·1.583 ft48.3 cm.(iv)y= 30.5·20.512ft30.5·1.708 ft52.1 cm(b)Divide both sides ofy= 30.5xby 30.5, givingy30.5=x, orx=y30.5. Sincexis measured infeet andyin centimeters, this gives a way to convert from centimeters to feet.

Page 16

Solution Manual for Calculus For Biology and Medicine, 4th Edition - Page 16 preview image

Loading page image...

14Preview and Review(c)(i)x=19530.56.39 ft(ii)x=1230.50.39 ft(iii)x=4830.51.57 ft44.(a)Since 1 pound equals 2.20 kg, lety= 2.20x, wherexis kilograms andyis pounds.(b)(i)y= 2.20x, so 63 = 2.20x, orx28.6 kg.(ii)y= 2.20x, so 5 = 2.20x, orx2.27 kg.(iii)y= 2.20·2.5 = 5.5 pounds.(iv)y= 2.20·76167 pounds.45.Distance = rate·time; here time = 15 min =14h = 0.25 h, and the distance is 10 mi. The constantof proportionality is miles per hour or “mph”. Using the given values gives10 mi = speed·0.25 hspeed =100.25 = 40 mph.The speed (constant of proportionality) is 40 mph.46.Letybe the number of seeds produced, andxbe the biomass. Sinceyis proportional tox, we havey=mxwheremis the constant of proportionality. Then 13 =m·213, so thatm=132130.061.47.1 ft = 0.305 m, so 3.279 ft = 1 m. Then1 m2= (1 m)(1 m) = (3.279 ft)(3.279 ft)10.75 ft2.48.1 ha = 10 000 m2, and 1 acre = 4046.86 m2. Therefore the area ratio of a hectare to an acre (thatis, the number of acres in a hectare) is1 ha1 acre =10 000 m24046.86 m22.471 acre.49.(a)Since the relationship is linear, if we letybe the number of liters andxthe number of ounces,we havex=mywherem= 33.81. So the relationship isx= 33.81y, ory0.0296x.(b)Withx= 12 ounces, we gety= 0.0296·120.355 l.50.(a)Since the relationship is linear, if we letybe the number of kilometers andxthe number ofmiles, we haveykm =mxmi wherem= 1.609. So the relationship isy= 1.609x.(b)We have 434 = 1.609x, so thatx=4341.609270 mi.51.(a)Since one cup of flour weighs 120 g, it follows that 2.5 cups of flour weighs 2.5·120 = 300 g.(b)Since one cup of flour weighs 120 g, one gram of flour is1120cups.Thus 225 g of flour is225·1120= 1.875 cups.(c)Letybe the number of cups andxthe weight in grams. Then from part (b),y=1120x.52.(a)Letxbe the temperature inC and letybe the temperature in°F. Then we have the points(0,32) and (100,212). First find the slope between these two pts:m= 212321000= 180100 = 1810 = 95They-intercept is 32. A linear equation that relates Celsius and Fahrenheit then isy=95x+32,orF=95C+ 32
Preview Mode

This document has 1026 pages. Sign in to access the full document!

Study Now!

XY-Copilot AI
Unlimited Access
Secure Payment
Instant Access
24/7 Support
Document Chat

Related Documents

View all