Medical Dosage Calculations 9th Edition Test Bank

Sharpen your exam knowledge with Medical Dosage Calculations 9th Edition Test Bank, a guide designed to help you through practice questions.

Andrew Taylor
Contributor
4.2
46
5 months ago
Preview (16 of 74 Pages)
100%
Purchase to unlock

Page 1

Medical Dosage Calculations 9th Edition Test Bank - Page 1 preview image

Loading page image...

ExamName___________________________________SHORT ANSWER. Write the word or phrase that best completes each statement or answers the question.1)Write3400as a percentage and as a decimal number.1)Answer:0.75%, 0.0075Explanation:2)Simplify and write the answer as a whole number or fraction in lowest terms:35×415×25242)Answer:16Explanation:3)Write710as a percentage and as a decimal number.3)Answer:70%, 0.7Explanation:4)Simplify and write the answer as a whole number or fraction in lowest terms:1425×2077÷40114)Answer:125Explanation:5)Simplify and round off the answer to the nearest hundredth:0.4970.85)Answer:0.06Explanation:6)Simplify and write the answer as a whole number or fraction in lowest terms:15%×57×2236)Answer:27Explanation:1

Page 2

Medical Dosage Calculations 9th Edition Test Bank - Page 2 preview image

Loading page image...

Page 3

Medical Dosage Calculations 9th Edition Test Bank - Page 3 preview image

Loading page image...

7)Write 0.045 as a percentage and as a fraction in lowest terms.7)Answer:4.5%,9200Explanation:8)Write 0.625 as a percentage and as a fraction in lowest terms.8)Answer:62.5%,58Explanation:9)Write as a mixed number:10039)Answer:3313Explanation:10)Write 35% as a decimal number and as a fraction in lowest terms.10)Answer:0.35,720Explanation:11)Write as an improper fraction:102311)Answer:323Explanation:12)Write as a mixed number:36712)Answer:517Explanation:13)Write18as a percentage and as a decimal number.13)Answer:12.5%, 0.125Explanation:14)Write 0.5% as a decimal number and as a fraction in lowest terms.14)Answer:0.005,1200Explanation:15)Round down 4.8783 to the nearest tenth.15)Answer:4.8Explanation:2

Page 4

Medical Dosage Calculations 9th Edition Test Bank - Page 4 preview image

Loading page image...

16)Write as an improper fraction:55616)Answer:356Explanation:17)Simplify:300×3100910017)Answer:100Explanation:18)Simplify and round off the answer to the nearest tenth:0.348÷0.718)Answer:0.5Explanation:19)Write 0.3 as a percentage and as a fraction in lowest terms.19)Answer:30%,310Explanation:20)Write 2% as a decimal number and as a fraction in lowest terms.20)Answer:0.2,150Explanation:21)Write 0.65 as a percentage and as a fraction in lowest terms.21)Answer:65%,1320Explanation:22)Simplify and write the answer as a whole number or fraction in lowest terms:3200÷1130022)Answer:922Explanation:23)Simplify:3000×1101523)Answer:1,500Explanation:3

Page 5

Medical Dosage Calculations 9th Edition Test Bank - Page 5 preview image

Loading page image...

24)Write 0.9% as a decimal number and as a fraction in lowest terms.24)Answer:0.009,91000Explanation:25)Simplify and write the answer as a fraction in lowest terms:124525)Answer:58Explanation:26)Simplify and round off the answer to the nearest tenth:56.55×0.0326)Answer:1.7Explanation:27)Simplify and round off the answer to the nearest hundredth:45.3×0.00527)Answer:0.23Explanation:28)Round off 3.5243 to the nearest tenth.28)Answer:3.5Explanation:29)Round off 0.456333 to the nearest hundredth.29)Answer:0.46Explanation:30)Round down 0.43666 to the nearest hundredth.30)Answer:0.43Explanation:31)Simplify and write the answer as a mixed number:200400331)Answer:112Explanation:32)Write35as a percentage and as a decimal number.32)Answer:60%, 0.6Explanation:4

Page 6

Medical Dosage Calculations 9th Edition Test Bank - Page 6 preview image

Loading page image...

Answer KeyTestname: C11)0.75%, 0.00752)163)70%, 0.74)1255)0.066)277)4.5%,92008)62.5%,589)331310)0.35,72011)32312)51713)12.5%, 0.12514)0.005,120015)4.816)35617)10018)0.519)30%,31020)0.2,15021)65%,132022)92223)1,50024)0.009,9100025)5826)1.727)0.2328)3.55

Page 7

Medical Dosage Calculations 9th Edition Test Bank - Page 7 preview image

Loading page image...

Answer KeyTestname: C129)0.4630)0.4331)11232)60%, 0.66

Page 8

Medical Dosage Calculations 9th Edition Test Bank - Page 8 preview image

Loading page image...

ExamName___________________________________SHORT ANSWER. Write the word or phrase that best completes each statement or answers the question.1)A physician’s Order Sheet contains the following entry:heparin sodium 5000 units subcutaneously q8ha)What is the name of the drug to be administered?b)How much of the drug will be administered per dose?c)How often will the drug be administered?d)What is the route of administration?1)Answer:a).heparin sodiumb)5000 unitsc)every eight hoursd)subcutaneousExplanation:MedicationHours11/01Sun.11/02Mon.11/03Tues.11/04Wed.11/05Thurs.11/06Fri.11/07Sat.amlodipine 5 mg podaily10:00amSLSLSLLKLKEpogen 2000 unitsSubcutaneously threetimes a week(M/W/F)10:00amXSLXLKXHumulin N NPHinsulin U-100 46 unitssubcut ac breakfast6:30amJLJLJLMWMWColace 100mg po b.i.d.10:00am2:00pmSLSLSLSLSLSLLKLKLKLKAcetaminophen 650 mgpo PRN Temp 102°orhigherFigure 2-C3Portion of a Medication Administration Record2)Read the MAR in Figure 2-C3 and find the following information as recorded on the MAR:a)Which drug was administered at 0630h?b)Which drug was administered at 1400h on 11/02?c)How many doses of Epogen did the patient receive from 11/1 through 11/5?d)Which drugs were administered subcutaneously on November 5th?e)Did the patient have a temperature greater than 102°F from 11/1 through 11/5?2)Answer:a)Humulin N NPH insulinb)Colacec)Twod)Humulin N NPH insuline)NoExplanation:1

Page 9

Medical Dosage Calculations 9th Edition Test Bank - Page 9 preview image

Loading page image...

Figure 2-A3Drug label for Diabinese3)Read the label in Figure 2-A3 and find the following information:a)Trade name of the drugb)Generic name of the drugc)Form of the drugd)Strength of the drug3)Answer:a)Diabineseb)chlorpropamidec)tabletd)100 mg per tabletExplanation:4)A patient is to receive a medication q6h. The first dose was administered at 10:00 am onThursday. Write the days and times for the next three doses (expressed as military time).4)Answer:1600h on Thursday, 2200h on Thursday, and 0400h on FridayExplanation:5)A patient is to receive a medication every twelve hours. The first dose was administered at2100 h. At what time will the next dose be administered (expressed as military time)?5)Answer:0900h on the next dayExplanation:2

Page 10

Medical Dosage Calculations 9th Edition Test Bank - Page 10 preview image

Loading page image...

MedicationHours10/2010/2110/2210/2310/240900MBMBMBJOJOdigoxin 0.125 mg po daily0900MBMBMBJOJOfurosemide 40 mg po daily0900MBMBMBJOJOmetoclopramide HCl 15 mg po stat andq.i.d. a.c. and hs05000730113016302100GPMBMBBMBMXMBMBBMBMXMBMBBMBMXJOJOPDPDXJOJOPDPDnitroglycerin 0.3 mg SL q 3-5 min PRN(max 3 doses in 15 minFigure 2-C2Portion of a Medication Administration Record6)Read the MAR in Figure 2-C2 and find the following information:a)Which drug(s) was administered at 1:00pm?b).Which drug(s) was administered at 9:00 am on 10/22?c)What are the initials of the person who administered the nitroglycerin at 7:00pm?d)Which drug was administered immediately?e)What is the route of administration of the nitroglycerin?6)Answer:a)nitroglycerinb)digoxin and furosemidec)PDd)metoclopramide HCle)under the tongueExplanation:3

Page 11

Medical Dosage Calculations 9th Edition Test Bank - Page 11 preview image

Loading page image...

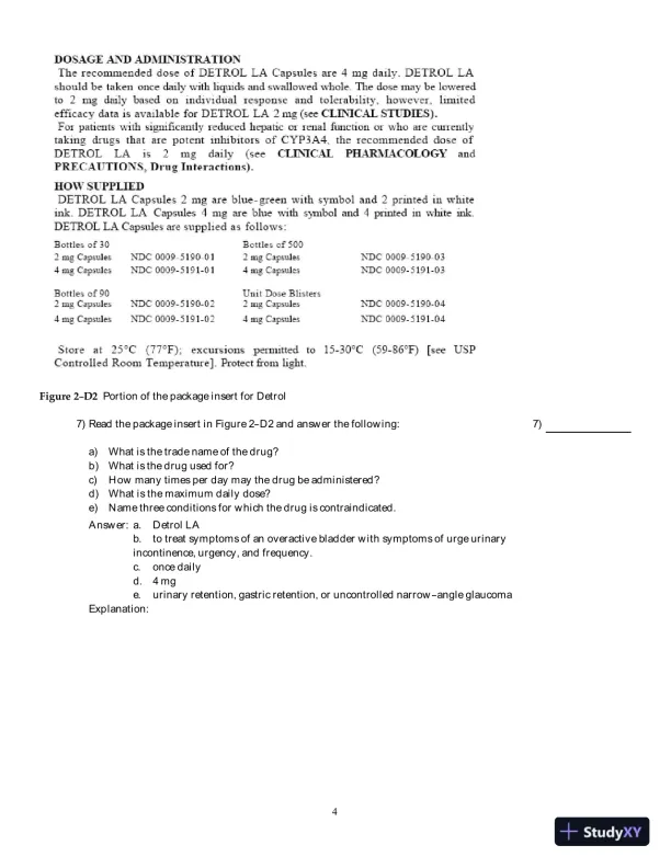
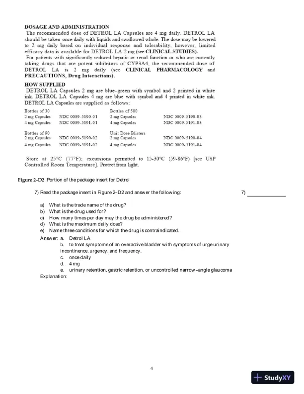
Figure 2-D2Portion of the package insert for Detrol7)Read the package insert in Figure 2-D2 and answer the following:a)What is the trade name of the drug?b)What is the drug used for?c)How many times per day may the drug be administered?d)What is the maximum daily dose?e)Name three conditions for which the drug is contraindicated.7)Answer:a.Detrol LAb.to treat symptoms of an overactive bladder with symptoms of urge urinaryincontinence, urgency, and frequency.c.once dailyd.4 mge.urinary retention, gastric retention, or uncontrolled narrow-angle glaucomaExplanation:4

Page 12

Medical Dosage Calculations 9th Edition Test Bank - Page 12 preview image

Loading page image...

MedicationHours12/0812/0912/1012/1112/12Demerol 75 mg IV q3h prn severe pain1800ABTylenol 650 mg po q4h prn fever>104°16002000ABABLasix 80 mg IV stat0900GHSlow-K 8 mEq po b.i.d.09000600GHGHGHGHGHRKFigure 2-C1Portion of a Medication Administration Record8)Read the MAR in Figure 2-C1 and find the following information:a)Which drug(s) was administered on 12/09?b)Which drug was administered at 6 pm on 12/08?c)What are the initials of the person who administered the Slow-K at 6 am on 12/11?d)Which drug had to be administered immediately?e)What is the route of administration of the Tylenol?8)Answer:a)Lasix and Slow-Kb)Demerolc)RKd)Lasixe)by mouthExplanation:5

Page 13

Medical Dosage Calculations 9th Edition Test Bank - Page 13 preview image

Loading page image...

MedicationHours9/119/129/139/149/159/169/17ampicillin 1 g IVPBq6h0600120018002400XXXCFCFCKCKCRCFCKCKCRCRCRCKCKCRCRCKDFdigoxin 0.125 mg podaily0900SSCKCKCRCRCoumadin 5 mg podaily0900SSCKCKCRCRfurosemide 40 mg IMstat1900XXCKXXFigure 2-C4Portion of a Medication Administration Record9)Read the MAR in Figure 2-C4 and find the following information:a)Which drug(s) was administered at 7:00pm?b)Which drug(s) was administered at 9:00am on September 13th?c)How many doses of ampicillin has the patient received?d)Which drug was administered immediately?e)What is the route of administration for the ampicillin?9)Answer:a)furosemideb)Coumadin and digoxinc)17d)furosemidee)intravenous piggy backExplanation:10)A physician’s Order Sheet contains the following entry:ceftazidime 200 mg IM q.i.d.a)What is the name of the drug to be administered?b)How much of the drug will be administered per dose?c)How often will the drug be administered?d)What is the route of administration?10)Answer:a)ceftazidimeb)200 milligramsc)four times per dayd)intramuscularExplanation:6

Page 14

Medical Dosage Calculations 9th Edition Test Bank - Page 14 preview image

Loading page image...

Figure 2-D1Portion of the package insert for Zonegran7

Page 15

Medical Dosage Calculations 9th Edition Test Bank - Page 15 preview image

Loading page image...

11)Read the package insert in Figure 2-D1 and answer the following:a)What is the trade name of the drug?b)What is the generic name of the drug?c)How many times per day may Zonegran be administered?d)What is theinitialrecommended maximum adult daily dose of Zonegran?e)What is the maximum strength for Zonegran capsules?11)Answer:a)Zonegranb)zonisamidec)once or twiced)100 mge)100 mgExplanation:8

Page 16

Medical Dosage Calculations 9th Edition Test Bank - Page 16 preview image

Loading page image...

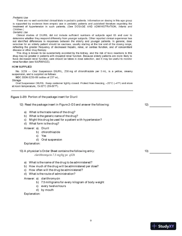
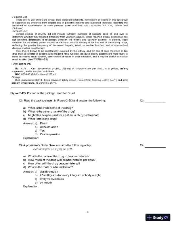
Figure 2-D3Portion of the package insert for Diuril12)Read the package insert in Figure 2-D3 and answer the following:a)What is the trade name of the drug?b)What is the generic name of the drug?c)Might this drug be used for a patient with hypertension?d)What form is the drug?12)Answer:a).Diurilb)chlorothiazidec)Yesd)Oral suspensionExplanation:13)A physician’s Order Sheet contains the following entry:clarithromycin 7.5 mg/kg po q12ha)What is the name of the drug to be administered?b)How much of the drug will be administered per dose?c)How often will the drug be administered?d)What is the route of administration?13)Answer:a)clarithromycinb)7.5 milligrams for every kilogram of body weightc)every twelve hoursd)by mouthExplanation:9
Preview Mode

This document has 74 pages. Sign in to access the full document!

Study Now!

XY-Copilot AI
Unlimited Access
Secure Payment
Instant Access
24/7 Support
Document Chat

Document Details

Subject
Medicine

Related Documents

View all