Test Bank For Organic Chemistry, 5th Edition

Ensure exam success with Test Bank For Organic Chemistry, 5th Edition, featuring key insights, exam tricks, and practice exercises.

Julian Cooper
Contributor
5.0
46
5 months ago
Preview (16 of 814 Pages)
100%
Purchase to unlock

Page 1

Test Bank For Organic Chemistry, 5th Edition - Page 1 preview image

Loading page image...

Organic ChemistryFIFTH EDITIONMaitland Jones, Jr., Steven A. FlemingThomas A. GrayTHE SAGE COLLEGESEkaterina N. KadnikovaGUSTAVUS ADOLPHUS COLLEGEAlan J. KennanCOLORADO STATE UNIVERSITYTEST BANK

Page 2

Test Bank For Organic Chemistry, 5th Edition - Page 2 preview image

Loading page image...

Page 3

Test Bank For Organic Chemistry, 5th Edition - Page 3 preview image

Loading page image...

PrefacevChapter 1 | Atoms and Molecules; Orbitals and Bonding1Chapter 2 | Alkanes28Chapter 3 | Alkenes and Alkynes59Chapter 4 | Stereochemistry90Chapter 5 | Rings126Chapter 6 | Substituted Alkanes: Alkyl Halides, Alcohols, Amines, Ethers, Thiols,and Thioethers154Chapter 7 | Substitution Reactions: The SN2 and SN1 Reactions182Chapter 8 | Elimination Reactions: The E1 and E2 Reactions208Chapter 9 | Analytical Chemistry: Spectroscopy240Chapter 10 | Electrophilic Additions to Alkenes280Chapter 11 | More Additions to pi Bonds319Chapter 12 | Radical Reactions361Chapter 13 | Dienes and the Allyl System: 2pOrbitals in Conjugation398Chapter 14 | Aromaticity435Chapter 15 | Substitution Reactions of Aromatic Compounds465Chapter 16 | Carbonyl Chemistry 1: Addition Reactions506Chapter 17 | Carboxylic Acids557Chapter 18 | Derivatives of Carboxylic Acids: Acyl Compounds598Chapter 19 | Carbonyl Chemistry 2: Reactions at the alpha Position639Chapter 20 | Carbohydrates697Chapter 21 | Special Topic: Bioorganic Chemistry721CONTENTSiii

Page 4

Test Bank For Organic Chemistry, 5th Edition - Page 4 preview image

Loading page image...

Chapter 22 | Special Topic: Amino Acids and Polyamino Acids (Peptides and Proteins)740Chapter 23 | Special Topic: Reactions Controlled by Orbital Symmetry758Chapter 24 | Special Topic: Intramolecular Reactions and Neighboring Group Participation784ivCONTENTS

Page 5

Test Bank For Organic Chemistry, 5th Edition - Page 5 preview image

Loading page image...

that assess the material to be learned at the appropriatelevel, and (c) enable instructors to accurately judge stu-dents’ mastery of the material—what they know, whatthey don’t know, and to what degree—based on theassessment outcomes. Accurate assessments of studentmastery allow instructors to focus on areas where stu-dents need the most help.HOW DOES IT WORK?The test bank authors listed the learning objectives fromeach chapter that they believed are the most importantfor students to learn. The author then developed ques-tions designed to test students’ knowledge of a particularlearning objective. By asking students questions thatvary in both type and level of difficulty, instructors cangather different types of evidence, which will allow themto more effectively assess how well students understandspecific concepts.Six Question Types:1. Rememberingquestions—testdeclarativeknowl-edge, including textbook definitions and relation-ships between two or more pieces of information.Can students recall or remember the information inthe same form it was learned?2. Understanding questions—pose problems in a con-text different from the one in which the material waslearned, requiring students to draw from their declar-ative and/or procedural understanding of importantconcepts. Can students explain ideas or concepts?3. Applying questions—ask students to draw from theirprior experience and use critical-thinking skills totake part in qualitative reasoning about the real world.Can students use learned information in another taskor situation?When was the last time you were pleased with the con-sistency and quality of the assessment supplements thatcome with introductory texts? If you are like most pro-fessors, you probably find that these assessment pack-ages do not always meet your needs. To address thisissue, Norton has collaborated with Valerie Shute (Flor-ida State University) and Diego Zapata-Rivera (Educa-tional Testing Services) to develop a methodology fordelivering high-quality, valid, and reliable assessmentsupplements through our test banks and extensive suiteof support materials.WHY A NEW APPROACH?In evaluating the test banks that accompany introductorytexts, we found four substantive problem areas associatedwith the questions:1. Test questions were misclassified in terms of typeand difficulty.2. The prevalence of low-level and factual questionsmisrepresented the goals of the course.3. Topics were unevenly distributed: Trivial topics weretested via multiple items, while important conceptswere not tested at all.4. Links to course topics were too general, thus pre-venting diagnostic use of the item information.STUDENT COMPETENCIES ANDEVIDENCE-CENTERED DESIGNIn December 2007, we conducted a focus group with thebrightest minds in educational testing to create a newmodel for assessment. A good assessment tool needs to(a) define what students need to know and the level ofknowledge and skills expected, (b) include test itemsPREFACEv

Page 6

Test Bank For Organic Chemistry, 5th Edition - Page 6 preview image

Loading page image...

viPREFACEor confusing material is included, and no slang expres-sions are used. In developing the questions, every efforthas been made to eliminate bias (e.g., race, gender, cul-tural, ethnic, regional, handicap, age) to require specificknowledge of material studied, not of general knowl-edge or experience. This ensures accessibility andvalidity.KEY TO THE QUESTION METADATAEach question in the Test Bank is tagged with five piecesof information designed to help instructors create themost ideal mix of questions for their quiz or exam. Thesetags are:ANS:This is the correct answer for each question. Or,in the case of some short answer questions, a pos-sible correct answer to the given question.DIF:This is the difficulty assigned to the problem.Problems have been classified as Easy, Medium,or Difficult.REF:This is the section in the textbook from which aquestion is drawn.OBJ:This is the learning objective that the question isdesigned to test.MSC:This is the knowledge type (see above) the ques-tion is designed to test.4. Analyzing questions—test students’ ability to breakdown information and see how different elementsrelate to each other and to the whole. Can studentsdistinguish among the different parts?5. Evaluating questions—ask students to assess infor-mation as a whole and frame their own argument.Can students justify a stand or decision?6. Creating questions—pose questions or objectives thatprompt students to put elements they have learnedtogether into a coherent whole to generate new ideas.Can students create a new product or point of viewbased on data?Three Difficulty Levels:1. Easy questions—require a basic understanding ofthe concepts, definitions, and examples.2. Medium questions—direct students to use criticalthinking skills, to demonstrate an understanding ofcoreconceptsindependentofspecifictextbookexamples, and to connect concepts across chapters.3. Difficult questions—ask students to synthesize text-book concepts with their own experience, makinganalytical inferences about biological topics and more.Each question measures and explicitly links to a spe-cific competency and is written with clear, concise, andgrammatically correct language that suits the difficultylevel of the specific competency being assessed. To ensurethe validity of the questions, no extraneous, ambiguous,

Page 7

Test Bank For Organic Chemistry, 5th Edition - Page 7 preview image

Loading page image...

1CHAPTER 1Calculate formal chargeMultiple Choice: 13–15, 18Analyze resonance forms for stabilityMultiple Choice: 19Identify resonance structuresMultiple Choice: 20–24Construct molecular orbital diagramsMultiple Choice: 25Short Answer: 21–23Apply rules for molecular orbital constructionMultiple Choice: 26–30, 32Identify types of bond cleavageMultiple Choice: 31Short Answer: 26Understand Lewis acids and basesMultiple Choice: 33Short Answer: 28–31Apply rules and properties for atomic orbitalsShort Answer: 3Draw Lewis structuresShort Answer: 9–13Draw resonance formsShort Answer: 15, 17, 18, 20Analyze resonance formsShort Answer 16, 19Apply thermodynamics of bond formationShort Answer: 25, 27LEARNING OBJECTIVESUnderstand properties of atomic orbitalsMultiple Choice: 1Short Answer: 6, 24Evaluate trends in IP, EA in periodic tableMultiple Choice: 2Determine atomic orbital structureMultiple Choice: 3Apply rules for quantum numbersMultiple Choice: 4, 5Short Answer: 7Understand the rules for quantum mechanicsMultiple Choice: 6Short Answer: 1, 2, 5Apply rules and properties for atomic orbitalsShort Answer: 3Construct electronic configuration using rules forquantum mechanicsShort Answer: 8Derive nodes based on quantum numbersMultiple Choice: 7–9Apply rules for Lewis structuresMultiple Choice: 10, 16Determine polarity based on 3D structure,bond dipolesMultiple Choice: 11Short Answer: 14Determine a dipole moment from a structureMultiple Choice: 12, 17Chapter 1: Atoms and Molecules; Orbitals and Bonding

Page 8

Test Bank For Organic Chemistry, 5th Edition - Page 8 preview image

Loading page image...

2CHAPTER 1MULTIPLE CHOICE1.Which of the following statements about atomic orbitals isfalse?a.A 1sorbital is spherically symmetrical.b.An atomic orbital may contain zero, one, or two electrons.c.A 2sorbital and a 2porbital are equal in energy.d.A 2pxorbital and a 2pyorbital are equal in energy.e.A 2porbital is not spherically symmetrical.ANS: CDIF:EasyREF:1.1OBJ:Understand properties of atomic orbitalsMSC: Remembering2.Which of the following statements is true?a.Ionization potential decreases going across a row left to right.b.Ionization potential increases going down a group.c.Electron affinity increases going across a row left to right.d.Electron affinity increases going down a group.e.Atoms with high ionization potentials have correspondingly high electron affinities.ANS: CDIF:EasyREF:1.2OBJ:Evaluate trends in IP, EA in periodic tableMSC: Remembering3.What is the total number of occupiedporbitals in a neutral phosphorus atom?a.2d.9b.3e.12c.6ANS: CDIF:EasyREF:1.2OBJ:Determine atomic orbital structureMSC: Analyzing4.Which one of the following sets of quantum numbers is impossible?a.n= 1,l= 0,ml= 0,s=+½d.n= 2,l= 1,ml=1,s=½b.n= 1,l= 1,ml= 0,s=+½e.n= 3,l= 0,ml= 0,s=½c.n= 2,l= 1,ml= 1,s=+½ANS: BDIF:EasyREF:1.2OBJ:Apply rules for quantum numbersMSC: Applying5.Which of these sets of quantum numbers would define an electron in the 5dsubshell?a.n= 5;l= 2,ml=3,s= ½d.n= 5;l= 2,ml=2,s= 1b.n= 5;l= 2,ml=2,s= ½e.n= 5;l= 1,ml= 0,s=½c.n= 5;l= 4,ml=2,s= –½ANS: BDIF:EasyREF:1.2OBJ:Apply rules for quantum numbersMSC: Applying

Page 9

Test Bank For Organic Chemistry, 5th Edition - Page 9 preview image

Loading page image...

3CHAPTER 16.The rule or principle that states that the electronic state with the greatest number of unpaired spinswill have the lowest energy is calleda.the Pauli principled.Hund’s ruleb.the aufbau principlee.the octet rulec.the Heisenberg uncertainty principleANS: DDIF:EasyREF:1.2OBJ:Understand the rules for quantum mechanicsMSC: Remembering7.d-orbitals have two nodal planes. How manysphericalnodes will a 5dorbital contain?a.1d.4b.2e.5c.3ANS: BDIF:DifficultREF:1.2OBJ:Derive nodes based on quantum numbersMSC: Analyzing8.Which of the following statements accurately describes the node(s) in a 2sorbital?a.There are zero nodes in a 2sorbital.b.A 2sorbital has one spherical node.c.A 2sorbital has one nodal plane.d.A 2sorbital has one spherical node and one nodal plane.e.A 2sorbital has two spherical nodes.ANS: BDIF:MediumREF:1.2OBJ:Derive nodes based on quantum numbersMSC: Analyzing9.Which of the following statements accurately describes the node(s) in a 2porbital?a.There are zero nodes in a 2porbital.b.A 2porbital has one spherical node.c.A 2porbital has one nodal plane.d.A 2porbital has one spherical node and one nodal plane.e.A 2porbital has two spherical nodes.ANS: CDIF:MediumREF:1.2OBJ:Derive nodes based on quantum numbersMSC: Analyzing

Page 10

Test Bank For Organic Chemistry, 5th Edition - Page 10 preview image

Loading page image...

4CHAPTER 110.Which of the Lewis structures shown below isincorrect?a.d.b.e.c.ANS: DDIF:MediumREF:1.3OBJ:Apply rules for Lewis structuresMSC: Analyzing11.Indicate which of the species shown are expected to have a net dipole moment.a.d.b.e.c.ANS: ADIF:DifficultREF:1.3OBJ:Determine polarity based on 3D structure, bond dipolesMSC: Analyzing

Page 11

Test Bank For Organic Chemistry, 5th Edition - Page 11 preview image

Loading page image...

5CHAPTER 112.Which of the following Lewis structures shows anincorrectlydrawn bond dipole?a.d.b.e.c.ANS: ADIF:EasyREF:1.3OBJ:Determine a dipole moment from a structureMSC: Analyzing13.In which of the following Lewis structures does the nitrogen atom have a formal charge of 1+?a.d.b.e.c.ANS: BDIF:EasyREF:1.3OBJ:Calculate formal chargeMSC: Applying

Page 12

Test Bank For Organic Chemistry, 5th Edition - Page 12 preview image

Loading page image...

6CHAPTER 114.What is the formal charge on the oxygen atom in each of the following Lewis structures?a.A: 0,B: 1–,C: 1+b.A: 1+,B: 1–,C: 0c.A: 1–,B: 1+,C: 0d.A: 1–,B: 1–,C: 1–e.A: 1+,B: 1+,C: 1–ANS: BDIF:EasyREF:1.3OBJ:Calculate formal chargeMSC: Applying15.Which of the following Lewis structures contains an oxygen atom with a 1+ formal charge?a.d.b.e.c.ANS: DDIF:EasyREF:1.3OBJ:Calculate formal chargeMSC: Applying16.Which of the following structures is the best Lewis structure for hypochlorous acid, HOCl?a.d.b.e.c.ANS: ADIF:MediumREF:1.3OBJ:Apply rules for Lewis structuresMSC: Analyzing

Page 13

Test Bank For Organic Chemistry, 5th Edition - Page 13 preview image

Loading page image...

7CHAPTER 117.Which of the following molecules has a net dipole moment?a.d.b.e.c.ANS: ADIF:MediumREF:1.3OBJ:Determine a dipole moment from a structureMSC: Applying18.In which of the following structures does the carbon atom have a formal charge that isnotzero?a.d.b.e.Both c and dc.ANS: CDIF:MediumREF:1.3OBJ:Calculate formal chargeMSC: Applying

Page 14

Test Bank For Organic Chemistry, 5th Edition - Page 14 preview image

Loading page image...

8CHAPTER 119.Which of the following resonance forms would be expected to be the most important contributorfor the anionic species?a.d.b.e.c.ANS: BDIF:MediumREF:1.4OBJ:Analyze resonance forms for stabilityMSC: Analyzing20.Which of the following arrow conventions is used to show the relationship of two chemicalspecies as resonance structures?a.d.b.e.Both a and bc.ANS: ADIF:EasyREF:1.4OBJ:Identify resonance structuresMSC: Remembering

Page 15

Test Bank For Organic Chemistry, 5th Edition - Page 15 preview image

Loading page image...

9CHAPTER 121.Which two of the following structures areequivalentresonance contributors?a.AandBd.AandDb.AandCe.All the structures are equivalent.c.BandCANS: BDIF:EasyREF:1.4OBJ:Identify resonance structuresMSC: Analyzing22.Which of the following pairs arenotrelated as resonance structures?a.b.c.d.e.ANS: CDIF:MediumREF:1.4OBJ:Identify resonance structuresMSC: Analyzing

Page 16

Test Bank For Organic Chemistry, 5th Edition - Page 16 preview image

Loading page image...

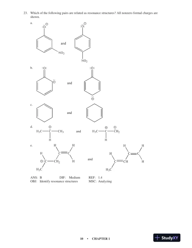
10CHAPTER 123.Which of the following pairs are related as resonance structures? All nonzero formal charges areshown.a.b.c.d.e.ANS: BDIF:MediumREF:1.4OBJ:Identify resonance structuresMSC: Analyzing
Preview Mode

This document has 814 pages. Sign in to access the full document!

Study Now!

XY-Copilot AI
Unlimited Access
Secure Payment
Instant Access
24/7 Support
Document Chat

Document Details

Subject
Chemistry

Related Documents

View all