ACCP Updates in Therapeutics® 2022: Pharmacotherapy Preparatory Review and Recertification Course (2022)

ACCP Updates in Therapeutics® 2022: Pharmacotherapy Preparatory Review and Recertification Course (2022) is your essential resource for acing certification exams with confidence.

Elizabeth Chen
Contributor
4.3
65
9 months ago
Preview (31 of 1105 Pages)
100%
Purchase to unlock

Page 1

ACCP Updates in Therapeutics® 2022: Pharmacotherapy Preparatory Review and Recertification Course (2022) - Page 1 preview image

Loading page image...

Page 2

ACCP Updates in Therapeutics® 2022: Pharmacotherapy Preparatory Review and Recertification Course (2022) - Page 2 preview image

Loading page image...

Page 3

ACCP Updates in Therapeutics® 2022: Pharmacotherapy Preparatory Review and Recertification Course (2022) - Page 3 preview image

Loading page image...

ACCP Updates in Therapeutics® 2022: Pharmacotherapy Preparatory Review and Recertification Course1-xiiiTable of ContentsTABLE OFCONTENTS (Volume 1)Fluids, Electrolytes, and Nutrition1-1Fluid Management; Osmolality; Hypertonic Saline; Hypotonic Intravenous Fluids; Hyponatremiaand Hypo-osmolality States; Hypernatremia and Hyperosmolar States; Disorders of K+; Disordersof Magnesium Homeostasis; Disorders of Phosphorus Homeostasis; Disorders of Calcium Homeostasis;Enteral Nutrition; Parenteral NutritionEndocrine and Metabolic Disorders1-55Thyroid Disorders; Pituitary Gland Disorders; Adrenal Gland Disorders; Obesity; Polycystic OvarySyndrome; Diabetes Mellitus; Treatment of Diabetes Mellitus Complications; Diabetes InsipidusPulmonary Disorders and Adult Immunizations1-113Asthma; Chronic Obstructive Pulmonary Disease; Adult ImmunizationsGeriatrics1-169Optimizing Pharmacotherapy in Older Adults; Dementia; Behavioral and PsychologicalSymptoms of Dementia; Urinary Incontinence; Benign Prostatic Hypertrophy; Osteoarthritis(OA); Rheumatoid Arthritis (RA); GoutBiostatistics: A Refresher1-217Introduction to Statistics; Types of Variables and Data; Types of Statistics; Population Distributions;Confidence Intervals; Hypothesis Testing; Decision Errors, Statistical Tests and Choosing aStatistical Test; Correlation and Regression; Survival Analysis; Summary of Selecting Statistical TestsStudy Designs: Fundamentals and Interpretation1-241Introduction: Why Do Pharmacists Need to Know About Study Design and Interpretation;Various Concepts in Study Design; Case Reports/Case Series; Observational Study Designs;Incidence, Prevalence, Relative Risks/Risk Ratios, Odds Ratios, and Hazard Ratios; RandomizedControlled Trial Design; Other Issues to Consider in Controlled Trials; Controlled Clinical Trials:Analysis; Common Approaches to Analyzing Clinical Trials; Systematic Review/Meta-analysis;Summary Measures of Effect; Reporting Guidelines for Clinical Studies; PharmacoeconomicStudies; Sensitivity/Specificity/Predictive Values; Professional Writing: The Publication ProcessAnticoagulation1-273Stroke Prevention in Nonvalvular Atrial Fibrillation; Anticoagulation in Valvular Disease;Prevention of Venous Thromboembolism; Treatment of Venous Thromboembolism; Reversalof Anticoagulation1-xiii

Page 4

ACCP Updates in Therapeutics® 2022: Pharmacotherapy Preparatory Review and Recertification Course (2022) - Page 4 preview image

Loading page image...

ACCP Updates in Therapeutics® 2022: Pharmacotherapy Preparatory Review and Recertification Course1-xivTable of ContentsCritical Care1-329Interpretation of Hemodynamic Parameters; Treatment of Shock; Interpretation of Acid-BaseDisturbances; Cardiac Arrest; Acute Respiratory Failure; Pain, Agitation, Delirium, andNeuromuscular Blockade; Glucose Control; Preventing Stress Ulcers; Pharmacologic Therapyfor Preventing Venous Thromboembolism; Preventing Ventilator-Associated Pneumonia;Nutrition Support in Critically Ill Patients; Intracranial HemorrhageChronic Care in Cardiology1-389Heart Failure; Atrial Fibrillation; Hypertension; Dyslipidemia; Chronic Coronary Heart Diseaseand Chronic Stable AnginaAcute Care in Cardiology1-451Acute Coronary Syndrome; Acute Decompensated Heart Failure; Acute Life-ThreateningArrhythmias; Hypertensive CrisesNeurology1-513Epilepsy; Ischemic Stroke; Parkinson Disease; Headache; Multiple Sclerosis; Peripheral Neuropathy

Page 5

ACCP Updates in Therapeutics® 2022: Pharmacotherapy Preparatory Review and Recertification Course (2022) - Page 5 preview image

Loading page image...

ACCP Updates in Therapeutics® 2022: Pharmacotherapy Preparatory Review and Recertification Course2-xiiiTable of ContentsTABLE OFCONTENTS (Volume 2)General Psychiatry2-1Schizophrenia; Major Depressive Disorder (MDD); Bipolar Disorder; Anxiety and Related Disorders(OCD, PTSD); Insomnia; Substance Use DisordersInfectious Diseases I2-71Respiratory Tract Infections; Urinary Tract Infections; Skin and Structure Infections; DiabeticFoot Infections; Osteomyelitis; Central Nervous System Infections; Endocarditis; Peritonitis andIntra-abdominal Infections;Clostridioides difficileInfection; Surgical ProphylaxisInfectious Diseases II2-125Human Immunodeficiency Virus; Opportunistic Infections: Patients with HIV; Tuberculosis; FungalPharmacotherapy; Antifungal AgentsMen’s and Women’s Health2-173Hormone Therapy and Menopause; Osteoporosis; Drugs in Pregnancy; Drugs in Lactation;Complications in Pregnancy; Overview of Contraception; Combined Hormonal Contraceptives,Containing Both an Estrogen and a Progestin Hormone; Progestin-only Contraceptives, ContainingOnly a Progestin Agent with No Estrogen; Intrauterine Devices (IUDs) and Systems (IUSs);Implant (Nexplanon); Lactic Acid, Citric Acid, and Potassium Bitartrate Vaginal Gel (Phexxi);Emergency Contraception; Menstrual Disorders (Independent Study); Infertility; SexuallyTransmitted Infections Including Pelvic Inflammatory Disease, Gynecologic Infections;Prostatic Infections; Male Sexual DysfunctionPharmacokinetics: A Refresher2-259Basic Pharmacokinetic Relationships; Absorption; Distribution; Clearance; NonlinearPharmacokinetics; Noncompartmental Pharmacokinetics; Data Collection and Analysis;Pharmacokinetics in Renal Disease; Pharmacokinetics in Hepatic Disease; Pharmacodynamics;Therapeutic Drug MonitoringNephrology2-297Acute Kidney Injury or Acute Renal Failure; Drug-Induced Kidney Damage; Chronic KidneyDisease; Renal Replacement Therapy; Managing the Complications of Chronic Kidney Disease;Dosage Adjustments in Kidney DiseaseOncology Supportive Care2-345Antiemetics; Pain Management; Treatment of Febrile Neutropenia; Use of Colon-StimulatingFactors for Prevention of Febrile Neutropenia; Thrombocytopenia; Anemia and Fatigue;Chemoprotectants; Oncologic Emergencies; Miscellaneous Antineoplastic PharmacotherapyGastrointestinal Disorders2-391Gastroesophageal Reflux Disease (GERD); Peptic Ulcer Disease; Upper GI Bleeding; InflammatoryBowel Disease; Complications of Liver Disease; Viral Hepatitis; Nausea and Vomiting; Pancreatitis;Diarrhea; Constipation; Irritable Bowel Syndrome2-xiii

Page 6

ACCP Updates in Therapeutics® 2022: Pharmacotherapy Preparatory Review and Recertification Course (2022) - Page 6 preview image

Loading page image...

ACCP Updates in Therapeutics® 2022: Pharmacotherapy Preparatory Review and Recertification Course2-xivTable of ContentsPediatrics2-479Sepsis and Meningitis; Respiratory Syncytial Virus Infection; Otitis Media; Immunizations;Pediatric Seizure Disorders; Attention-Deficit/Hyperactivity DisorderHealthcare Systems and Population Health2-523Introduction; Quality Improvement (QI); Technology Supports Initially Focused on Productionand Productivity with Dispensing; Quality Medication Use in Healthcare Systems; PopulationHealth; Communication and Education for Providers and Staff; Barriers in Communicationwith Patients and Caregivers; ConclusionDrug Information and Communication Strategies in Pharmacy2-545Retrieving Drug Information; Communicating Drug Information

Page 7

ACCP Updates in Therapeutics® 2022: Pharmacotherapy Preparatory Review and Recertification Course (2022) - Page 7 preview image

Loading page image...

Fluids, Electrolytes,and NutritionLeslie A. Hamilton, Pharm.D., FCCP, FCCM, FNCS,BCPS, BCCCPUniversity of Tennessee Health Science CenterCollege of PharmacyKnoxville, TennesseeALGRAWANY

Page 8

ACCP Updates in Therapeutics® 2022: Pharmacotherapy Preparatory Review and Recertification Course (2022) - Page 8 preview image

Loading page image...

Page 9

ACCP Updates in Therapeutics® 2022: Pharmacotherapy Preparatory Review and Recertification Course (2022) - Page 9 preview image

Loading page image...

Fluids, Electrolytes, and NutritionACCP Updates in Therapeutics® 2022: Pharmacotherapy Preparatory Review and Recertification Course1-3Fluids, Electrolytes,and NutritionLeslie A. Hamilton, Pharm.D., FCCP, FCCM, FNCS,BCPS, BCCCPUniversity of Tennessee Health Science CenterCollege of PharmacyKnoxville, TennesseeALGRAWANY

Page 10

ACCP Updates in Therapeutics® 2022: Pharmacotherapy Preparatory Review and Recertification Course (2022) - Page 10 preview image

Loading page image...

Fluids, Electrolytes, and NutritionACCP Updates in Therapeutics® 2022: Pharmacotherapy Preparatory Review and Recertification Course1-4Learning Objectives1.Recommendanappropriateintravenousfluidreg-imenandmonitoringparametersgivenapatientclinical scenario.2.Discuss the appropriate roles and risks of hyper-tonic and hypotonic saline, recommend treatmentregimens,anddiscussappropriatemonitoringparameters to ensure safe and effective use of theseintravenousfluids.3.Assess electrolyte abnormalities and recommendanappropriatepharmacologictreatmentplanbasedonindividualpatientsignsandsymptoms.4.Recommendapatient-specificenteralnutrition(EN) or parenteral nutrition (PN) formula, infusionrate,andmonitoringparametersbasedonnutri-tional needs, comorbidities, and clinical condition.Abbreviations in This ChapterAAamino acidADHantidiuretic hormoneASPENAmerican Society for Parenteral and EnteralNutritionBEEbasalenergyexpenditureBUNbloodureanitrogenD5W5%dextroseECextracellularECGelectrocardiogramENenteral nutritionGIgastrointestinalIBWidealbodyweightICintracellularICUintensive care unitISinterstitialLBWleanbodyweightMWmolecularweightNGnasogastricPNparenteral nutritionSCrserum creatinineSIADHsyndrome of inappropriate secretion ofantidiuretic hormoneTBFtotalbodyfluidWBCwhite blood cell countSelf-Assessment QuestionsAnswers and explanations to these questions can befound at the end of this chapter.1.A74-year-oldwoman(weight72kg)arrivesintheemergencydepartmentwitha3-dayhistoryofcough,bodytemperatureof102°F(38.9°C),andlethargy.Shehasthefollowingvitalsignsandlaboratoryvalues:bloodpressure72/40mmHg,heartrate115beats/minute,urineoutput10mL/hour,whitebloodcellcount(WBC)18×103cells/mm3,hemoglobin12.5g/dL,andbloodureanitro-gen(BUN)/serumcreatinine(SCr)ratioof28:1.7mg/dL(baselineSCr1.2mg/dL),andbloodglu-cose82mg/dL.Aftera500-mLfluidbolusof0.9%sodiumchloride,herbloodpressureis80/46mmHgandherheartrateis113beats/minute.Herchestradiographisconsistentwithpneumonia.Hermed-ical history includes coronary artery disease andarthritis. Which is the most appropriate treatmentat this time?A.Furosemide40mgintravenously.B.5%albumin500mLinfusedover4hoursplusnorepinephrine titrated to maintain a systolicbloodpressureof90mmHgorhigher.C.1000-mLfluidboluswith5%dextrose(D5W)and0.9%sodiumchloride.D.1000-mLfluidboluswith0.9%sodiumchloride.2.An order has been received for 2% sodium chlo-ride. Assume no commercially available product isavailable.Using0.9%sodiumchlorideand23.4%sodiumchloride,firstdeterminehowmuchofeachis necessary to prepare 1 L of 2% sodium chloride.Second, calculate the osmolarity of 2% sodiumchloride. Finally, determine whether the resultantsolutionshouldbeadministeredthroughacen-tral or peripheral intravenous infusion (molecularweight[MW]ofsodiumchlorideis58.5,osmoticcoefficientis0.93).A.Mix951mLof0.9%sodiumchlorideplus49mLof23.4%sodiumchloride;osmolarity=635mOsm/L;peripheralintravenousinfusion.B.Mix951mLof0.9%sodiumchlorideplus49mLof23.4%sodiumchloride;osmolarity=954mOsm/L;centralintravenousinfusion.C.Mix850mLof0.9%sodiumchlorideplus150mLof23.4%sodiumchloride;osmolarity=954mOsm/L;centralintravenousinfusion.

Page 11

ACCP Updates in Therapeutics® 2022: Pharmacotherapy Preparatory Review and Recertification Course (2022) - Page 11 preview image

Loading page image...

Fluids, Electrolytes, and NutritionACCP Updates in Therapeutics® 2022: Pharmacotherapy Preparatory Review and Recertification Course1-5D.Mix850mLof0.9%sodiumchlorideplus150mLof23.4%sodiumchloride;osmolarity=513mOsm/L;peripheralintravenousinfusion.3.A68-year-oldmanisadmittedtothehospitalforworseningshortnessofbreathduringthepast2weeks caused by heart failure. His serum sodiumconcentrationonadmissionwas123mEq/L.Otherabnormal laboratory values include brain natri-ureticpeptideof850pg/mLandSCrof1.7mg/dL.Chestradiographyisconsistentwithpulmo-naryedema.Thepatientweighs85kgonadmis-sion,whichisup3kgfromhisbaselineweight.Thepatientisnotexperiencingnausea,headache,ormentalstatuschanges.Thephysicianorders3%sodium chloride to treat the hyponatremia. Whichrecommendation is best?A.3% sodium chloride is an appropriate choicebecause the hyponatremia is probably acute.B.A250-mLbolusof3%sodiumchlorideisappropriate if used in combination with furo-semide to prevent volume overload.C.3% sodium chloride is appropriate if the serumsodiumdoesnotincreasemorethan10mEq/Lin 24 hours.D.Therisksof3%sodiumchlorideoutweighthepotentialbenefitforthispatient.4.A 55-year-old man with diabetes and kidney dis-easehashyperkalemia.Hislaboratoryvaluesinclude potassium (K+) 7.2 mEq/L, calcium (Ca2+)9mg/dL,albumin3.5g/dL,andbloodglucose302mg/dL.Hiselectrocardiogram(ECG)isabnormal,with peaked T waves. What is the best recommen-dation for initial treatment?A.Regularinsulin10unitsintravenouslyplus50gofdextroseintravenously.B.10%calciumgluconate10mLintravenously.C.Sodiumpolystyrenesulfonate(Kayexalate)15gorally.D.Sodiumbicarbonate50mEqintravenouslyover 5 minutes.5.A68-year-oldwoman(weight60kg)isadmittedto the hospital after a cardioembolic stroke. Hermedicalhistoryissignificantforatrialfibrillation,acute myocardial infarction, and diabetes. She hasbeenunconsciousfor48hours.Themedicalteamdecidestostartprovidingnutrition.Allofherlab-oratoryvalues,includingglucoseconcentrations,arenormal.Althoughshecurrentlyhasnoenteralaccess, she does have a peripheral intravenouscatheter.Whichnutritionalregimenisbestforthispatient?A.Insert a central intravenous catheter and initi-ateparenteralnutrition(PN)containing60gofaminoacids(AAs),250mLof20%lipidemulsion,300gofdextrose,standardelec-trolytes,multivitamins,andtraceelementsinavolumeof2000mLadministeredover24 hours.B.Insert a central intravenous catheter and ini-tiatePNcontaining40gofAAs,250mLof20%lipidemulsion,200gofdextrose,stan-dardelectrolytes,multivitamins,andtraceelementsinatotalvolumeof2000mLadmin-istered over 24 hours.C.Insertanasogastric(NG)ornasoduodenalfeedingtubeandinfuseanisotonicformula(1kcal/mL)startingat25mL/hourandadvancetoagoalrateof65mL/hour.D.Insertapercutaneousendoscopicgastrostomyfeedingtubeandinfuseanisotonicformula(1kcal/mL)startingat25mL/hourandadvancetoagoalrateof100mL/hour.6.A70-year-oldmanisadmittedtothehospitalwithperitonitiscausedbysevereinflammatoryboweldisease.Thepatienthasreceivedadequatefluidresuscitation,andheisprescribedappropriateantibiotics.Afterseveraldaysofthepatientbeingunable to tolerate oral or enteral nutrition, the phy-sician consults the pharmacist to recommend a PNformulatobeadministeredthroughacentralline.The patient is hemodynamically stable, with nor-malelectrolyteconcentrations.Weightis55kg,BUN/SCris20/1.1mg/dL,andWBCis17×103cells/mm3.Assumingthatappropriateelectrolytes,multivitamins, and trace elements are included,which PN formula, when administered over 24hours, will best provide this patient adequate calo-ries, AAs, and lipids?A.AAs10%700mL,dextrose30%325mL,ALGRAWANY

Page 12

ACCP Updates in Therapeutics® 2022: Pharmacotherapy Preparatory Review and Recertification Course (2022) - Page 12 preview image

Loading page image...

Fluids, Electrolytes, and NutritionACCP Updates in Therapeutics® 2022: Pharmacotherapy Preparatory Review and Recertification Course1-6lipid20%500mL.B.AAs10%450mL,dextrose70%400mL,lipid20%250mL.C.AAs10%800mL,dextrose70%350mL,lipid20%250mL.D.AAs15%900mL,dextrose50%500mL,lipid20%250mL.7.A59-year-oldmanhasbeenadmittedtothehos-pitalafterseveraldaysofvomitinganddiarrhea.Intheemergencydepartment,hehadseveralruns of nonsustained ventricular tachycardia. Hisplasmapotassiumonadmissionis2.8mEq/L.After100mEqofpotassiumchlorideisinfusedover 24 hours, his repeated K+is 3.2 mEq/L, and hecontinues to have runs of ventricular tachycardia.OtherlaboratoryvaluesincludeNa+143 mEq/L,magnesium1.4mg/dL,phosphorus3mg/dL,Ca2+9mg/dL,andionizedCa2+1.1 mmol/L. Whichtreatmentwouldbebesttogivenext?A.Administerpotassiumchloride20mEqintra-venously over 1 hour each for 4 doses andrecheck K+.B.Administermagnesiumsulfateasa2gslowintravenous infusion over 2 hours.C.Administerpotassiumphosphate15mmolintravenously over 4 hours.D.Administercalciumgluconate2gintrave-nously over 5 minutes.8.Whichnutritionalstrategycanbestpreventgutmucosalatrophyandsubsequentbacterialtranslocation?A.PNenrichedwithglutamine.B.PN enriched with branched-chain AAs.C.Enteral nutrition (EN).D.Zinc supplementation.9.Afemalepatient(weight80kg)intheintensivecareunit has developed acute kidney injury caused bysepsis, and she requires intermittent hemodialysisdailytomaintainherBUN/SCrratioat49:2.5mg/dL.Currently,sheisreceivingappropriateantibi-otics and is hemodynamically stable. She has alsobeenreceivingPNproviding72gofAAsperday.What is the best recommendation for this patient’sprotein intake?A.ReduceAAsto40g/day.B.ReduceAAsto64g/day.C.IncreaseAAsto96g/day.D.IncreaseAAsto160g/day.

Page 13

ACCP Updates in Therapeutics® 2022: Pharmacotherapy Preparatory Review and Recertification Course (2022) - Page 13 preview image

Loading page image...

Fluids, Electrolytes, and NutritionACCP Updates in Therapeutics® 2022: Pharmacotherapy Preparatory Review and Recertification Course1-7BPS Pharmacotherapy Specialty Examination Content.ThischaptercoversthefollowingsectionsofthePharmacotherapySpecialtyExaminationContentOutline1.Domain 1: Patient-Centered Pharmacotherapya.Task1,Knowledgestatementsa-c,e,f,h,j-m,p,qb.Task2,Knowledgestatementsa,b,dc.Task3,Knowledgestatementsa-ed.Task4,Knowledgestatementsa2.Domain2:ApplicationofEvidencetoPracticeandEducation.Task1,Knowledgestatementsg3.Domain 3: Healthcare Systems and Population Healtha.Task1,Knowledgestatementseb.Task2,KnowledgestatementsaALGRAWANY

Page 14

ACCP Updates in Therapeutics® 2022: Pharmacotherapy Preparatory Review and Recertification Course (2022) - Page 14 preview image

Loading page image...

Fluids, Electrolytes, and NutritionACCP Updates in Therapeutics® 2022: Pharmacotherapy Preparatory Review and Recertification Course1-8I.FLUID MANAGEMENTA.Distributionoftotalbodyfluid(TBF)(Figure1)75%ofextracellularfluidisinterstitial(thisfluid“bathesthecells”andisseparated from intravascular space by thesemipermeable capillary membrane)25%ofextracellularfluidisintravascular(about 5 L of blood volume)60%ofTBFis intracellular(enclosed by thecell membrane)40%ofTBFisextracellularFigure 1.Distributionoftotalbodyfluid.TBF=totalbodyfluid.1.Estimatedas60%ofleanbodyweight(LBW)inmenand50%inwomen;ahealthyadult(weight70kg)hasabout42Loffluid2.Totalbodywaterisfurtherdividedintointracellular(IC)spaceandextracellular(EC)space.a.About60%ofTBFisIC,and40%isEC;theICandECfluidcompartmentsareseparatedbycellmembranes,whicharehighlypermeabletowater.b.TheECcompartmentisalsodividedintotheinterstitial(IS)spaceandtheintravascularspace;theISandintravascularfluidcompartmentsareseparatedbythecapillarymembrane,whichisperme-abletoalmostallsolutesexceptproteins.i.75%oftheECfluidisintheISspace.ii.25%oftheECfluidisintheintravascularspace;theECfluidintheintravascularspaceisknown asplasma,anditmeasuresabout3L;ifyoualsoconsiderabout2Loffluidfoundinredbloodcells(thus,ICfluid),thetotalbloodvolumeisabout5L.3.TheapproximatedistributionofTBFintotheICandECcompartmentswithfurtherdistributionoftheECfluidintotheISandintravascularcompartmentsisimportanttorememberfordeterminingthedistributionofintravenousfluid.B.Distributionofintravenousfluid(Table1)Table 1.Distribution of Intravenous FluidIntravenous FluidInfused Volume (mL)Equivalent Intravascular Volume Expansion (mL)Normal saline1000250LactatedRingersolution1000250Normosol-R and Plasma-Lyte10002505%Dextrose1000100Albumin 5%500500Albumin 25%100500Hydroxyethylstarch6%500500

Page 15

ACCP Updates in Therapeutics® 2022: Pharmacotherapy Preparatory Review and Recertification Course (2022) - Page 15 preview image

Loading page image...

Fluids, Electrolytes, and NutritionACCP Updates in Therapeutics® 2022: Pharmacotherapy Preparatory Review and Recertification Course1-91.Crystalloidsareintravenousfluidsthatcancontainwater,sodium(Na+), chloride (Cl), and other elec-trolytes.LactatedRingersolutionisacrystalloidthatcontainsmostlyNa+and Cl, but also lactate,potassium (K+), and calcium (Ca2+). Normosol-R and Plasma-Lyte are crystalloids that contain mostlyNa+and Clbut also acetate, K+,andmagnesium(Mg2+). D5W is also a crystalloid, but it should notbeusedforfluidresuscitationbecauseofthesmalleramountoffluidthatremainsintheintravascularcompartment.a.Na and Cldo not freely cross into cells, but they will distribute evenly in the EC space.b.For0.9%sodiumchlorideorlactatedRingersolution,only25%remainsintheintravascularspace,and75%distributesintheISspace;therefore,when1Lof0.9%sodiumchlorideorlactatedRingersolutionisadministered,about250mLoffluidremainsintheintravascularcompartment.2.D5Wisisosmoticand,becauseofrapidmetabolism,ithastheneteffectofadministering“free”water.a.D5Wismetabolizedtowaterandcarbondioxide.b.Watercancrossanymembraneinthebody;therefore,itisevenlydistributedinTBF(“free”because it is free to cross any membrane).i.ManyexpertsavoidadministeringD5Wwheneverpossibleinpatientswithneurologicinjuryandelevatedintracranialpressure(ICP)becauseitcancrossintocerebralcells,causingfur-ther elevation in ICP.ii.Some practitioners avoid the use of D5Wbecauseoftheriskofhyperglycemia,althoughD5Wcontainsonly5gofdextrose/100mL,whichisequivalentto17kcal/100mL.c.For D5W,60%distributestotheICspaceand40%distributestotheECspace.Ofthe40%distrib-uted to the EC space, 25% remains in the intravascular space, and 75% distributes to the IS space.Therefore, when 1 L of D5Wisadministeredintravenously,about100mLoffluidremainsintheintravascular compartment.3.Colloids include packed red blood cells, pooled human plasma (5% albumin, 25% albumin, and 5%plasmaproteinfraction),semisyntheticglucosepolymers(dextran),andsemisynthetichydroxyethylstarch (hetastarch).a.Colloidsaretoolargetocrossthecapillarymembrane;therefore,theyremainprimarilyintheintravascularspace(althoughasmallportion“leaks”intotheISspace).b.Exceptfor25%albumin,administering500mLofcolloidresultsina500-mLintravascularvol-umeexpansion.c.Because 25% albumin has an oncotic pressure about 5-fold that of normal plasma, it causes afluidshiftfromtheISspaceintotheintravascularspace.Forthisreason,100mLof25%albuminresultsinaround500mLofintravascularvolumeexpansion.Thishyperoncoticsolutionshouldgenerallybeavoidedinpatientsrequiringfluidresuscitation,becausealthoughtheintravascularspaceexpands,fluidshiftsoutoftheISspace,potentiallycausingdehydration.Itmaybeusefulinpatientswhodonotrequirefluidresuscitationbutwhocouldbenefitfromaredistributionoffluid(e.g.,ascites,pleuraleffusions).d.Hydroxyethylstarchanddextranproductshavebeenassociatedwithcoagulopathyandkidneyimpairment.Inadditiontoacutekidneyinjury,hydroxyethylstarchisassociatedwithincreasedmortalityincriticallyillpatients(JAMA2013;309:678-88;NEnglJMed2012;367:124-34).C.Fluid Resuscitation1.Intravascularfluiddepletioncanoccurbecauseofshock(hypovolemicorsepticshock),anditisasso-ciatedwithreducedcardiacfunctionandorganhypoperfusion.2.Signsorsymptoms(Box1)usuallyoccurwhenabout15%(750mL)ofbloodvolumeislost(e.g.,hem-orrhage)orshiftsoutoftheintravascularspace(e.g.,septicshock).ALGRAWANY

Page 16

ACCP Updates in Therapeutics® 2022: Pharmacotherapy Preparatory Review and Recertification Course (2022) - Page 16 preview image

Loading page image...

Fluids, Electrolytes, and NutritionACCP Updates in Therapeutics® 2022: Pharmacotherapy Preparatory Review and Recertification Course1-10Box 1.SignsandSymptomsofIntravascularVolumeDepletionTachycardia(HR>100beats/minute)Hypotension(SBP<80mmHg)OrthostaticchangesinHRorBPIncreasedBUN/SCrratio>20:1Dry mucous membranesDecreasedskinturgorReduced urine outputDizzinessImprovementinHRandBPaftera500-to1000-mLfluidbolusBP=bloodpressure;BUN=bloodureanitrogen;HR=heartrate;SBP=systolicbloodpressure;SCr=serumcreatinine.3.Fluidresuscitationisindicatedforpatientswithsignsorsymptomsofintravascularvolumedepletion.4.Thegoaloffluidresuscitationistorestoreintravascularvolumeandtopreventorganhypoperfusion.5.Becauseintravascularvolumedepletioncancauseorgandysfunctionanddeath,promptresuscitationis necessary.a.Intravenousfluidsareinfusedrapidly,preferablythroughalarge-borecatheter.b.Intravenousfluidsareadministeredasa500-to1000-mLbolus,(~30mL/kginsepticpatients)afterwhichthepatientisreevaluated;thisprocessiscontinuedaslongassignsandsymptomsofintravascularvolumedepletionareimproving(Box1).Table 2.Content of Common Crystalloid SolutionsContents (mEq/L)Osmolarity (mOsmol/L)Sodiumchloride0.9%(NS)Na 154Cl 154308LactatedRinger(LR)Na130Cl109K 4Ca 3Lactate28273Normosol-RNa140Cl98K 5Mg3Acetate 27/Gluconate 23295Ca=calcium;Cl=chloride;K=potassium;Mg=magnesium;Na=sodium.6.Crystalloids(0.9%sodiumchlorideorlactatedRingersolution)arerecommendedforfluidresuscitationin hypovolemia (Table 2).a.LactatedRingersolutionishistoricallypreferredinsurgeryandtraumapatients,butnoevidencesuggestssuperiorityovernormalsalineforfluidresuscitationinthesesettings.b.ThelactateinlactatedRingersolutionismetabolizedtobicarbonate,anditcantheoreticallybeusefulformetabolicacidosis;however,lactatemetabolismisimpairedduringshock.Thus,lactatedRingersolutionmaybeanineffectivesourceofbicarbonate.

Page 17

ACCP Updates in Therapeutics® 2022: Pharmacotherapy Preparatory Review and Recertification Course (2022) - Page 17 preview image

Loading page image...

Fluids, Electrolytes, and NutritionACCP Updates in Therapeutics® 2022: Pharmacotherapy Preparatory Review and Recertification Course1-11c.LactatedRingersolutionhasbeenconsideredtoprovideamorephysiologicamountofCl(109mmol/L)than0.9%sodiumchloride(154mmol/L).Abalancedfluidregimen(e.g.,lactatedRingersolution,Plasma-Lyte148)wasassociatedwithareductionintheincidenceofacutekid-neyinjurycomparedwithastandardregimen(e.g.,0.9%sodiumchloride,colloidscontainingCl120–130mmol/L)(JAMA2012;308:1566).Inamulticenter,retrospectivecohortstudy,abal-ancedsolution(lactatedRinger)wascomparedwithisotonicfluid(0.9%sodiumchloride)inpatientswithsepsis.Inthesepatientswithvasopressor-dependentsepsis,thosereceivingbalancedfluidhadalowerriskofin-hospitalmortality(CritCareMed2014;42:1585-91).Morerecentstudieshaveshownthat,comparedwith0.9%sodiumchloride,balancedcrystalloidsresultinalowerrateof a composite outcome of any cause of death, new renal replacement therapy, and persistent renaldysfunction in intensive care unit (ICU) patients. There was no difference found in hospital-freedaysinnon-ICUpatients(NEnglJMed2018;378:819-39).7.Thereisnodifferencebetweencrystalloidsandcolloidsinthetimetoachievefluidresuscitationorinpatient outcomes. Colloids have not been shown to be superior to crystalloids, and they are associatedwithhighercostandsomeadverseeffects.Thefollowingareexamplesofother,althoughcontroversial,uses of colloids:a.Colloidscanbeconsideredafterfluidresuscitationwithcrystalloid(usually4–6L)hasfailedtoachievehemodynamicgoalsorafterclinicallysignificantedemalimitsthefurtheradministrationof crystalloid.b.Albumincanbeconsideredinpatientswithalowalbuminconcentrationwhohaverequiredalargevolumeofresuscitationfluids.c.Albumin (theoretically, 25% is preferred) can be considered in conjunction with diuretics forpatientswithclinicallysignificantedema(e.g.,pulmonaryedemacausingrespiratoryfailure)anda low albumin concentration, when appropriately dosed diuretics are ineffective.D.Maintenanceintravenousfluids1.Maintenanceintravenousfluidsareindicatedinpatientswhoareunabletotolerateoralfluids.2.Thegoalofmaintenanceintravenousfluidsistopreventdehydrationandtomaintainanormalfluidandelectrolyte balance.3.Maintenanceintravenousfluidsaretypicallyadministeredasacontinuousinfusionthroughaperiph-eral or central intravenous catheter.4.Commonmethodsofestimatingthedailyvolumeinchildrenandadults:a.Administer100mL/kgforfirst10kg,followedby50mL/kgforthenext10–20kg(i.e.,1500mLforthefirst20kg)plus20mL/kgforeverykilogramgreaterthan20kgorb.Administer20–40mL/kg/day(foradultsonly).c.Adjustfluidsaccordingtotheindividualpatient’sinput,output,andestimatedinsensibleloss.5.AtypicalmaintenanceintravenousfluidisD5Wwith0.45%sodiumchlorideplus20–40mEqofpotas-sium chloride per liter. The potassium chloride content can be adjusted for the individual patient.6.If150mEqofsodiumbicarbonateisaddedto850mLof0.9%sodiumchloride,theresultantsolutionisequivalenttoabout1.6%sodiumchloride.Whenaninfusionof150mEqofsodiumbicarbonateperliteris indicated, it is recommended to add sodium bicarbonate to D5W or sterile water for injection insteadof0.9%sodiumchloride.ALGRAWANY

Page 18

ACCP Updates in Therapeutics® 2022: Pharmacotherapy Preparatory Review and Recertification Course (2022) - Page 18 preview image

Loading page image...

Fluids, Electrolytes, and NutritionACCP Updates in Therapeutics® 2022: Pharmacotherapy Preparatory Review and Recertification Course1-12Patient CaseQuestions 1 and 2 pertain to the following case.A65-year-oldman(weight80kg)witha3-dayhistoryofabodytemperatureof102°F(38.9°C),lethargy,andproductivecoughishospitalizedforcommunity-acquiredpneumonia.Hismedicalhistoryincludesuncontrolledhypertensionandcoronaryarterydisease.Hisvitalsignsincludeheartrate104beats/minute,bloodpressure112/68mmHg,andbodytemperature101.4°F(38.6°C).Hisurineoutputis10mL/hour,K4mEq/L,BUNis46mg/dL,SCris1.7mg/dL,andWBCis10.4×103cells/mm3.Otherlaboratoryvaluesarenormal.1.Which is most appropriate at this time?A.Furosemide40mgintravenously.B.Albumin25%100mLintravenouslyover60minutes.C.LactatedRingersolution1000mLintravenouslyover60minutes.D.D5W/0.45%sodiumchloridepluspotassiumchloride20mEq/Ltoinfuseat110mL/hour.2.After2daysofappropriateantibiotictreatment,thepatienthasaWBCof9×103cells/mm3, and he is afebrile.Hisbloodpressureis135/85mmHg,andhisurineoutputis45mL/hour.Hisalbuminis3.2g/dL,BUNis14mg/dL,andSCris1.4mg/dL.Allotherlaboratoryvaluesarenormal.Hisappetiteisstillpoor,andheisnottakingadequatefluids.Hehasperipheralintravenousaccess.Whichoptionismostappropriatetoinitiate?A.PeripheralPNtoinfuseat110mL/hour.B.Albumin5%500mLintravenouslyover60minutes.C.D5W/0.45%sodiumchloridepluspotassiumchloride20mEq/Ltoinfuseat110mL/hour.D.LactatedRingersolutiontoinfuseat75mL/hour.II.OSMOLALITYA.Plasmaosmolalityisnormally275–290mOsm/kg.1.Terminologya.Osmolalityisameasureoftheosmolesofsoluteperkilogramofsolvent(Osm/kg),whereasosmo-larityisameasureofosmolesofsoluteperliterofsolution(Osm/L).b.Plasmaosmolarity(mOsm/L)canbecalculatedasosmolality×0.995,showingthatthereisnoclin-icallysignificantdifferencebetweenthem(i.e.,plasmaosmolarityisabout1%lowerthanplasmaosmolality).2.Plasmaosmolalityismaintainedwithinanormalrangebythirstandsecretionofargininevasopressin(i.e.,antidiuretichormone[ADH])fromtheposteriorpituitary.3.Sodiumsaltsaretheprimarydeterminantofplasmaosmolality,andtheyregulatefluidshiftsbetweentheICandECfluidcompartments.4.Plasmaosmolality(mOsm/kg)canbeestimated:(2×Na+mEq/L)+(glucosemg/dL/18)+[(BUNmg/dL)÷2.8].5.Increasesinplasmaosmolalitycauseanosmoticshiftoffluidintotheplasma,resultingincellulardehydrationandshrinkage.6.Decreasesinplasmaosmolalitycauseanosmoticshiftoffluidintocells,resultingincellularover-hydrationandswelling.

Page 19

ACCP Updates in Therapeutics® 2022: Pharmacotherapy Preparatory Review and Recertification Course (2022) - Page 19 preview image

Loading page image...

Fluids, Electrolytes, and NutritionACCP Updates in Therapeutics® 2022: Pharmacotherapy Preparatory Review and Recertification Course1-13B.Intravenousfluidscanbeclassifiedbytheirosmolarityrelativetoplasma.1.Isotonicfluiddoesnotresultinafluidshiftbetweenfluidcompartmentsbecausetheosmolarityissimilar to plasma.2.Hypertonicfluid,suchasNaCl3%,cancausefluidtoshiftfromtheICtotheECcompartment,withsubsequentcellulardehydrationandshrinkage.3.Hypotonicfluid,suchasNaCl0.225%,withanosmolaritylessthan150mOsm/LcancausefluidtoshiftfromtheECtotheICcompartment,withsubsequentcellularoverhydrationandswelling.a.Redbloodcellswellingcancausecellrupture(i.e.,hemolysis).b.Braincellscanswell,causingcerebraledemaandherniation;thisismostlikelytooccurwithacutehyponatremia(occurringinlessthan2days).C.Definitions1.Equivalentweight=Molecularweight(MW)dividedbyvalence.a.Amilliequivalent(mEq)=1/1000ofanequivalent.b.ExamplesofequivalentweightareshowninTable3.c.1mol=equivalentweightTable 3.ElectrolyteMW,Valence,andEquivalentWeightElectrolyteMWValenceEquivalent Weight (g)Sodium23123Potassium39139Chloride35.5135.5Magnesium24212MW=molecularweight.2.Osmoles=numberofparticlesinasolution(assumingcompletedissociation).a.Amilliosmole=1/1000ofanosmole.b.ExamplesofosmolesareshowninTable4.Table 4.OsmolesSaltOsmolesNaCl2KCl2CaCl23CaCl2=calciumchloride;KCl=potassiumchloride;NaCl=sodiumchloride.3.ConvertingMWtomilliequivalents(Box2)Box 2.ConvertingMWtoMilliequivalentsConvert 23.4% NaCl (concentrated NaCl) to mEq/mLMWofNaCl=23+35.5=58.5(addMWofNa+Cl)23.4g1 equiv1000mEq–––––––×––––––––×––––––––––=4mEq/mL100mL58.5g1equivMW=molecularweight;NaCl=sodiumchloride.

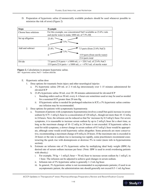
Page 20

ACCP Updates in Therapeutics® 2022: Pharmacotherapy Preparatory Review and Recertification Course (2022) - Page 20 preview image

Loading page image...

Fluids, Electrolytes, and NutritionACCP Updates in Therapeutics® 2022: Pharmacotherapy Preparatory Review and Recertification Course1-14D.Calculatingtheosmolarityofintravenousfluidsinmilliosmolesperliter1.Theosmoticcoefficientcanbeusedtocalculatetheosmolarityofintravenousfluidsbecausesaltformsdo not completely dissociate in solution. However, commercially available products often have differentreportedosmolaritiesthanififtheosmolarityiscalculatedusingtheosmoticcoefficient.a.Withsodiumchloride,forexample,thereissomeionicattractionbetweenNa+and Cl, and theydonotcompletelydissociate;rather,theyareabout93%dissociatedinsolution(thus,theosmoticcoefficientis0.93).b.In clinical practice and in commercially available products, most do not consider the osmotic coef-ficientwhencalculatingtheosmolarityofsodiumchlorideorotherelectrolytes.Inreality,theosmoticcoefficientisprobablynotclinicallyrelevant(butitisusedinthefollowingexamplesforcompleteness).2.Normalsaline(0.9%sodiumchloride)(Table5)Table 5.CalculationforNormalSalineUsingtheOsmoticCoefficientMolecular WeightOsmolesOsmotic Coefficient58.5g/mol20.930.9g1 mol2Osm1000mOsm1000mL–––––––×––––––×––––––×––––––––––×––––––––×0.93=287mOsm/L100mL58.5g1mol1Osm1L3.D5W(MW198g/mol)(Box3)Box 3.Calculation for D5W5g×1mol1000mOsm1000mL–––––––×––––––×––––––––––––×––––––––=252.5mOsm/L100mL198g1mol1L4.OsmolarityofD5W/normalsalineusingtheosmoticcoefficient=252.5mOsm/L+287mOsm/L=539.5mOsm/L.5.Osmolarityofnormalsaline+potassiumchloride20mEq/L(Box4)Box 4.CalculationforNSplusKClUsingtheOsmoticCoefficientStep 1: Convert mEq to weight (g)1 equiv74.5g20mEq×––––––––––×––––––––=1.49gofKCl1000mEq1 equivStep 2: Calculate mOsm/L1.49g1mol2Osm1000mOsm–––––––×––––––––×––––––––×––––––––––––=40mOsm/LL74.5g1mol1OsmStep 3: Add osmolarity of NS + KCl = 287 mOsm/L + 40 mOsm/L = 327 mOsm/LNS=normalsaline;KCl=potassiumchloride.

Page 21

ACCP Updates in Therapeutics® 2022: Pharmacotherapy Preparatory Review and Recertification Course (2022) - Page 21 preview image

Loading page image...

Fluids, Electrolytes, and NutritionACCP Updates in Therapeutics® 2022: Pharmacotherapy Preparatory Review and Recertification Course1-15III.HYPERTONIC SALINEA.Concentration:Typicallyuse3%(954mOsm/L),7.5%(2393mOsm/L),or23.4%(7462mOsm/L).Sodiumchloride3%and23.4%areavailablecommercially,whereasotherconcentrationsmustbeextemporane-ously prepared.B.Common uses of hypertonic saline1.Hypertonic saline is used in traumatic brain injury to reduce an elevated ICP and thereby increasecerebralperfusionpressure.ItistypicallyusedifsustainedICPisgreaterthan20mmHgasmeasuredwith an ICP monitor.2.Hypertonic saline is used for symptomatic hyponatremia (symptoms described later in the Hyponatremiasection).a.Symptomsgenerallydonotoccurunlessserumsodiumis120mEq/Lorless,andtheyincreaseinseverity as Na+decreases.b.Symptomsofseverehyponatremiaincludecomaandseizures.c.Inanefforttopreventseveresymptomsfromoccurring,somepractitionerstreatasymptomaticormoderatelysymptomatic(e.g.,lethargy,confusion)hyponatremiabeforeserumsodiumcon-centrationsreach120mEq/Lorlessbecauseoftheincreasedriskofseveresymptomsbelowthisconcentration.C.Inappropriate use of hypertonic saline1.Chronic asymptomatic hyponatremiaa.Asymptomatic syndrome of inappropriate secretion of antidiuretic hormone (SIADH) is usuallytreatedwithfluidrestrictionoflessthan1000mLoffluidperday.b.Hyponatremiaisgenerallyawaterproblem(i.e.,anexcessoffreewater)ratherthanadeficiencyofNa;thus,hypertonicsalinemakeslittlesenseintheabsenceofsymptoms(seeHyponatremiasection).2.Hyponatremiaassociatedwithseverehyperglycemia(pseudohyponatremia;i.e.,diabeticketoacidosis)a.Typically,serumsodiumdecreasesinanonlinearfashioninresponsetohyperglycemia(i.e.,Na+decreasesbyabout1.6mEq/Lforevery100-mg/dLelevationinglucoseof100–400mg/dL;however, another version of the formula shows that Na+decreases by about 2.4 mEq/L for every100-mg/dLelevationinglucoseabove100mg/dL).CorrectedNa+=serumNa++[1.6(glucose100)/100]b.Ashyperglycemiaiscorrectedwithinsulin,theserumsodiumwillnormalize.3.Hyponatremia associated with hypervolemia (i.e., heart failure leads to tissue hypoperfusion, whichtriggersADHsecretion,causingreabsorptionofwaterfromthekidneysandleadingtohyponatremia)a.Ingeneral,thissituationistreatedwithfluidrestrictionordiuresis.b.Symptomatic hyponatremia is uncommon in patients with heart failure.c.Hypertonicsalinecouldbeconsideredinsymptomaticpatients;however,theymayalsoneeddiuresistopreventworseningvolumeoverload.ALGRAWANY

Page 22

ACCP Updates in Therapeutics® 2022: Pharmacotherapy Preparatory Review and Recertification Course (2022) - Page 22 preview image

Loading page image...

Fluids, Electrolytes, and NutritionACCP Updates in Therapeutics® 2022: Pharmacotherapy Preparatory Review and Recertification Course1-16D.Preparation of hypertonic saline (Commercially available products should be used whenever possible tominimizetheriskoferror)(Figure2)Choose base solutionsSetupalligationAdd and subtractDivideStepsExampleForthisexample,useconcentratedNaClavailableas23.4%vialsandsterilewatertomake1000mLof7.5%HS7.5parts/23.4parts=x/1000mL;x=320.5mLof23.4%NaCl15.9parts/23.4parts=x/1000mL;x=679.5mLofsterilewater7.5 parts (from 23.4% NaCl)15.9parts(fromsterilewater)23.4 parts total23.4%07.5%23.4%07.5%Figure 2.Calculations to prepare hypertonic saline.HS=hypertonicsaline;NaCl=sodiumchloride.E.Hypertonic saline dose1.Doseoptionsfortraumaticbraininjuryandotherneurologicalinjuriesa.3%hypertonicsaline250mLor2–4mL/kgintravenouslyover1–15minutesadministeredforelevated ICPb.23.4%hypertonicsaline30mLover20–30minutesadministeredforelevatedICPi.Standingorderssuchas30mLevery4–6hoursaresometimesusedormaybeusedasneededforasustainedICPgreaterthan20mmHg.ii.IfhypertonicsalineisneededforprolongedreductioninICP,a3%hypertonicsalinecontinu-ous infusion may be recommended.2.Dose options for patients with symptomatic hyponatremiaa.Treatment of patients with symptomatic hyponatremia involves a small but quick increase in serumsodiumby0.75–1mEq/L/hourtoaconcentrationof120mEq/L,thoughnotmorethan10–12mEqin24hours.Next,theinfusioncanbereducedsothatNa+increasesby0.5mEq/L/hour.Forseveresymptoms, it is reasonable to increase serum sodium by up to 2 mEq/L/hour for a short time, aslongasthemaximumchangeof10–12mEqin24hoursisnotexceeded.Ifhypertonicsalineisusedformildsymptoms,aslowerchangeinserumsodiumof0.5mEq/L/hourwouldbeappropri-ate,althoughsomewouldavoidhypertonicsalinealtogether.Someprotocolsaremoreconserva-tive,recommendingamaximumchangeof8mEqin24hours.Ifthemaximumrateisexceededin24hoursortherateinsodiumriseisincreasingtoorapidly,somepractitionersrecommendcoun-teractingthequickrisewithdesmopressinordextrose5%inwater(moreinfoinhypernatremiasection).b.Estimateaninfusionrateof3%hypertonicsalinebymultiplyingidealbodyweight(IBW)bydesiredrateofserumsodiumincreaseperhour.(Note:IBWisusedtoavoidoverdosingpatientswith obesity.)i.Forexample,70kg×1mEq/L/hour=70mL/hourtoincreaseserumsodiumby1mEq/Lin1hour.Theinfusioncanbeadjustedtoachievegoalchangesinserumsodium.ii.Infusionrateof3%hypertonicsalineisgenerally1–2mL/kg/hour.iii.Ingeneral,3%hypertonicsalineisnotrecommendedinasymptomaticpatients;ifusedinanasymptomaticpatient,theadministrationrateshouldgenerallynotexceed0.5–1mL/kg/hour.

Page 23

ACCP Updates in Therapeutics® 2022: Pharmacotherapy Preparatory Review and Recertification Course (2022) - Page 23 preview image

Loading page image...

Fluids, Electrolytes, and NutritionACCP Updates in Therapeutics® 2022: Pharmacotherapy Preparatory Review and Recertification Course1-17c.Alternatively,somepractitionersrecommenda250-mLbolusof2%–3%hypertonicsalineover30minutesor50mLof3%hypertonicsalineadministeredasabolusevery30minutesfortwo doses.F.Administration of hypertonic saline1.Usecentralintravenousaccessbecausetheosmolarityisgreaterthan900mOsm/L.2.Ifnocentrallineisavailable,considerusing2%hypertonicsaline.3.Somepractitionersuse3%hypertonicsalinethroughaperipheralintravenousaccesssiteinanemer-gency,becausetheosmolarityisclosetothecutoffrangeforperipheraladministration.Recentlitera-turesuggeststhat3%sodiumchloridecansafelybeadministeredthroughaperipheralline(JNeurosciNurs2017;49:191-5).Ifaperipheralsiteisused,usealargeveinandmonitorforphlebitis.G.Clinicalgoalsandmonitoringforadministeringhypertonicsalineinpatientswithsymptomatichyponatremia1.Goalsa.Decrease symptoms (described later).b.Safeserumsodiumachievedusuallyintherangeof120–125mEq/Ltoavoidadverseneurologicoutcomes.Notethattheimmediategoalforpatientswithsymptomatichyponatremiaisnotneces-sarily a normal serum sodium.c.Reachedmaximumsafeamountofchangeinserumsodiumi.Maximumsafeamountofchangeisgenerallyregardedas10–12mEq/Lin24hours.ii.Somepractitionerssuggestamaximumchangeof8mEq/Lin24hours.2.Monitoringofserumsodiumevery1–4hoursdependingonseverityofsymptomsH.Complications of hypertonic saline1.Osmoticdemyelinationsyndrome(includescentralpontineandextrapontinemyelinolysis)canoccurwith rapid correction of hyponatremia.a.Itischaracterizedinitiallybylethargyandaffectchanges,followedbypermanentneurologicdam-age,includingparaparesis,quadriparesis,dysarthria,dysphagia,andcoma.b.It is more likely to occur with rapid correction of chronic hyponatremia than with acute hypona-tremia.Thispartlyexplainswhyitisadvisablenottoadministerhypertonicsalineinpatientswithchronic asymptomatic hyponatremia.c.Preventthiscomplicationbyavoidingchangesinserumsodiumofmorethan10–12mEq/Lin24hoursormorethan18mEq/Lin48hours.2.Hypokalemiacanoccurwithlargevolumesofhypertonicsaline.3.Hyperchloremic acidosis can result from the administration of chloride salts (i.e., sodium chloride).Itcanbepreventedbyadministeringhypertonicsalineina1:1or2:1ratioofsodiumchlorideandsodiumacetateorusingfluidwithlesschloridecontent.4.Hypernatremia5.Phlebitis if administered in a peripheral vein6.Heartfailurea.Fluidoverloadcanresultfrominitialvolumeexpansion.b.Overtime,hypertonicsalinecanhaveadiureticeffect,leadingtointravascularvolumedepletion.7.Coagulopathycausedbyplateletdysfunction8.HypotensionifhypertonicsalineisadministeredrapidlyI.Otherconsiderationswhenusinghypertonicsaline.a.Because hypokalemia can cause hyponatremia, remember to correct K+depletion if present. As K+is replaced, serum sodium will increase.ALGRAWANY

Page 24

ACCP Updates in Therapeutics® 2022: Pharmacotherapy Preparatory Review and Recertification Course (2022) - Page 24 preview image

Loading page image...

Fluids, Electrolytes, and NutritionACCP Updates in Therapeutics® 2022: Pharmacotherapy Preparatory Review and Recertification Course1-18IV.HYPOTONIC INTRAVENOUS FLUIDSA.Hypotonicfluidsadministeredintravenouslycancausecellhemolysisandpatientdeath.1.Albumin25%dilutedwithsterilewatertomakealbumin5%hasanosmolarityofabout60mOsm/L,which can cause hemolysis.2.“Quarternormalsaline,”or0.225%sodiumchloride,hasanosmolarityof77mOsm/Landcancausehemolysis.B.Avoidusingintravenousfluidwithanosmolaritylessthan150mOsm/L.1.Sterile water alone shouldneverbe administered intravenously.2.Some prescribers use hypotonic saline for a patient with hypernatremia.a.Inreality,apatientwithmildhypernatremiagenerallyneedswater,notadditionalNa+.b.Therefore, for patients with hypernatremia, enteral administration of water is preferable.c.If the enteral route is unavailable, recommend D5W administered intravenously.C.Preventapotentiallyfatalerrorbyrecommendingoneofthefollowingalternativesto0.225%sodiumchloride:1.Recommendchanging0.225%sodiumchloridetoD5W alone or a combination of D5Wand0.225%sodium chloride.2.Alternatively,ifthereareconcernsrelatedtohyperglycemiawithusingD5W(50gofdextroseor170kcal/L),recommendusing2.5%dextroseand0.225%sodiumchloride.3.Alternatively, potassium chloride can be added to increase osmolarity.4.Recommendadministeringwaterenterally(bymouthorfeedingtube).5.If0.225%sodiumchlorideisused,recommendusebycentralvenousline.V.HYPONATREMIA AND HYPO-OSMOLALITY STATESA.Sodiumsaltsaretheprimarydeterminantsofplasmaosmolality(andsubsequentfluidshiftsbetweentheIC and EC compartments).1.Areductioninserumsodiumtolessthan136mEq/Lusuallycorrelateswithareductioninplasmaosmolality.2.Hyponatremiawithsubsequenthypo-osmolalitycausesfluidtoshiftintocells(cellularoverhydration).Hypotonichyponatremiacanbedividedintothreetypesaccordingtovolumestatus(Table6).

Page 25

ACCP Updates in Therapeutics® 2022: Pharmacotherapy Preparatory Review and Recertification Course (2022) - Page 25 preview image

Loading page image...

Fluids, Electrolytes, and NutritionACCP Updates in Therapeutics® 2022: Pharmacotherapy Preparatory Review and Recertification Course1-19Table 6.ClassificationofHyponatremiaHypovolemic HyponatremiaEuvolemic HyponatremiaHypervolemic HyponatremiaDescriptionDeficitofbothNa+andfluid,but total Na+is decreased morethan total body waterNormal total body Na+withexcessfluidvolume(i.e., dilutional)ExcessNa+andfluid,butfluidexcesspredominatesExampleFluidloss(e.g.,emesis,diarrhea,fever),thirdspacing,renal loss (diuretics), cerebralsaltwastingSIADH, medicationsHeart failure, cirrhosis,nephrotic syndromeDiagnosisUrine Na+< 25 mEq/Lindicates nonrenal loss of Na+(e.g.,emesis,diarrhea);urineNa+>40mEq/Lindicatesrenal loss of Na+aUrineosmolality>100mOsm/kg(indicatesimpairedwaterexcretioninpresenceof plasma osmolality<275mOsm/kg);urinesodium>40mEq/LaUrine Na+< 25 mEq/Lindicates edematous disorders(i.e., heart failure, cirrhosis,nephroticsyndrome);urineNa+> 25 mEq/L indicates acute orchronic renal failureaTreatmentFluidresuscitation(seeabove);in patients with cerebral saltwastingbecauseofaneuro-logicinjury,hyponatremiacan be prevented in patientswithneurologicinjurieswithsodium chloride tablets orfludrocortisoneIfdrug-inducedSIADH,removeoffendingagent;fluidrestriction;demeclocycline;vasopressin receptorantagonists(e.g.,conivaptan,tolvaptan), some institutionsuse ureaSodiumandwaterrestriction;treatunderlyingcause;vasopressin receptorantagonists(e.g.,conivaptan,tolvaptan), diureticsNa+=sodium;SIADH=syndromeofinappropriatesecretionofantidiuretichormone.aUrineNa+measurementmaybeinaccurateifapatientisreceivingdiuresis.3.In select cases, hyponatremia is associated with either a normal or an elevated plasma osmolality.a.This is known aspseudohyponatremiabecause Na+content in the body is not actually reduced.Instead, Na+shifts from the EC compartment into the cells in an attempt to maintain plasma osmo-lalityinanormalrange.Anotheradaptationtoincreasedplasmaosmolalityistheshiftofwaterfrom inside cells to the EC compartment, which further dilutes the Na+concentration.i.Severe hyperlipidemia can be associated with a normal or elevated plasma osmolality.ii.Severehyperglycemia(i.e.,duringdiabeticketoacidosis)isassociatedwithanelevatedplasmaosmolality.b.Oncetheunderlyingconditioniscorrected,Na+will shift out of the cells, and hyponatremia willresolve.B.Causes of hyponatremia1.Replacement of lost solute with watera.Lossofsolute(e.g.,vomiting,diarrhea)usuallyinvolvesthelossofisotonicfluid;therefore,alone,it will not cause hyponatremia.b.Afterthelossofisotonicfluid,hyponatremiacandevelopwhenthelostfluidisreplacedwithwater.c.A common cause of hyponatremia in hospitals is the postoperative administration of hypotonicfluid.2.VolumedepletionandorganhypoperfusionstimulateADHsecretiontoincreasewaterreabsorptioninthecollectingtubules,potentiallycausinghyponatremia.3.SIADHandcortisoldeficiencyarebothrelatedtotheexcessivereleaseofADH.

Page 26

ACCP Updates in Therapeutics® 2022: Pharmacotherapy Preparatory Review and Recertification Course (2022) - Page 26 preview image

Loading page image...

Fluids, Electrolytes, and NutritionACCP Updates in Therapeutics® 2022: Pharmacotherapy Preparatory Review and Recertification Course1-204.Medications,includingthiazidediuretics,antiepilepticdrugs(e.g.,carbamazepine,oxcarbazepine),andantidepressants (especially selective serotonin reuptake inhibitors, but also tricyclic antidepressants),cancausehyponatremia.Drug-inducedhyponatremiaismorelikelytooccurinolderadultsandinthosewhodrinklargevolumesofwater.5.Renalfailureimpairstheabilitytoexcretediluteurine,predisposingtohyponatremia.C.Symptoms of hyponatremia (Table 7)Table 7.Symptoms of HyponatremiaSerum Sodium (mEq/L)Clinical Manifestations120–125Nausea, malaise115–120Headache,lethargy,obtundation,unsteadiness,confusion< 115Delirium,seizure,coma,respiratoryarrest,death1.Symptomsaregenerallyattributabletohypo-osmolality,withsubsequentwatermovementintobraincellscausingcerebraledema.2.Ifhyponatremiaoccurschronically,cerebralcellswellingispreventedbyosmoticadaptation.a.Solutes move out of brain cells to prevent the osmotic shift of water into brain cells.b.For this reason, patients with chronic hyponatremia may show less severe or no symptoms.3.Neurologicsymptomsarerelatedtotherateofchangeintheserumsodiumandtothedegreeofchangein serum sodium.4.Acute hyponatremia occurs over 1–3 days.D.Treatment of hyponatremia1.Treatunderlyingcause.2.Raiseserumsodiumatasaferate,definedasachangenogreaterthan10–12mEq/Lin24hours.3.Treatment depends on volume status, the presence and severity of symptoms, and the onset ofhyponatremia.a.If the patient is euvolemic or edematous, there are typically two treatment options:i.Fluidrestriction(tolessthan1000mL/day)isthetypicalfirst-linerecommendationforasymp-tomatic patients. Note that sodium administration is not recommended for asymptomaticpatients because it can worsen edema.ii.Vasopressinantagonists(e.g.,intravenousconivaptan,oraltolvaptan)canbeusedineuvole-mic (i.e., SIADH) or hypervolemic (i.e., heart failure) patients to promote aquaresis, increaseserumsodium,alleviatesymptoms,andreduceweight;however,thisapproachiscostlyandhasnotbeenshowntoimproveclinicaloutcomes(i.e.,fallprevention,hospitalization,hos-pitallengthofstay,qualityoflife,mortality)inprospectiverandomizedcontrolledtrials.VasopressinantagonistsaresubstratesandinhibitorsofcytochromeP4503A4isoenzymes.Monitorfordruginteractionswithother3A4inhibitorsthatcouldincreaseeffectandleadtoarapidincreaseinserumsodium.Fluidrestrictionincombinationwithavasopressinantagonistduringthefirst24hourscanalsoincreasetheriskofoverlyrapidcorrectionofserumsodium.Ifneeded,fluidrestrictioncanbeusedafter24hours.Tolvaptanshouldnotbeadministeredformorethan30daystominimizeriskofliverinjury.Monitorforrecurrenceofhyponatremiaonce treatment is discontinued. In hypervolemic hyponatremia, diuretics can also be usedcautiously.

Page 27

ACCP Updates in Therapeutics® 2022: Pharmacotherapy Preparatory Review and Recertification Course (2022) - Page 27 preview image

Loading page image...

Fluids, Electrolytes, and NutritionACCP Updates in Therapeutics® 2022: Pharmacotherapy Preparatory Review and Recertification Course1-21b.Ifthepatienthasintravascularvolumedepletion,volumemustbereplacedfirstwithintravenouscrystalloids(e.g.,0.9%sodiumchloride).i.Untilintravascularvolumeisrestored,thepatientwillcontinuetosecreteADH,causingwaterreabsorption and subsequent hyponatremia.ii.Onceintravascularvolumeisrestored,ADHsecretionwilldecrease,causingwatertobeexcreted.Thiscanleadtoarapidcorrectionofserumsodium;carefulmonitoringisnecessaryto prevent overly rapid correction.iii.Volumestatuscanbeassessedbyskinturgor,jugularvenouspressure,andurinesodium.c.Onceintravascularvolumeisrestored,patientswhoexperiencedvolumedepletion,diuretic-in-ducedhyponatremia,oradrenalinsufficiencymaystillneedNa+.i.The amount of Na+(in milliequivalents) needed to raise the serum sodium to a safe concen-trationofabout120mEq/L(iftheserumsodiumislessthanthis)isestimatedusingLBWasfollows:0.5(LBW)×(120Na+)forwomen(multiplyLBWby0.6formen).LBWhasbeenestimatedusingweightinkilogramsandheightincentimetersformenasLBW=[(0.3)(kg)+(0.3)(cm)29]orforwomenasLBW=[(0.3)(kg)+(0.4)(cm)43];formulapublishedin1966(JClinPathol1966;19:389).ii.Alternatively,thisequationcanbemodifiedtoestimatetheNa+deficitinthefollowingmanner:0.5(LBW)×(140Na+)forwomen(multiplyLBWby0.6formen).IfcalculatingtheNa+deficit,itisrecommendedtoadminister25%–50%ofthedeficitduringthefirst24hoursto prevent the overly rapid correction of serum sodium.iii.RegardlessofthemethodusedtoestimateNa+replacement, the amount of Na+administeredshouldbeguidedbyserialserumsodiumconcentrations(e.g.,every4hours).d.Patients with symptomatic hyponatremia should be treated with hypertonic saline (see HypertonicSaline section).4.Correct hypokalemia, if present, with hyponatremia.a.Hypokalemia will cause a reduction in serum sodium because Na+enters cells to account for thereduction in IC K+to maintain cellular electroneutrality.b.Administration of K+will help correct hyponatremia.c.UsecautionwhengivingK+to prevent overly rapid correction of serum sodium.Patient CaseQuestions 3–5 pertain to the following case.A72-year-oldwoman(weight60kg)withahistoryofhypertensionhasdevelopedhyponatremiaafterstartinghydrochlorothiazide3weeksearlier.Sheexperiencesdizziness,fatigue,andnausea.Herserumsodiumis116mEq/L.Herbloodpressureis86/50mmHg,andheartrateis122beats/minute.3.Inadditiontodiscontinuinghydrochlorothiazide,whichinitialtreatmentregimenisbest?A.Administer0.9%sodiumchlorideinfusedat100mL/hour.B.Administer0.9%sodiumchloride500-mLbolus.C.Administer3%sodiumchlorideinfusedat60mL/hour.D.Administer23.4%sodiumchloride30-mLbolusasneeded.

Page 28

ACCP Updates in Therapeutics® 2022: Pharmacotherapy Preparatory Review and Recertification Course (2022) - Page 28 preview image

Loading page image...

Fluids, Electrolytes, and NutritionACCP Updates in Therapeutics® 2022: Pharmacotherapy Preparatory Review and Recertification Course1-22Patient Case(Cont’d)4.Whichisthebesttreatmentgoalforthefirst24hoursincorrectingthepatient’sserumsodiumfromherinitialvalueof116mEq/L?A.IncreaseNa+concentrationto140mEq/L.B.Increase Na+ concentration to 132 mEq/L.C.IncreaseNa+concentrationto126mEq/L.D.Maintainserumsodiumof116–120mEq/L.5.Onedaylater,thepatienthassomewhatimproved.Herbloodpressureis122/80mmHg,andheartrateis80beats/minute.Herserumsodiumis120mEq/L,andK+is3.2mEq/L;shestillfeelstired.Sheiseatingaregulardiet.HerECGisnormal.Whichisthebestrecommendation?A.D5W/0.9%sodiumchloridepluspotassiumchloride40mEq/Ltoinfuseat100mL/hour.B.0.9%sodiumchlorideinfusedat100mL/hour.C.3%sodiumchlorideinfusedat60mL/hour.D.Potassiumchloride20mEqbymouthevery6hoursfor4doses.VI. HYPERNATREMIA AND HYPEROSMOLAL STATESA.Hyperosmolalitywithserumsodiumgreaterthan145mEq/L1.TheosmoticgradientassociatedwithhypernatremiacauseswatermovementoutofcellsandintotheEC space.2.Symptoms are related primarily to the dehydration of brain cells.B.Causes of hypernatremia1.Lossofwaterbecauseoffever,burns,infection,renalloss(e.g.,diabetesinsipidus),gastrointestinal(GI) loss2.Retention of Na+because of the administration of hypertonic saline or any form of Na+3.CertainneurologicinjuriesreceivehypertonicsalinetotargetahighersodiumgoalC.Preventionofhypernatremiathroughosmoregulation1.Plasmaosmolalityismaintainedat275–290mOsm/kg,despitechangesinwaterandNa+intake.2.HypernatremiaispreventedfirstbythereleaseofADH,causingwaterreabsorption.3.Hypernatremia is also prevented by thirst.a.Hypernatremia occurs primarily in adults with altered mental status who have an impaired thirstresponse or do not have access to or the ability to ask for water.b.Hypernatremia can also occur in infants.D.Cerebral osmotic adaptation1.Similar to patients with hyponatremia, patients with chronic hypernatremia can have cerebral osmoticadaptation.a.Brain cells take up solutes, Na+, and K+,thuslimitingtheosmoticgradientbetweentheICandECfluidcompartments.b.This prevents cellular dehydration, and it will increase the brain volume toward a normal value,despite hypernatremia.2.Because of osmotic adaptation, patients with chronic hypernatremia may be asymptomatic.

Page 29

ACCP Updates in Therapeutics® 2022: Pharmacotherapy Preparatory Review and Recertification Course (2022) - Page 29 preview image

Loading page image...

Fluids, Electrolytes, and NutritionACCP Updates in Therapeutics® 2022: Pharmacotherapy Preparatory Review and Recertification Course1-23E.Symptomsofhypernatremiaareprimarilyneurologic.1.Similar to hyponatremia, the symptoms of hypernatremia are related to the rate of increase in plasmaosmolalityandthedegreeofincreaseinplasmaosmolality.2.Earliersymptomsincludelethargy,weakness,andirritability.3.Symptomscanprogresstotwitching,seizures,coma,anddeathifserumsodiumisgreaterthan158mEq/L.However,someneurologicinjuriesmayhavehigherserumsodiumtargets.4.Cerebral dehydration can cause cerebral vein rupture with subsequent intracerebral or subarachnoidhemorrhage.F.Treatment of hypernatremia1.Rapidcorrectionofchronichypernatremiacanresultincerebraledema,seizure,permanentneurologicdamage,anddeath.a.With osmotic adaptation, the brain volume is raised toward normal despite an elevated serumosmolality.b.Osmoticadaptationcombinedwitharapidreductioninplasmaosmolalitycancauseanosmoticgradient,causingwatertomoveintobraincellswithsubsequentcerebraledema.2.In patients with symptomatic hypernatremia, serum sodium should be reduced slowly by no more than0.5mEq/L/houror12mEq/L/day.3.Treathypernatremiabyreplacingwaterdeficitslowlyoverseveraldaystopreventoverlyrapidcorrec-tion of serum sodium.a.UsingLBW,theestimatedwaterdeficit(inliters)is(0.4×LBW)×[(Serumsodium/140)1]inwomen(multiplyLBWby0.5inmen).b.Notethatinwomenandmen,totalbodywateristypicallyabout50%and60%,respectively,ofLBW.Thus,somesourcesrecommendavariationontheearlierequationasfollows:Waterdeficit=(0.5×LBW)×[(Serumsodium/140)1]inwomen(multiplyLBWby0.6inmen).However,patientswithhypernatremiaaregenerallywaterdepleted;thus,theequationusingthelowervaluesabove(i.e.,40%or0.4and50%or0.5)isreasonable.4.Administer free water orally or intravenously as D5W.5.If concurrent Na+andwaterdepletionoccur(e.g.,vomiting,diarrhea,diuretic-induceddepletion),usea combination of D5Wand0.225%sodiumchloride.6.Ifthepatientishypotensivebecauseofvolumedepletion,firstrestoreintravascularvolumewith0.9%sodiumchloridetorestoretissueperfusion.Normalsalineisthepreferredcrystalloidforfluidresuscitation, and it is still relatively hypotonic in the patient with hypernatremia.7.Patientswithseverecentraldiabetesinsipidusmayrequiredesmopressin(DDAVP)(asyntheticanalogofADH)toreplaceinsufficientorabsentendogenousADH.Diabetesinsipidusismarkedbyincreasedurineoutputanddecreasedurinespecificgravity.Patient Case6.A74-year-oldwoman(weight50kg)hasbeenreceivingisotonictubefeedingsat60mL/hourforthepast8daysthroughhergastrostomyfeedingtube.Sherecentlyhadanischemicstroke;sheisresponsivebutisnotabletocommunicate.Herserumsodiumwas142mg/dLonthedaytheisotonicformulawasinitiated,andithasrisensteadilyto149,156,and159mg/dLondays3,4,and8,respectively,afterthestartofthetubefeed-ings.Whatisthebesttreatmentforherhypernatremia?A.Administersterilewaterintravenouslyat80mL/hour.B.Administer D5Wintravenouslyat80mL/hour.C.Administer D5W/0.225%sodiumchlorideintravenouslyat80mL/hour.D.Administerwaterbyenteralfeedingtube200mLevery6hours.

Page 30

ACCP Updates in Therapeutics® 2022: Pharmacotherapy Preparatory Review and Recertification Course (2022) - Page 30 preview image

Loading page image...

Fluids, Electrolytes, and NutritionACCP Updates in Therapeutics® 2022: Pharmacotherapy Preparatory Review and Recertification Course1-24VII. DISORDERS OF K+A.Normal plasma potassium concentrations are 3.5–5 mEq/L.B.K+is the primary IC cation (maintains electroneutrality with Na, the primary EC cation).C.K+balanceismaintainedbetweentheICandECcompartmentsbyseveralfactors,includingthefollowing:1.β2-Adrenergicstimulation(causedbyepinephrine)promotescellularuptakeofK+.2.Insulin promotes cellular uptake of K+.3.Plasma potassium concentration directly correlates with movement of K+in and out of cells becauseofpassiveshiftsbasedontheconcentrationgradientacrossthecellmembrane.(Anormalresponsetodiarrhea-induced hypokalemia is for K+toshiftoutofthecellspassively,minimizingthereductioninplasma potassium concentration.)D.Normal plasma concentrations of K+aremaintainedbyrenalexcretion.E.Hypokalemia (K+concentration less than 3.5 mEq/L)1.Causes of hypokalemiaa.Reducedintakeseldomcauseshypokalemiabecauserenalexcretionisminimizedbecauseofincreased renal tubular absorption.b.Increased shift of K+intocellscanoccurwiththefollowing:i.Alkalosisii.Insulin or a carbohydrate loadiii.β2-Receptor stimulation caused by stress-induced epinephrine release or administration of aβ-agonist(e.g.,albuterol,dobutamine)iv.Hypothermiac.Increased GI losses of K+canoccurwithvomiting,diarrhea,intestinalfistula,orenteraltubedrain-age,andchroniclaxativeabuse.d.Increasedurinarylossescanoccurwithmineralocorticoidexcess(e.g.,aldosterone)anddiureticuse(e.g.,loopsandthiazides).e.HypomagnesemiaiscommonlyassociatedwithhypokalemiacausedbyincreasedrenallossofK+;correctionofplasmapotassiumrequiressimultaneouscorrectionofserummagnesium.2.Symptomsofhypokalemiagenerallyoccurwhenplasmapotassiumislessthan3mEq/Landcanincludethefollowing:a.Muscleweaknessoccursmostcommonlyinthelowerextremities,butitcanprogresstothetrunk,upperextremities,andrespiratorymuscles.MuscleweaknessintheGItractcanmanifestaspara-lyticileus,abdominaldistention,nausea,vomiting,andconstipation.b.ECGchanges(flattenedTwavesorelevatedUwave)occur.c.Cardiacarrhythmias(bradycardia,heartblock,ventriculartachycardia,ventricularfibrillation)occur.d.Digoxintoxicitycanoccurdespitenormalserumdigoxinconcentrationsinthepresenceofhypokalemia.e.Rhabdomyolysiscanoccurbecausehypokalemiacancausereducedbloodflowtoskeletalmuscle.3.Treatment of hypokalemiaa.K+deficitcanbeestimatedas200–400mEqofK+for every 1 mEq/L reduction in plasma potas-sium(assuminganormaldistributionofK+between EC and IC compartments).b.AlthoughtheK+deficitcanbeestimated,K+replacementisguidedbyK+concentrations;recheckevery 2–4 hours if K+is less than 3 mEq/L.

Page 31

ACCP Updates in Therapeutics® 2022: Pharmacotherapy Preparatory Review and Recertification Course (2022) - Page 31 preview image

Loading page image...

Fluids, Electrolytes, and NutritionACCP Updates in Therapeutics® 2022: Pharmacotherapy Preparatory Review and Recertification Course1-25c.Potassium chloride is the preferred salt in patients with concurrent metabolic alkalosis becausethese patients typically lose ClthroughdiureticsorGIloss.Thisisthemostcommonpresentationof hypokalemia.d.Potassium acetate can be administered intravenously, or potassium bicarbonate can be adminis-tered orally for patients with a metabolic acidosis that requires frequent K+supplementation.e.GuidelinesforadministeringK+(Table8)Table 8.K+ReplacementPlasma K+(mEq/L)TreatmentaComments3–3.5OralKCl40–80mEq/dayifnosignsorsymptoms(doses>60mEqshouldbedividedtoavoidGIadverseeffects)Recheck K+daily2.5–3OralKCl120mEq/day(individeddoses)orIV60–80mEqadministeredat10–20mEq/hrifsignsorsymptomsMonitor K+closely(i.e., 2 hr after infusion)2–2.5IVKCl10–20mEq/hruntilnormalizedConsider continuous ECGmonitoring< 2IVKCl20–40mEq/hruntilnormalizedRequires continuous ECGmonitoringaTreatment doses are for patients with normal kidney function and should be reduced for patients with kidney dysfunction or older adults.ECG=electrocardiogram;GI=gastrointestinal;IV=intravenous;KCl=potassiumchloride;K+=potassium.i.PatientswithoutECGchangesorsymptomsofhypokalemiacanbetreatedwithoralsupplementation.ii.AvoidmixingK+indextrose,whichcancauseinsulinreleasewithasubsequentICshiftofK+.iii.Toavoidirritation,nomorethanabout60–80mEq/Lshouldbeadministeredthroughaperiph-eral vein.iv.Recommendedinfusionrateis10–20mEq/hourtoamaximumof40mEq/hour.v.Patients who receive K+atratesfasterthan10–20mEq/hourshouldbemonitoredusingacontinuous ECG.F.Hyperkalemia1.Causes of hyperkalemiaa.Increased intakeb.Shift of K+from the IC to the EC compartment causes hyperkalemia and can occur with thefollowing:i.Acidosisii.Insulindeficiencyiii.β-Adrenergicblockadeiv.Digoxinoverdosev.Rewarmingafterhypothermia(e.g.,aftercardiacsurgery)vi.Succinylcholinec.Reducedurinaryexcretioncanoccurwith:i.Kidney dysfunctionii.Intravascular volume depletioniii.Hypoaldosteronismiv.K+-sparingdiureticsv.Angiotensin-convertingenzymeinhibitorsandangiotensinreceptorblockersvi.Trimethoprim
Preview Mode

This document has 1105 pages. Sign in to access the full document!

Study Now!

XY-Copilot AI
Unlimited Access
Secure Payment
Instant Access
24/7 Support
Document Chat

Document Details

Related Documents

View all