Solution Manual for Materials for Civil and Construction Engineers, 4th Edition

Simplify your textbook learning with Solution Manual for Materials for Civil and Construction Engineers, 4th Edition, providing step-by-step solutions to every chapter.

Henry Martinez
Contributor
4.2
36
5 months ago
Preview (16 of 136 Pages)
100%
Purchase to unlock

Page 1

Solution Manual for Materials for Civil and Construction Engineers, 4th Edition - Page 1 preview image

Loading page image...

MATERIALS FOR CIVIL ANDCONSTRUCTION ENGINEERS4thEditionMichael S. MamloukArizona State UniversityJohn P. ZaniewskiWest Virginia UniversitySolutionsManual

Page 2

Solution Manual for Materials for Civil and Construction Engineers, 4th Edition - Page 2 preview image

Loading page image...

Page 3

Solution Manual for Materials for Civil and Construction Engineers, 4th Edition - Page 3 preview image

Loading page image...

1CHAPTER 1. MATERIALS ENGINEERING CONCEPTS1.2.Strength at rupture =45 ksiToughness = (45 x 0.003) / 2 =0.0675 ksi1.3.A = 0.6 x 0.6 = 0.36 in2 = 50,000 / 0.36 = 138,888.9 psia= 0.007 / 2 = 0.0035 in/inl= -0.001 / 0.6 = -0.0016667 in/inE =138,888.9 / 0.0035= 39,682,543 psi = 39,683 ksi= 0.00166667 / 0.0035= 0.481.4.A = 201.06 mm2= 0.945 GPa A= 0.002698 m/mL=0.000625 m/m-E =350.3GPa= 0.231.5.A =d2/4 = 28.27 in2P / A = -150,000 / 28.27 in2= -5.31 ksiE == 8000 ksiAE = -5.31 ksi / 8000 ksi = -0.0006631 in/inLALo= -0006631 in/in (12 in) = -0.00796 inLf=L + Lo= 12 in – 0.00796 in =11.992 inL/A= 0.35Ld / do=A= -0.35 (-0.0006631 in/in) = 0.000232 in/indLdo= 0.000232 (6 in) = 0.00139 indf=d + do= 6 in + 0.00139 in =6.00139 in1.6.A =d2/4 = 0.196 in2P / A = 2,000 / 0.196 in= 10.18 ksi2(Less than the yield strength. Within the elasticregion)E == 10,000 ksiAE = 10.18 ksi / 10,000 ksi = 0.0010186 in/inLALo= 0.0010186 in/in (12 in) = 0.0122 inLf=L + Lo= 12 in + 0.0122 in =12.0122 inL/A= 0.33Ld / do=A= -0.33 (0.0010186 in/in) = -0.000336 in/indLdo= -0.000336 (0.5 in) = -0.000168 indf=d+ do= 0.5 in - 0.000168 in = 0.49998 in

Page 4

Solution Manual for Materials for Civil and Construction Engineers, 4th Edition - Page 4 preview image

Loading page image...

21.7.Lx=30 mm, Ly= 60 mm, Lz= 90 mmx=y=z== 100 MPaE = 70 GPa= 0.333x= [x-(y+z) ] /Ex= [100 x 106- 0.333 (100 x 106+ 100 x 106)] / 70 x 109= 4.77 x 10-4=y=z=Lx=x Lx= 4.77 x 10-4x 30 = 0.01431 mmLy=x Ly= 4.77 x 10-4x 60 = 0.02862 mmLz=x Lz= 4.77 x 10-4x 90 =0.04293 mmV = New volume - Original volume =[(Lx-Lx) (Ly-Ly) (Lz-Lz)] - LxLyLz= (30 - 0.01431) (60 - 0.02862) (90 - 0.04293)] - (30 x 60 x 90) = 161768 - 162000=-232 mm31.8.Lx=4 in, Ly= 4 in, Lz= 4 inx=y=z== 15,000 psiE = 1000 ksi= 0.49x= [x-(y+z) ] /Ex= [15 - 0.49 (15 + 15)] / 1000 = 0.0003 =y=z=Lx=x Lx= 0.0003 x 15 = 0.0045 inLy=x Ly= 0.0003 x 15 = 0.0045 inLz=x Lz= 0.0003 x 15 = 0.0045 inV = New volume - Original volume =[(Lx-Lx) (Ly-Ly) (Lz-Lz)] - LxLyLz= (15 - 0.0045) (15 - 0.0045) (15 - 0.0045)] - (15 x 15 x 15) = 3371.963 - 3375=-3.037 in31.9.= 0.3 x 10-163At= 50,000 psi,= 0.3 x 10-16(50,000)3= 3.75 x 10-3in./in.Secant modulus=50,0003.75x103=1.33 x 107psi2d0.9 x 10-16dAt= 50,000 psi,dd0.9 x 10-16(50,000)2= 2.25 x 10-7in.2/lbTangent modulus=dd12.25x107=4.44x106psi

Page 5

Solution Manual for Materials for Civil and Construction Engineers, 4th Edition - Page 5 preview image

Loading page image...

31.11.lateral=13.25x104= -3.25 x 10-4in./in.axial=2 1023x= 1 x 10-3in./in.=  lateralaxial3.25x101x1043=0.3251.12.axial= 0.05 / 50 = 0.001 in./in.lateral= -xaxial= -0.33 x 0.001 = -0.00303 in./in.d =lateralx d0= - 0.00825 in. (Contraction)1.13.L = 380 mmD = 10 mmP = 24.5 kN= P/A = P/r2= 24,500 N/(5 mm)2= 312,000 N/mm2= 312 MpaThe copper and aluminum can be eliminated because they have stresses larger than theiryield strengths as shown in the table below.For steel and brass,=AEPL24,500lbx380mmmm)E(kPaE(MPa118,5392(5))mmMaterialElastic Modulus(MPa)Yield Strength(MPa)Tensile Strength(MPa)Stress(MPa)(mm)Copper110,000248289312Al. alloy70,000255420312Steel207,0004485513120.573Brass alloy101,0003454203121.174The problem requires the following two conditions:a.No plastic deformationStress < Yield Strengthb.Increase in length,< 0.9 mmThe only material that satisfies both conditions issteel.1.14.This stress is less than the yield strengths of all metals listed.

Page 6

Solution Manual for Materials for Civil and Construction Engineers, 4th Edition - Page 6 preview image

Loading page image...

4MaterialE (ksi)Yield Strength (ksi)Tensile Strength (ksi)L (in.)Steel alloy 126,000125730.014Steel alloy 229,00058360.013Titanium alloy16,0001311060.023Copper17,00032100.022Only thesteel alloy 1 and steel alloy 2 have elongation less than 0.018 in.1.15.This stress is less than the yield strengths of all metals listed.MaterialE (GPa)Yield Strength (MPa)Tensile Strength (MPa)L (mm)Steel alloy 11808605020.378Steel alloy 22004002500.340Titanium alloy1109007300.618Copper117220700.581Only thesteel alloy 1 and steel alloy 2 have elongation less than 0.45 mm.1.16.a.E =/= 40,000 / 0.004 =10 x 106psib.Tangent modulus at a stress of 45,000 psi is the slope of the tangent at that stress =4.7 x106psic.Yield stress using an offset of 0.002 strain =49,000 psid.Maximum working stress= Failure stress / Factor of safety = 49,000 / 1.5 =32,670 psi1.17.a.Modulus of elasticity within the linear portion =20,000 ksi.b.Yield stress at an offset strain of0.002 in./in.70.0 ksic.Yield stress at an extension strain of0.005 in/in.69.5 ksid.Secant modulus at a stress of62 ksi.18,000 ksie.Tangent modulus at a stress of65 ksi.6,000 ksi

Page 7

Solution Manual for Materials for Civil and Construction Engineers, 4th Edition - Page 7 preview image

Loading page image...

51.18.a.Modulus of resilience = the area under the elastic portion of the stress strain curve=½(50 x 0.0025)0.0625 ksib.Toughness = the area under the stress strain curve (using the trapezoidal integrationtechnique)0.69 ksic= 40 ksi , this stress is within the elastic range, therefore, E =20,000 ksiaxial= 40/20,000 = 0.002 in./in.=0.0020.00057 axiallateral=0.285d.The permanent strain at 70 ksi =0.0018 in./in.1.19.Material AMaterial Ba.Proportional limit51 ksi40 ksib.Yield stress at an offset strainof 0.002 in./in.63 ksi52 ksic.Ultimate strength132 ksi73 ksid.Modulus of resilience0.065 ksi0.07 ksie.Toughness8.2 ksi7.5 ksif.Material B is more ductile as it undergoes moredeformation before failure1.20.Assume that the stress is within the linear elastic range.10.E0.3x16,000 .lE480 ksiThus>yieldTherefore, the applied stress is not within the linear elastic region and it is not possibleto compute the magnitude of the load that is necessary to produce the change in lengthbased on the given information.,

Page 8

Solution Manual for Materials for Civil and Construction Engineers, 4th Edition - Page 8 preview image

Loading page image...

61.21.Assume that the stress is within the linear elastic range.250.E7.6x105,000 .lE3,192 MPaThus>yieldTherefore, the applied stress is not within the linear elastic region and it is not possible tocompute the magnitude of theload that is necessary to produce the change in lengthbasedon the given information.1.22.At= 60,000 psi,=/ E = 60,000 / (30 x 106) = 0.002 in./in.a.For a strain of0.001 in./in.:=E = 0.001 x 30 x 106=30,000 psi (for both i and ii)b.For a strain of0.004 in./in.:=60,000 psi(for i)= 60,000 + 2 x 106(0.004 - 0.002) =64,000 psi (for ii)1.23.a.Slope of the elastic portion =600/0.003 = 2x105MPaSlope of the plastic portion =(800-600)/(0.07-0.003) = 2,985 MPaStrain at 650 MPa =0.003 + (650-600)/2,985 = 0.0198 m/mPermanent strain at 650 MPa =0.0198 – 650/(2x105) =0.0165 m/mb.Percent increase in yield strength =100(650-600)/600 =8.3%c.The strain at 625 MPa =This strain is elastic.625/(2x105) =0.003125 m/m1.24.a.0.000399 Pa = 398 MPab.

Page 9

Solution Manual for Materials for Civil and Construction Engineers, 4th Edition - Page 9 preview image

Loading page image...

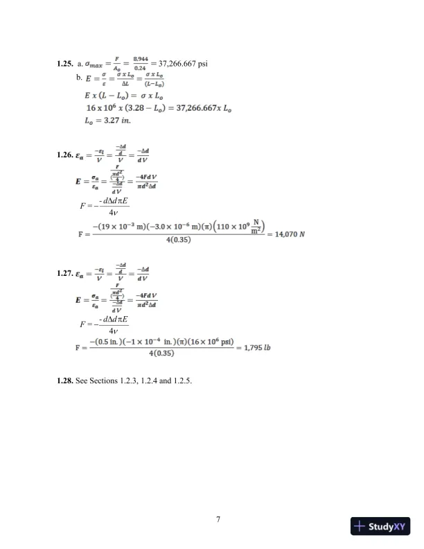
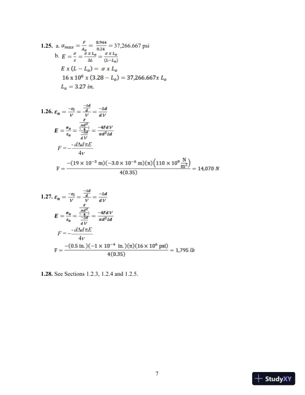
71.25.a.37,266.667 psib.1.26.4=F- ddE1.27.4=F- ddE1.28.See Sections 1.2.3, 1.2.4 and 1.2.5.

Page 10

Solution Manual for Materials for Civil and Construction Engineers, 4th Edition - Page 10 preview image

Loading page image...

81.29.The stresses and strains can be calculated as follows:= P/Ao= 150 / (x 22) = 11.94 psi= (Ho-H)/Ho= (6-H)/6The stresses and strains are shown in the following table:Time(min.)H(in.)StrainStress(psi)(in./in.)060.0000011.93660.015.99160.0014011.936625.9870.0021711.936655.98330.0027811.9366105.97960.0034011.9366205.97530.0041211.9366305.97250.0045811.9366405.97080.0048711.9366505.96960.0050711.9366605.96880.0052011.936660.015.97720.003800.0000625.98070.003220.0000655.98410.002650.0000705.98790.002020.0000805.99260.001230.0000905.99420.000970.00001005.99540.000770.00001105.99590.000680.00001205.99640.000600.0000

Page 11

Solution Manual for Materials for Civil and Construction Engineers, 4th Edition - Page 11 preview image

Loading page image...

9a.Stress versus time plot for the asphalt concrete sample02468101214050100150Stress, psiTime, minutesStrain versus time plot for the asphalt concrete sampleb.Elastic strain =0.0014 in./in.c.The permanent strain at the end of the experiment =0.0006 in./in.d.The phenomenon of the change of specimen height during static loading is calledcreepwhilethe phenomenon of the change of specimen height during unloading called is calledrecovery.

Page 12

Solution Manual for Materials for Civil and Construction Engineers, 4th Edition - Page 12 preview image

Loading page image...

101.30.See Figure 1.12(a).1.31.a.For FFo:= F.t /For F > Fo, movementb.For FFo:= F / MFor F > Fo:= F / M + (F - Fo) t /1.32.See Section 1.2.7.1.34.a.For P = 5 kNStress = P / A = 5000 / (x 52) = 63.7 N/mm2= 63.7 MPaStress / Strength = 63.7 / 290 = 0.22From Figure 1.16, anunlimited numberof repetitions can be applied without fatiguefailure.b.For P = 11 kNStress = P / A = 11000 / (x 52) = 140.1 N/mm2= 140.1 MPaStress / Strength = 140.1 / 290 = 0.48From Figure 1.16,N7001.35.See Section 1.2.8.1.36.MaterialSpecific GravitySteel7.9Aluminum2.7Aggregates2.6 - 2.7Concrete2.4Asphalt cement1 - 1.11.37.See Section 1.3.2.1.38.L =LxT x L= 12.5E-06x(115-15)x200/1000= 0.00025 m = 250 micronsRod length = L +L=200,000+ 250 =200,250 micronsCompute change in diameter linear methodd =dxT x d =12.5E-06 x (115-15) x 20 = 0.025 mmFinal d =20.025 mm

Page 13

Solution Manual for Materials for Civil and Construction Engineers, 4th Edition - Page 13 preview image

Loading page image...

11Compute change in diameter volume methodV =VxT x V= (3x12.5E-06)x(115-15)x(10/1000)2x200/1000 = 2.3562 x 1011m3Rod final volume= V +V =r2L +Vx+ 2.3562 x 1011= 6.31 x 1013m3Final d =20.025 mmThere is no stress acting on the rod because the rod is free to move.1.39.Since the rod is snugly fitted against two immovable nonconducting walls, the length of therod will not change,L = 200 mmFrom problem 1.25,L= 0.00025 m=L/ L =0.00025/ 0.2 = 0.00125 m/m=E = 0.00125 x 207,000 =258.75 MPaThe stress induced in the bar will be compression.1.40.a.The change in length can be calculated using Equation 1.9 as follows:L =LxT x L= 1.1E-5 x (5 - 40) x 4=-0.00154 mb.The tension load needed to return the length to the original value of 4 meters can becalculated as follows:=L/ L = -0.00154/ 4 = -0.000358 m/m=E = -0.000358 x 200,000 = -77 MPaP =x A = -77 x (100 x 50) = -385,000 N =-385 kN (tension)c.Longitudinal strain under this load =0.000358 m/m1.41.If the bar was fixed at one end and free at the other end, the bar would have contracted andno stresses would have developed.In that case, the change in length can be calculatedusing Equation 1.9 as follows.L =LxT x L= 0.000005 x (0 - 100) x 50= -0.025 in.=L/ L = 0.025 / 50 = 0.0005 in./in.Since the bar is fixed at both ends, the length of the bar will not change.Therefore, atensile stress will develop in the bar as follows.=E= -0.0005 x 5,000,000 = -2,500 psiThus, the tensile strength should be larger than2,500 psiin order to prevent cracking.1.43.See Section 1.7.

Page 14

Solution Manual for Materials for Civil and Construction Engineers, 4th Edition - Page 14 preview image

Loading page image...

121.44.See Section 1.7.11.45.Ho:32.4 MPaH1:32.4 MPa= 0.05To=x= -3(/n)Degree of freedom == n - 1 = 15From the statistical t-distribution table,T,= T0.05, 15= -1.753To< T,Therefore,rejectthe hypothesis. The contractor’s claim is not valid.1.46.Ho:5,000 psiH1:5,000 psi= 0.05To=x= -2.236(/n)Degree of freedom == n - 1 = 19From the statistical t-distribution table,T,= T0.05, 19= -1.729To< T,Therefore,rejectthe hypothesis. The contractor’s claim is not valid.1.47.psixnxxiini5,698.2520113,965202011ixnxxsiinii571.351205698.25)(1)(1/ 220121/ 212psiCoefficient of Variation=10.03%5698.25571.35100100  sxb.The control chart is shown below.

Page 15

Solution Manual for Materials for Civil and Construction Engineers, 4th Edition - Page 15 preview image

Loading page image...

13The target value is any value above the specification limit of 5,000 psi. The plantproduction is meeting the specification requirement.

Page 16

Solution Manual for Materials for Civil and Construction Engineers, 4th Edition - Page 16 preview image

Loading page image...

141.48.a.i20110.72020i11inixnxx5.5 %1/ 220121/ 2121205.5)(1)(iiniixnxxs0.33 %  s5.50.33100100xC6 %b.The control chart is shown below.The control chart shows that most of the samples have asphalt content within thespecification limits. Only few samples are outside the limits. The plot shows no specifictrend, but large variability especially in the last several samples.1.49.See Section 1.8.2.1.50.See Section 1.8.
Preview Mode

This document has 136 pages. Sign in to access the full document!

Study Now!

XY-Copilot AI
Unlimited Access
Secure Payment
Instant Access
24/7 Support
Document Chat

Document Details

Related Documents

View all