Solution Manual for Differential Equations: Computing and Modeling (Tech Update), 5th Edition

Solution Manual for Differential Equations: Computing and Modeling (Tech Update), 5th Edition provides the perfect textbook solutions, giving you the help you need to succeed in your studies.

Liam Gonzalez
Contributor
4.5
36
5 months ago
Preview (16 of 651 Pages)
100%
Purchase to unlock

Page 1

Solution Manual for Differential Equations: Computing and Modeling (Tech Update), 5th Edition - Page 1 preview image

Loading page image...

SOLUTIONSMANUALDIFFERENTIALEQUATIONSCOMPUTING ANDMODELINGDIFFERENTIALEQUATIONSANDBOUNDARYVALUEPROBLEMSCOMPUTING ANDMODELINGFIFTHEDITIONC. Henry EdwardsDavid E. PenneyThe University of GeorgiaDavid CalvisBaldwin-Wallace University

Page 2

Solution Manual for Differential Equations: Computing and Modeling (Tech Update), 5th Edition - Page 2 preview image

Loading page image...

Page 3

Solution Manual for Differential Equations: Computing and Modeling (Tech Update), 5th Edition - Page 3 preview image

Loading page image...

Contents1First-Order Differential Equations1.1Differential Equations and Mathematical Models11.2Integrals as General and Particular Solutions81.3Slope Fields and Solution Curves161.4Separable Equations and Applications271.5Linear First-Order Equations441.6Substitution Methods and Exact Equations62Chapter 1 Review Problems862Mathematical Models and Numerical Methods2.1Population Models1002.2Equilibrium Solutions and Stability1162.3Acceleration-Velocity Models1272.4Numerical Approximation: Euler's Method1372.5A Closer Look at the Euler Method1442.6The Runge-Kutta Method1553Linear Equations of Higher Order3.1Introduction: Second-Order Linear Equations1673.2General Solutions of Linear Equations1743.3Homogeneous Equations with Constant Coefficients1823.4Mechanical Vibrations1903.5Nonhomogeneous Equations and Undetermined Coefficients2013.6Forced Oscillations and Resonance2143.7Electrical Circuits2273.8Endpoint Problems and Eigenvalues2344Introduction to Systems of Differential Equations4.1First-Order Systems and Applications2414.2The Method of Elimination2504.3Numerical Methods for Systems2705Linear Systems of Differential Equations5.1Matrices and Linear Systems2805.2The Eigenvalue Method for Homogeneous Linear Systems2885.3Solution Curves of Linear Systems3135.4Second-Order Systems and Mechanical Applications3195.5Multiple Eigenvalue Solutions3315.6Matrix Exponentials and Linear Systems3455.7Nonhomogeneous Linear Systems355iii

Page 4

Solution Manual for Differential Equations: Computing and Modeling (Tech Update), 5th Edition - Page 4 preview image

Loading page image...

6Nonlinear Systems and Phenomena6.1Stability and the Phase Plane3636.2Linear and Almost Linear Systems3726.3Ecological Applications: Predators and Competitors3896.4Nonlinear Mechanical Systems4046.5Chaos in Dynamical Systems4157Laplace Transform Methods7.1Laplace Transforms and Inverse Transforms4227.2Transformation of Initial Value Problems4277.3Translation and Partial Fractions4367.4Derivatives, Integrals, and Products of Transforms4447.5Periodic and Piecewise Continuous Input Functions4517.6Impulses and Delta Functions4648Power Series Methods8.1Introduction and Review of Power Series4738.2Series Solutions Near Ordinary Points4798.3Regular Singular Points4928.4Method of Frobenius—The Exceptional Cases5058.5Bessel’s Equation5148.6Applications of Bessel Functions5229Fourier Series Methods and Partial Differential Equations9.1Periodic Functions and Trigonometric Series5279.2General Fourier Series and Convergence5379.3Fourier Sine and Cosine Series5519.4Applications of Fourier Series5659.5Heat Conduction and Separation of Variables5719.6Vibrating Strings and the One-Dimensional Wave Equation5779.7Steady-State Temperature and Laplace’s Equation58510Eigenvalue Methods and Boundary Value Problems10.1Sturm-Liouville Problems and Eigenfunction Expansions59610.2Applications of Eigenfunction Series60710.3Steady Periodic Solutions and Natural Frequencies61910.4Cylindrical Coordinate Problems63110.5Higher-Dimensional Phenomena643AppendixExistence and Uniqueness of Solutions644iv

Page 5

Solution Manual for Differential Equations: Computing and Modeling (Tech Update), 5th Edition - Page 5 preview image

Loading page image...

1CHAPTER 1FIRST-ORDER DIFFERENTIAL EQUATIONSSECTION 1.1DIFFERENTIAL EQUATIONS AND MATHEMATICAL MODELSThe main purpose of Section 1.1 is simply to introduce the basic notation and terminology of dif-ferential equations, and to show the student what is meant by a solution of a differential equation.Also, the use of differential equations in the mathematical modeling of real-world phenomena isoutlined.Problems 1-12 are routine verifications by direct substitution of the suggested solutions into thegiven differential equations. We include here just some typical examples of such verifications.3.If1cos 2yxand2sin 2yx, then12sin 2yx  22 cos 2yx , so114 cos 24yxy   and224sin 24yxy   . Thus1140yyand2240yy .4.If31xyeand32xye, then313xyeand323xye , so31199xyey and32299xyey .5.Ifxxyee, thenxxyee , so2.xxxxxyyeeeee Thus2.xyye 6.If21xyeand22xyx e, then212xye  ,214xye ,2222xxyex e , and22244.xxyex e  Hence2221114444240xxxyyyeeeand2222222244444240.xxxxxyyyex eex ex e8.If1coscos 2yxxand2sincos 2yxx, then1sin2sin 2 ,yxx  1cos4 cos 2 ,yxx  2cos2sin 2yxx , and2sin4 cos 2 .yxx  Hence11cos4cos 2coscos 23cos 2yyxxxxxand22sin4cos 2sincos 23cos 2 .yyxxxxx 

Page 6

Solution Manual for Differential Equations: Computing and Modeling (Tech Update), 5th Edition - Page 6 preview image

Loading page image...

2DIFFERENTIAL EQUATIONS AND MATHEMATICAL MODELS11.If21yyx, then32yx  and46,yx so224325465240.x yx yyxxxxxIf22lnyyxx, then332lnyxxx and4456lnyxxx  , so2244332222225456ln52ln4ln556104ln0.xyx yyxxxxx xxxxxxxxxxx13.Substitution ofrxyeinto32yy gives the equation 32rxrxr ee, which simplifiesto32.rThus2 / 3r.14.Substitution ofrxyeinto4yy gives the equation24rxrxree, which simplifies to241.rThus1 / 2r .15.Substitution ofrxyeinto20yyygives the equation220rxrxrxr er ee,which simplifies to22(2)(1)0.rrrrThus2r or1r.16.Substitution ofrxyeinto3340yyygives the equation23340rxrxrxr er ee, which simplifies to23340rr. The quadratic formula then gives the solutions3576r.The verifications of the suggested solutions in Problems 17-26 are similar to those in Problems1-12. We illustrate the determination of the value ofConly in some typical cases. However, weillustrate typical solution curves for each of these problems.17.2C18.3C

Page 7

Solution Manual for Differential Equations: Computing and Modeling (Tech Update), 5th Edition - Page 7 preview image

Loading page image...

Section 1.1319.If1xy xCe, then05ygives15C, so6C.20.If1xy xC ex, then010ygives110C, or11C.21.7C.22.If( )lny xxC, then00ygivesln0C, so1C.−404−404xy(0, 2)Problem 17−505−505xy(0, 3)Problem 18−505−10−50510xy(0, 5)Problem 19−10−50510−20020xy(0, 10)Problem 20

Page 8

Solution Manual for Differential Equations: Computing and Modeling (Tech Update), 5th Edition - Page 8 preview image

Loading page image...

4DIFFERENTIAL EQUATIONS AND MATHEMATICAL MODELS23.If5214( )y xxC x, then21ygives1148321C, or56C .24.17C.25.If3tanyxC, then01ygives the equationtan1C. Hence one value ofCis/ 4C, as is this value plus any integral multiple of.−2−1012−10−50510xy(0, 7)Problem 21−20−1001020−505xy(0, 0)Problem 220123−30−20−100102030xy(2, 1)Problem 2300.511.522.533.544.55−30−20−100102030xy(1, 17)Problem 24

Page 9

Solution Manual for Differential Equations: Computing and Modeling (Tech Update), 5th Edition - Page 9 preview image

Loading page image...

Section 1.1526.Substitution ofxand0yintocosyxCxyields01C, soC .27.yxy 28.The slope of the line through,xyand2, 0xis02/ 2yyy xxx , so the differen-tial equation is2xyy .29.Ifmyis the slope of the tangent line andmis the slope of the normal line at( ,),xythen the relation1m m  yields 110myyx . Solving forythengives the differential equation1yyx.30.Heremyand2()2xmDxkx , so the orthogonality relation1m m  givesthe differential equation21.xy  31.The slope of the line through,xyand(,)y xis yxyyx , so the differen-tial equation is().xy yyxIn Problems 32-36 we get the desired differential equation when we replace the “time rate ofchange” of the dependent variable with its derivative with respect to timet, the word “is” withthe = sign, the phrase “proportional to” withk, and finally translate the remainder of the givensentence into symbols.32.dP dtkP33.2dv dtkv−2−1012−4−2024xy(0, 1)Problem 250510−10−50510xy(, 0)Problem 26

Page 10

Solution Manual for Differential Equations: Computing and Modeling (Tech Update), 5th Edition - Page 10 preview image

Loading page image...

6DIFFERENTIAL EQUATIONS AND MATHEMATICAL MODELS34.250dv dtkv35.dN dtkPN36.dN dtkNPN37.The second derivative of any linear function is zero, so we spot the two solutions1y xand( )y xxof the differential equation0y .38.A function whose derivative equals itself, and is hence a solution of the differential equa-tionyy , is( )xyxe.39.We reason that if2ykx, then each term in the differential equation is a multiple of2x.The choice1kbalances the equation and provides the solution2( )yxx.40.Ifyis a constant, then0y , so the differential equation reduces to21y. This givesthe two constant-valued solutions( )1y xand( )1y x .41.We reason that ifxyke, then each term in the differential equation is a multiple ofxe.The choice12kbalances the equation and provides the solution12( )xy xe.42.Two functions, each equaling the negative of its own second derivative, are the two solu-tionscosy xxand( )siny xxof the differential equationyy  .43.(a)We need only substitute( )1xtCktin both sides of the differential equation2xkx for a routine verification.(b)The zero-valued function( )0x tobviously satisfies the initial value problem2xkx ,(0)0x.44.(a)The figure shows typical graphs of solutions of the differential equation212xx .(b)The figure shows typical graphs of solutions of the differential equation212.xx  We see that—whereas the graphs with12kappear to “diverge to infinity”—each solu-tion with12k appears to approach 0 as.t Indeed, we see from the Problem43(a) solution12( )1xtCtthat( )x t as2tC. However, with12k it isclear from the resulting solution12( )1xtCtthat( )xtremains bounded on anybounded interval, but( )0x tast .

Page 11

Solution Manual for Differential Equations: Computing and Modeling (Tech Update), 5th Edition - Page 11 preview image

Loading page image...

Section 1.1745.Substitution of1P and10Pinto the differential equation2PkP gives1100,ksoProblem 43(a) yields a solution of the form1100( )1P tCt. The initial condition(0)2Pnow yields12,Cso we get the solution1100( )1502100P ttt.We now find readily that100Pwhen49tand that1000Pwhen49.9t. It ap-pears thatPgrows without bound (and thus “explodes”) astapproaches 50.46.Substitution of1v  and5vinto the differential equation2vkv gives125,k soProblem 43(a) yields a solution of the form( )125v tCt. The initial condition(0)10vnow yields110,Cso we get the solution150( )1521025v ttt.We now find readily that1vwhen22.5tand that0.1vwhen247.5t. It ap-pears thatvapproaches 0 astincreases without bound. Thus the boat gradually slows,but never comes to a “full stop” in a finite period of time.47.(a)(10)10yyields10110C, so101 10C.(b)There is no such value ofC, but the constant function( )0y xsatisfies the condi-tions2yy and(0)0y.01234012345txProblem 44a012340123456txProblem 44b

Page 12

Solution Manual for Differential Equations: Computing and Modeling (Tech Update), 5th Edition - Page 12 preview image

Loading page image...

8DIFFERENTIAL EQUATIONS AND MATHEMATICAL MODELS(c)It is obvious visually (in Fig. 1.1.8 of the text) that one and only one solution curvepasses through each point( ,)a bof thexy-plane, so it follows that there exists a uniquesolution to the initial value problem2yy ,( )y ab.48.(b)Obviously the functions4( )u xx and4( )v xx both satisfy the differential equa-tion4 .xyy But their derivatives3( )4uxx and3( )4vxx match at0x, whereboth are zero. Hence the given piecewise-defined functiony xis differentiable, andtherefore satisfies the differential equation becauseu xandv xdo so (for0xand0x, respectively).(c)If0a(for instance), then chooseCfixed so that4C ab. Then the function44if0if0C xxy xC xxsatisfies the given differential equation for every real number value ofC.SECTION 1.2INTEGRALS AS GENERAL AND PARTICULAR SOLUTIONSThis section introducesgeneral solutionsandparticular solutionsin the very simplest situation— a differential equation of the formyfx — where only direct integration and evaluationof the constant of integration are involved. Students should review carefully the elementary con-cepts of velocity and acceleration, as well as the fps and mks unit systems.1.Integration of21yx yields2( )21y xxdxxxC. Then substitution of0x,3ygives300CC, so23y xxx.2.Integration of22yx yields231322y xxdxxC. Then substitutionof2x,1ygives10CC, so31321yxx.3.Integration ofyx yields3/223y xx dxxC. Then substitution of4x,0ygives1630C, so3/2238yxx.4.Integration of2yx yields21yxxdxxC . Then substitution of1x,5ygives51C  , so16y xx .

Page 13

Solution Manual for Differential Equations: Computing and Modeling (Tech Update), 5th Edition - Page 13 preview image

Loading page image...

Section 1.295.Integration of1 22yx yields1 2222y xxdxxC. Then substitu-tion of2x,1y gives12 2C, so225y xx.6.Integration of1 229yx x yields1 23 2221399yxx xdxxC. Thensubstitution of4x ,0ygives3130(5)C, so3/22139125yxx.7.Integration of2101yx yields121010 tan1yxdxxCx. Then substitution of0x,0ygives010 0C, so110 tany xx.8.Integration ofcos 2yx yields12cos 2sin 2yxx dxxC. Then substitution of0x,1ygives10C, so12sin 21y xx.9.Integration of211yx yields121( )sin1y xdxxCx. Then substitution of0x,0ygives00C, so1siny xx.10.Integration ofxyxe yields11xuuxyxxedxue duuexeC ,using the substitutionux together with Formula #46 inside the back cover of thetextbook. Then substituting0x,1ygives11,C so( )(1)2.xy xxe 11.If 50a t, then 050505010v tdttvt. Hence 22050102510251020x ttdtttxtt.12.If 20a t , then 020202015v tdttvt  . Hence 2202015101510155xttdtttxtt  .13.If 3a tt, then 223302235v tt dttvt. Hence 2333110222555xttdtttxtt.14.If 21a tt, then 220217v ttdtttvtt. Hence 2331111032327774xtttdttttxttt.

Page 14

Solution Manual for Differential Equations: Computing and Modeling (Tech Update), 5th Edition - Page 14 preview image

Loading page image...

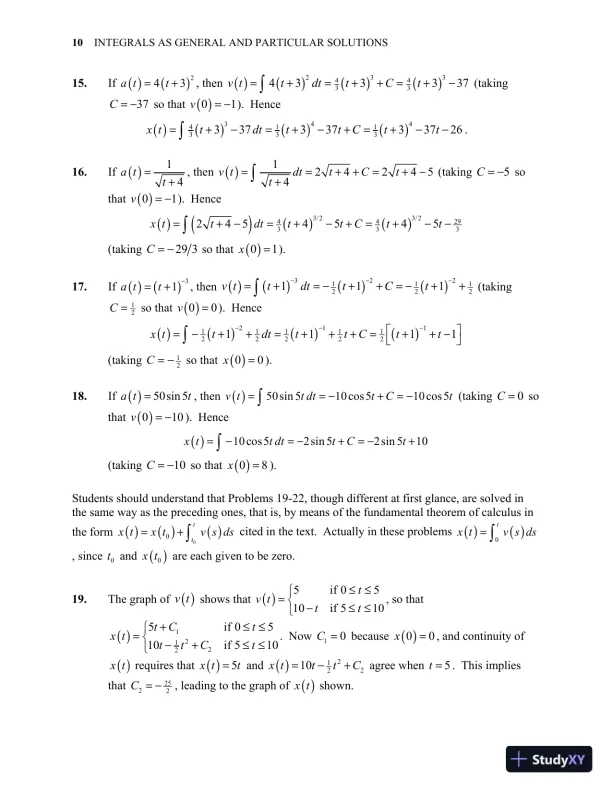
10INTEGRALS AS GENERAL AND PARTICULAR SOLUTIONS15.If 243a tt, then 2334433433337v ttdttCt(taking37C so that01v ). Hence 34441133333733733726x ttdtttCtt.16.If 14a tt, then 1242454v tdttCtt(taking5C sothat01v ). Hence 3/23/229443332454545x ttdtttCtt(taking29 3C so that01x).17.If 31a tt, then 322111222111v ttdttCt  (taking12Cso that00v). Hence 21111111222221111x ttdtttCtt(taking12C so that00x).18.If 50sin 5a tt, then 50 sin 510 cos 510 cos 5v tt dttCt  (taking0Csothat010v ). Hence 10 cos 52 sin 52 sin 510x tt dttCt  (taking10C so that08x).Students should understand that Problems 19-22, though different at first glance, are solved inthe same way as the preceding ones, that is, by means of the fundamental theorem of calculus inthe form  00ttx tx tv s dscited in the text. Actually in these problems  0tx tv s ds, since0tand0xtare each given to be zero.19.The graph of v tshows that 5if 0510if 510tv ttt, so that 121225if 0510if 510tCtx tttCt. Now10Cbecause00x, and continuity of xtrequires that 5xttand 212210xtttCagree when5t. This impliesthat2522C , leading to the graph of xtshown.

Page 15

Solution Manual for Differential Equations: Computing and Modeling (Tech Update), 5th Edition - Page 15 preview image

Loading page image...

Section 1.211Alternate solution for Problem 19 (and similar for 20-22):The graph of v tshowsthat 5if 0510if 510tv ttt. Thus for05t,  0tx tv s dsis given by055tdst, whereas for510twe have  5005222551075252510251010.22222ttstsx tv s dsdss dssttsttThe graph of xtis shown.20.The graph of v tshows that if 055if 510ttv tt, so that 21122if 055if 510tCtx ttCt. Now10Cbecause00x, and continuity of xtrequires that 212xttand 25xttCagree when5t. This implies that2522C , leading to the graph of xtshown.21.The graph of v tshows that if 0510if 510ttv ttt, so that 21122122if 0510if 510tCtx tttCt. Now10Cbecause00x, and continuity of0246810010203040tx(5, 25)Problem 190246810010203040tx(5, 12.5)Problem 20

Page 16

Solution Manual for Differential Equations: Computing and Modeling (Tech Update), 5th Edition - Page 16 preview image

Loading page image...

12INTEGRALS AS GENERAL AND PARTICULAR SOLUTIONS xtrequires that 212xttand 212210xtttCagree when5t. This impliesthat225C , leading to the graph of xtshown.22.For03t,53( )v tt, so 2516xttC. Now10Cbecause00x, so 256xtton this first interval, and its right-endpoint value is 1523x.For37t, 5v t, so 25xttCNow152(3)ximplies that1522C , so 1525x tton this second interval, and its right-endpoint value is5527x.For710t,5357vt , so 55033v tt . Hence 2550363xtttC , and552(7)ximplies that29036C . Finally, 216( 5100290)x ttton this third inter-val, leading to the graph of xtshown.23. 9.849v tt , so the ball reaches its maximum height (0v) after5tseconds. Itsmaximum height then is254.9 549 5122.5 metersy .24.32vt and216400yt , so the ball hits the ground (0y) when5 sect, andthen 32 5160 ft/secv  .25.210 m/sa and0100 km/h27.78 m/sv, so1027.78vt , and hence 2527.78xttt . The car stops when0v, that is2.78 st, and thus the distancetraveled before stopping is2.7838.59 metersx.26.9.8100vt and24.910020ytt .0246810010203040tx(5, 12.5)Problem 210246810010203040tx(3, 7.5)(7, 27.5)Problem 22
Preview Mode

This document has 651 pages. Sign in to access the full document!

Study Now!

XY-Copilot AI
Unlimited Access
Secure Payment
Instant Access
24/7 Support
Document Chat

Document Details

Related Documents

View all