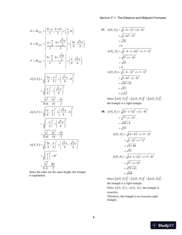
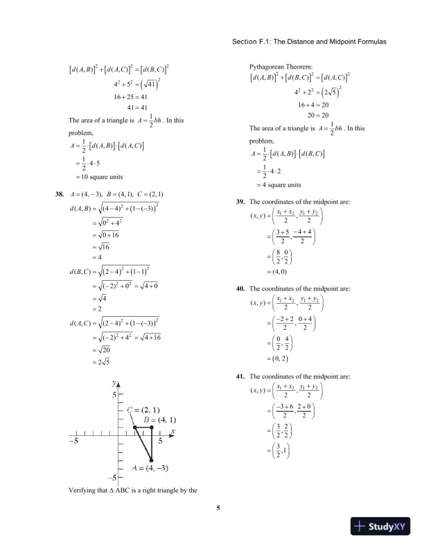
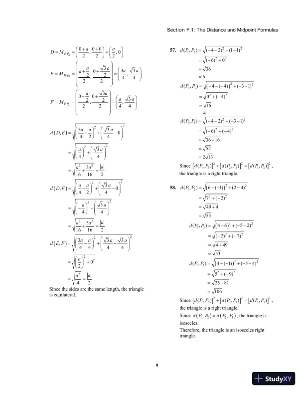
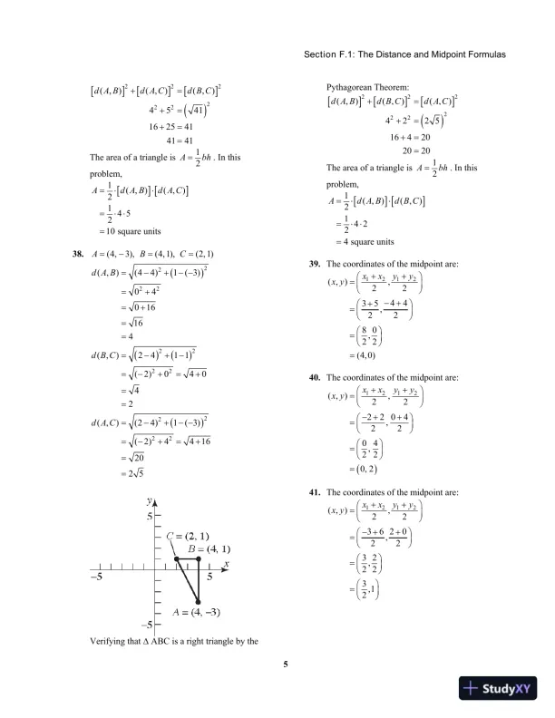
Page 1

Loading page ...
Looking for textbook solutions? Solution Manual for Precalculus: Concepts Through Functions, A Unit Circle Approach to Trigonometry, 4th Edition has got you covered with detailed answers to all your textbook questions.

Loading page ...
This document has 1527 pages. Sign in to access the full document!