Quantitative Methods For Business, 12th Edition Solution Manual

Quantitative Methods For Business, 12th Edition Solution Manual helps you tackle difficult exercises with expert guidance.

John Wilson
Contributor
4.4
51
8 months ago
Preview (31 of 469 Pages)
100%
Purchase to unlock

Page 1

Quantitative Methods For Business, 12th Edition Solution Manual - Page 1 preview image

Loading page image...

Solutions Manual to AccompanyQuantitative Methods forBusinessTwelfthEdition

Page 2

Quantitative Methods For Business, 12th Edition Solution Manual - Page 2 preview image

Loading page image...

Page 3

Quantitative Methods For Business, 12th Edition Solution Manual - Page 3 preview image

Loading page image...

ContentsPrefaceChapter 1:IntroductionChapter 2:Introduction to ProbabilityChapter 3:Probability DistributionsChapter 4:Decision AnalysisChapter 5:Utility and Game TheoryChapter 6:ForecastingChapter 7:Introduction to Linear ProgrammingChapter 8:Linear Programming: Sensitivity Analysis and Interpretation of SolutionChapter 9:Linear Programming Applicationsin Marketing, Finance, and Operations ManagementChapter 10:Distribution and Network ModelsChapter 11:Integer Linear ProgrammingChapter 12:AdvancedOptimization ApplicationsChapter 13:Project Scheduling: PERT/CPMChapter 14:Inventory ModelsChapter 15:Waiting Line ModelsChapter 16:SimulationChapter 17:Markov ProcessesAppendix A:Building Spreadsheet Models

Page 4

Quantitative Methods For Business, 12th Edition Solution Manual - Page 4 preview image

Loading page image...

PrefaceThe purpose ofQuantitative Methods for Businessis to provide students with a soundconceptual understanding of the role quantitative methods play in the decision-makingprocess. The text emphasizes the application of quantitative methods by usingproblem situations to introduce each of the quantitative methods, concepts andtechniques. The book has been specifically designed to meet the needs ofnonmathematicians who are studying business.The Solutions Manual provides assistance in the form of identifying learningobjectives and providing detailed solutions for all problems in the text. Specificsections of the manual are as follows:Learning Objectives:Each chapter begins with an itemized list of learningobjectives and key terms.Problem Solutions:The major portion of the manual is devoted to providingcompletely worked out solutions to all text problems. We have included the equationsused as well as the computational results and answers.Note: The solutions to the case problems are included in the Solutions to CaseProblems Manual.David R. AndersonDennis J. SweeneyThomas A. WilliamsJeffrey D. CammJames J. CochranMichael J. FryJeffrey W. Ohlmann

Page 5

Quantitative Methods For Business, 12th Edition Solution Manual - Page 5 preview image

Loading page image...

1-1Chapter 1IntroductionLearning Objectives1.Develop a general understanding of the management science/operations research approach to decisionmaking.2.Realize that quantitative applications begin with a problem situation.3.Obtain a brief introduction to quantitative techniques and their frequency of use in practice.4.Understand that managerial problem situations have both quantitative andqualitative considerationsthat are important in the decision making process.5.Learn about models in terms of what they are and why theyare useful (the emphasis is onmathematicalmodels).6.Identify the step-by-step procedure that is used in most quantitative approaches to decision making.7.Learn about basic models of cost, revenue, and profit and be able to compute the breakeven point.8.Obtain an introduction to the use of computer software packages such asMicrosoft Excelin applyingquantitativemethods to decision making.9.Understand the following terms:modelinfeasible solutionobjective functionmanagement scienceconstraintoperations researchdeterministic modelfixed coststochastic modelvariable costfeasible solutionbreakeven pointSolutions:

Page 6

Quantitative Methods For Business, 12th Edition Solution Manual - Page 6 preview image

Loading page image...

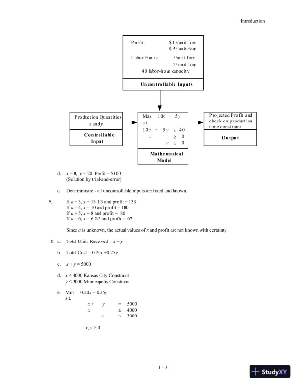
Chapter 11-21.Management science and operations research, terms used almost interchangeably, are broaddisciplines that employ scientific methodology in managerial decision making or problemsolving. Drawing upon a variety of disciplines (behavioral, mathematical, etc.), managementscience and operations research combine quantitativeand qualitativeconsiderations in order toestablish policies and decisions that are in the best interest of the organization.2.Define the problemIdentify the alternativesDetermine the criteriaEvaluate the alternativesChoose an alternativeFor further discussion see section 1.33.See section 1.2.4.A quantitative approach should be considered because the problem is large, complex, important,new and repetitive.5.Models usually have time, cost, and risk advantages over experimenting with actual situations.6.Model (a) may be quicker to formulate, easier to solve, and/or more easily understood.7.Letd= distancem= miles per gallonc= cost per gallon,ThereforeTotal Cost =2dcmWe must be willing to treatmandcas known and not subject to variation.8.a.Maximize10x+ 5ys.t.5x+ 2y40x0,y0b.Controllable inputs:xandyUncontrollable inputs: profit (10,5), labor hours (5,2) and labor-hour availability (40)c.

Page 7

Quantitative Methods For Business, 12th Edition Solution Manual - Page 7 preview image

Loading page image...

Introduction1-3P rofit :Labor Hours:5/unit forx2/ unit fory$10/unit forx$ 5/ unit fory40 labor-hour capacit yUn con trol lable InputsP roduct ion Quant itiesxandyCon troll abl eInputP roject ed P rofit andcheck on product iont ime const raintO u tpu tMax10x+5ys.t.10xy+540xy00Mathe maticalModeld.x= 0,y= 20 Profit = $100(Solution by trial-and-error)e.Deterministic-all uncontrollable inputs are fixed and known.9.Ifa= 3,x= 13 1/3 and profit = 133Ifa= 4,x= 10 and profit = 100Ifa= 5,x= 8 and profit = 80Ifa= 6,x= 6 2/3 and profit = 67Sinceais unknown, the actual values ofxand profit are not known with certainty.10.a.Total Units Received =x+yb.Total Cost = 0.20x+0.25yc.x+y= 5000d.x4000 Kansas City Constrainty3000 Minneapolis Constrainte.Min0.20x+ 0.25ys.t.x+y=5000x4000y3000x,y0

Page 8

Quantitative Methods For Business, 12th Edition Solution Manual - Page 8 preview image

Loading page image...

Chapter 11-411.a.At the $20 per-unit price, the firm can sell80010(20) = 600units. At the $70 per-unit price, the firm cansell80010(70) = 100units.b.If the firm increases the per-unit price from $26 to $27, the annual demand for the product in unitsdecreases from 80010(26) = 540 to 80010(27) = 530. If the firm increases the per-unit pricefrom $42 to $43, the annual demand for the product in units decreases from 80010(42) = 380 to80010(43) = 370. If the firm increases the per-unit price from $68 to $69, the annual demand forthe product in units decreases from 80010(68) = 120 to 80010(69) = 110. These results suggestthat a one dollar increase in price results in a 10 unit decrease in demand.c.Since total revenue (TR) is the product of demand (d) and price (p), we have thatTR=dp= (80010p)p= 800p10p2.d.At $30,TR= 800(30)10(30)2= 24,00010(900) = 15,000.At $40,TR= 800(40)10(40)2= 32,00010(1600) = 16,000.At $50,TR= 800(50)10(50)2= 40,00010(2500) = 15,000.When considering price alternatives of $30, $40, and $50, total revenue is maximized at the $40price (i.e.,p= 40).e.The expected annual demand and the total revenue according to the recommended price of $40(from part d) are:d= 80010p= 80010(40) = 400 unitsTR= 800p10p2= 800(40)10(40)2= $16,00012.a.Ifxrepresents the number of pairs of shoes produced, a mathematical model for the total cost of producingxpairs of shoes isTC= 2000 + 60x. The two components of total cost in this model are fixed cost ($2,000)and variable cost (60x).b.IfPrepresents the total profit, the total revenue (TR) is 80xand a mathematical model for the totalprofit realized from an order forxpairs of shoes isP=TRTC= 80x(2000+60x) = 20x2000.c.The breakeven point is the number of shoes produced (x) at the point of no profit (P= 0).Thus the breakeven point is the value ofxwhenP= 20x2000 = 0. This occurs when 20x= 2000 orx= 100, i.e., the breakeven point is 100 pairs of shoes.13.a.Ifxrepresents the number of students who enroll in the seminar, a model for the total cost to put on theseminar is 9600 + 60(2x) = 9600 + 120x(note that the variable cost per student is $60 per day, and theseminar is scheduled to last for two days, so total variable cost per student will be $120).b.A model for the total profit ifxstudents enroll in the seminar is total revenue (TR)total cost (TC),which is 600x(9600 + 120x) = 480x-9600.c.For Micromedia’s forecasted enrollment of 30 students, the seminar will earn 480(30)9600 = 4800if its forecast is accurate.d.The breakeven point is the number of shoes produced (x) at the point of no profit (P= 0).Thus the breakeven point is the value ofxwhenP= 480x-9600 = 0. This occurs when 480x= 9600orx= 20, i.e., the breakeven point for the seminar is 20 students.14.a.Ifxrepresents the number of copies of the book that are sold, total revenue (TR) = 46xand total cost (TC)= 160,000 + 6x, so Profit =TRTC= 46x(160,000 + 6x) = 40x160,000. The breakeven point is thenumber of books produced (x) at the point of no profit (P= 0). Thus the breakeven point is the value ofxwhenP= 40x-160,000 = 0. This occurs when 40x= 160,000orx= 4000, i.e., the breakeven point is 4000copies of the book.

Page 9

Quantitative Methods For Business, 12th Edition Solution Manual - Page 9 preview image

Loading page image...

Introduction1-5b.At a demand of 3800 copies, the publisher can expect a profit of 40(3800)160,000 = 152,000160,000=-8000, i.e., a loss of $8,000.c.Here we know demand (d= 3800) and want to determine the pricepat which we will breakeven (thepoint at which profit is 0). The minimum price per copy that the publisher must charge to break evenis Profit =p(3800)(160,000 + 6(3800)) = 3800p-182,800. This occurs whre 3800p= 182,800 orp= 48.10526316 or a price of approximately $48.d.If the publisher believes demand will remain at 4000 copies if the price per copy is increased to$50.95 , then the publisher could anticipate a profit ofTRTC= 50.95(4000)(160,000 + 6(4000))= 203,800-184,000 = 19,800 or a profit of $19,800. This is a return ofp/TC= 10.8% on the totalcost of $184,000, and the publisher should procede if this return is sufficient.15.a.Ifxrepresents the number of luxury boxes that are constructed, total revenue (TR) = 300,000xand totalcost (TC) = 4,500,000 + 150,000x, so Profit =TRTC= 300,000x(4,500,000 + 150,000x) = 150,000x4,500,000. The breakeven point is the number of luxury boxes produced (x) at the point of no profit (P= 0).Thus the breakeven point is the value ofxwhenP= 150,000x4,500,000 = 0. This occurs when 150,000x= 4,500,000 orx= 30, i.e., the breakeven point is 30 luxury boxes.b.The anticipated profit from this decision isP= 150,000(50)4,500,000 = 7,500,000-4,500,000 =$3,000,000. Since this represents a return ofp/TC= 25% on the total cost of $12,000,000, cityofficials should authorize construction of 50 luxury boxes.16.a.The annual return per share of Oil Alaska is $6.00 and the annual return per share of Southwest Petroleumis $4.00, so the objective function that maximizes the total annual return is Max 6x+ 4y.b.The price per share of Oil Alaska is $50.00 and the price per share of Southwest Petroleum is $30.00,so(1)the mathematical expression for the constraint that limits total investment funds to $800,000 is50x+ 30y≤ 800000,(2)the mathematical expression for the constraint that limits investment in Oil Alaska to $500,000is 50x≤ 500000, and(3)the mathematical expression for the constraint that limits investment in Southwest Petroleum to$450,000 is 30y≤ 450000.17.a.sj=sj-1+xj-djorsj-sj-1-xj+dj= 0b.xjcjc.sjIj

Page 10

Quantitative Methods For Business, 12th Edition Solution Manual - Page 10 preview image

Loading page image...

2-1Chapter 2Introduction to ProbabilityLearning Objectives1.Obtain an understanding of the role probability information plays in the decision making process.2.Understand probability as a numerical measure of the likelihood of occurrence.3.Be able to use the three methods (classical, relative frequency, and subjective) commonly used forassigning probabilities and understand when they should be used.4.Be able to use the addition law and be able to compute the probabilities of events using conditionalprobability and the multiplication law.5.Be able to use new information to revise initial (prior) probability estimates using Bayes' theorem.6.Know the definition of the following terms:experimentaddition lawsample spacemutually exclusiveeventconditional probabilitycomplementindependent eventsVenn Diagrammultiplication lawunion of eventsprior probabilityintersection of eventsposterior probabilityBayes' theoremSimpson’s Paradox

Page 11

Quantitative Methods For Business, 12th Edition Solution Manual - Page 11 preview image

Loading page image...

Chapter 22-2Solutions:1.a.Go to the x-ray department at 9:00 a.m. and record the number of persons waiting.b.The experimental outcomes (sample points) are the number of people waiting: 0, 1, 2, 3, and 4.Note: While it is theoretically possible for more than 4 people to be waiting, we use what hasactually been observed to define the experimental outcomes.c.Number WaitingProbability0.101.252.303.204.15Total:1.00d.The relative frequency method was used.2.a.Choose a person at random, haveher/ himtaste the 4 blends and stateapreference.b.Assign a probability of 1/4 to each blend. We use the classical method of equally likely outcomeshere.c.BlendProbability1.202.303.354.15Total:1.00The relative frequency method was used.3.Initially a probability of .20 would be assigned if selection is equally likely. Data does not appear toconfirm the belief of equal consumer preference. For example using the relative frequency methodwe would assign a probability of 5 / 100 = .05 to the design 1 outcome, .15 to design 2, .30 todesign 3, .40 to design 4, and .10 to design 5.4.a.Of the 132,275,830 individual tax returns received by the IRS in 2006, 31,675,935were in the1040A, Income Under $25,000 category. Using the relative frequency approach, the probability areturn from the 1040A, Income Under $25,000 category would be chosen at random is31675935/132275830 = 0.239.b.Of the 132,275,830 individual tax returns received by the IRS in 2006,3,376,943 were in theSchedule C, Reciepts Under $25,000 category; 3,867,743 were in the Schedule C, Reciepts $25,000-$100,000 category; and were 2,288,550 in the Schedule C, Reciepts $100,000 & Over category.Therefore, 9,533,236 Schedule Cs were filed in 2006, and the remaining 132,275,830-9,533,236 =122,742,594 individual returns did not use Schedule C. By the relative frequency approach, theprobability the chosen return did not use Schedule C is 122742594/132275830 = 0.928.c.Of the 132,275,830 individual tax returns received by the IRS in 2006, 12,893,802 were in the Non1040A, Income $100,000 & Over category; 2,288,550 were in the Schedule C, Reciepts $100,000 &

Page 12

Quantitative Methods For Business, 12th Edition Solution Manual - Page 12 preview image

Loading page image...

Introduction to Probability2-3Over category; and 265,612 were in the Schedule F, Reciepts $100,000 & Over category. By therelative frequency approach, the probability the chosen return reported income/reciepts of $100,000and over is (12893802 + 2288550 + 265612)/132275830 = 15447964/132275830 = 0.117.d.26,463,973 Non 1040A, Income $50,000-$100,000 returnswere filed in 2006, so assumingexamined returns were evenly distributed across the ten categories (i.e., the IRS examined 1% ofindividual returns in each category), the number of returns from theNon 1040A, Income $50,000-$100,000 category that wereexamined is 0.01(26463973) =264,639.73 (or 264,640).e.The proportion of total 2006 returns in the Schedule C, reciepts $100,000 & Over is2,288,550/132,275,830 = 0.0173. Therefore, if we assume the recommended additional taxes areevenly distributed across the ten categories, the amount of recommended additional taxes for theSchedule C, Reciepts $100,000 & Over category is0.0173($13,045,221,000.00) = $225,699,891.81.5.a.No, the probabilities do not sum to one. They sum to 0.85.b.Owner must revise the probabilities so that they sum to 1.00.6.a.P(A)=P(150-199) +P(200 and over)=265100100= 0.31b.P(B) =P(less than 50) +P(50-99) +P(100-149)= 0.13 + 0.22 + 0.34= 0.697.a.P(A) = .40, P(B) = .40, P(C) = .60b.P(AB) = P(E1, E2, E3, E4) = .80. Yes P(AB) = P(A) + P(B).c.Ac= {E3, E4, E5}Cc= {E1, E4}P(Ac) = .60 P(Cc) = .40d.ABc= {E1, E2, E5}P(ABc) = .60e.P(BC) = P(E2, E3, E4, E5) = .808.a.Let P(A) be the probabilitya hospital had a daily inpatient volume of at least 200 and P(B) be theprobability a hospital had a nurse to patient ratio of at least 3.0. From the list of thirty hospitals, sixteenhad a daily inpatient volume of at least 200, so by the relative frequency approach the probability one ofthese hospitals had a daily inpatient volume of at least 200 is P(A) = 16/30 = 0.533, Similarly, since ten(one-third) of the hospitals had a nurse-to-patient ratio of at least 3.0, the probability of ahospital havinga nurse-to-patient ratio of at least 3.0 isP(B) =10/30 = 0.333. Finally, sinceseven of the hospitals hadboth a daily inpatient volume of at least 200 and a nurse-to-patient ratio of at least 3.0, the probability of ahospital having both adaily inpatient volume of at least 200 and a nurse-to-patient ratio of at least 3.0isP(AB) =7/30 = 0.233.b.The probability that a hospital had adaily inpatient volume of at least 200 or a nurse to patient ratio ofat least 3.0or both is P(AUB) = P(A) + P(B)-P(AB) = 16/30 + 10/307/30 = (16 + 107)/30 =19/30= 0.633.c.The probability that a hospital had neither adaily inpatient volume of at least 200 nor a nurse to patientratio of at least 3.0 is 1P(AUB) = 1-19/30 = 11/30 = 0.367.

Page 13

Quantitative Methods For Business, 12th Edition Solution Manual - Page 13 preview image

Loading page image...

Chapter 22-49.Let E= event patient treated experienced eye relief.S= event patient treated had skin rash clear up.Given:P (E)= 90 / 250 = 0.36P (S)= 135 / 250 = 0.54P (ES)= 45 / 250 = 0.18P (ES )= P (E) + P (S)-P (ES)= 0.36 + 0.54-0.18= 0.7210.P(Defective and Minor) = 4/25P(Defective and Major) = 2/25P(Defective) = (4/25) + (2/25) = 6/25P(Major Defect | Defective) = P(Defective and Major) / P(Defective) = (2/25)/(6/25) = 2/6 = 1/3.11.a.Yes; the person cannot be in an automobile and a bus at the same time.b.P(Bc) = 1-P(B) = 1-0.35 = 0.6512.a.P(AB)0.40P(A B)0.6667P(B)0.60b.P(AB)0.40P(B A)0.80P(A)0.50c.No because P(A | B)P(A)13.a.Reason for ApplyingQualityCost/ConvenienceOtherTotalFull Time0.2180.2040.0390.461Part Time0.2080.3070.0240.539Total0.4260.5110.0631.00b.It is most likely a student will cite cost or convenience as the first reason: probability = 0.511. Schoolquality is the first reason cited by the second largest number of students: probability = 0.426.c.P (Qualityfull time) = 0.218/0.461 = 0.473d.P (Qualitypart time) = 0.208/0.539 = 0.386e.P (B) = 0.426 and P (BA) = 0.473SinceP(B)P(BA), the events are dependent.

Page 14

Quantitative Methods For Business, 12th Edition Solution Manual - Page 14 preview image

Loading page image...

Introduction to Probability2-514.$0-$499$500-$999>=$1000<2 yrs12024090450>= 2 yrs752752005501955152901000$0-$499$500-$999>=$1000<2 yrs0.120.240.090.45>= 2 yrs0.0750.2750.20.550.1950.5150.291.00a.P(< 2 yrs) = .45b.P(>= $1000) = .29c.P(2 accounts have > = $1000) = (.29)(.29) = .0841d.P($500-$999 | >= 2 yrs) = P($500-$999 and >= 2 yrs) / P(>=2yrs) = .275/.55 = .5e.P(< 2 yrs and >=$1000) = .09f.P(>=2 yrs | $500-$999) = .275/.515 = .53398115.a.A joint probability table for these data looks like this:Automobile Insurance CoverageYesNoTotalAge18 to 34.375.085.4635 and over.475.065.54Total.850.1501.00For parts (b) through (g):LetA= 18 to 34 age groupB= 35 and over age groupY= Has automobile insurance coverageN= Does not have automobile insurance coverageb.We have P(A) = .46 and P(B) = .54, so of the population age 18 and over, 46% are ages 18 to 34 and54% are ages 35 and over.c.The probability a randomly selected individual does not have automobile insurance coverage is P(N)= .15.d.If the individual is between the ages of 18 and 34, the probability the individual does not haveautomobile insurance coverage isP.085P=== .1848.P.46NANAAe.If the individual is age 35 or over, the probability the individual does not have automobile insurancecoverage is

Page 15

Quantitative Methods For Business, 12th Edition Solution Manual - Page 15 preview image

Loading page image...

Chapter 22-6P.065PB === .1204.P.54NBNBf.If the individual does not have automobile insurance, the probability that the individual is in the 1834 age group isP.085P=== .5667.P.15ANA NNg.The probability information tells us that in the US, younger drivers are less likely to have automobileinsurance coverage.16.a.P(AB) =P(A)P(B) = (0.55)(0.35) = 0.19b.P(AB) =P(A) +P(B)-P(AB) = 0.90-0.19 = 0.71c.1-0.71 = 0.2917.a. P(attend multiple games) = 196 / 989 ≈ 19.8%.b. P(male | attend multiple games) = 177 / 196 ≈ 90.3%.c. P(male and attend multiple games) = P(male | attend multiple games) × P(attend multiple games) =(177 / 196) × (196 / 989) = 177 / 989 ≈ 17.9%.d. P(attend multiple games | male) = P(attend multiple games and male) / P(male) = (177 / 989) / (759 /989) = 177 / 759 ≈ 23.3%.e. P(male or attend multiple games) = P(male) + P(attend multiple games)P(male and attend multiplegames) = (759 / 989) + (196 / 989)(177 / 989) = 778 / 989 ≈ 78.7%.18.a.P(B) = 0.25P(SB) = 0.40P(SB) = 0.25(0.40) = 0.10b.P(SB)0.10P(B S)0.25P(S)0.40c.B and S are independent. The program appears to have no effect.19.Let:A = lost time accident in current yearB = lost time accident previous yearGiven: P(B) = 0.06, P(A) = 0.05, P(AB) = 0.15a.P(AB) = P(AB)P(B) = 0.15(0.06) = 0.009b.P(AB) = P(A) + P(B)-P(AB)= 0.06 + 0.05-0.009 = 0.101 or 10.1%20.a.P(BA1) = P(A1)P(BA1) = (0.20)(0.50) = 0.10P(BA2) = P(A2)P(BA2) = (0.50)(0.40) = 0.20

Page 16

Quantitative Methods For Business, 12th Edition Solution Manual - Page 16 preview image

Loading page image...

Introduction to Probability2-7P(BA3) = P(A3)P(BA3) = (0.30)(0.30) = 0.09b.20.20P(AB)0.510.100.200.09c.EventsP(Ai)P(BAi)P(AiB)P(AiB)A10.200.500.100.26A20.500.400.200.51A30.300.300.090.231.000.391.0021.S1= successful, S2= not successful and B = request received for additional information.a.P(S1) = 0.50b.P(BS1) = 0.75c.1(0.50)(0.75)0.375P(S B)0.65(0.50)(0.75)(0.50)(0.40)0.57522.a.Let F = female. Using past history as a guide, P(F) = .40b.Let D = Dillard's.40(3/ 4).30P(F D).67.40(3/ 4).60(1/ 4).30.15The revised (posterior) probability that the visitor is female is .67.We should display the offer that appeals to female visitors.23.a.P(Oil) = 0.50 + 0.20 = 0.70b.Let S = Soil test resultsEventsP(Ai)P(SAi)P(AiS)P(AiS)High Quality (A1)0.500.200.100.31Medium Quality (A2)0.200.800.160.50No Oil (A3)0.300.200.060.191.00P(S) = 0.321.00P(Oil) = 0.81 which is good; however, probabilities now favor medium quality rather than highquality oil.24.LetS= speeding is reportedSC= speeding is not reportedF = Accident results in fatality for vehicle occupantWe have P(S) = .129, so P(SC) = .871. Also P(F|S) = .196 and P(F|SC) = .05. Using the tabular form

Page 17

Quantitative Methods For Business, 12th Edition Solution Manual - Page 17 preview image

Loading page image...

Chapter 22-8of Bayes’ Theorem provides:PriorConditionalJointPosteriorEventsProbabilitiesProbabilitiesProbabilitiesProbabilitiesS.129.196.0384.939SC.871.050.0025.0611.000P(F) =.04091.000P(S | F) = .2195, i.e., if an accident involved a fatality. the probability speeding was reported is0.939.25.EventsP(Ai)P(DAi)P(AiD)P(AiD)Supplier A0.600.00250.00150.23Supplier B0.300.01000.00300.46Supplier C0.100.02000.00200.311.00P(D) = 0.00651.00a.P(D) = 0.0065b.B is the most likely supplier if a defect is found.26.a.EventsP(Di)P(S1|Di)P(DiS1)P(Di|S1)D1.60.15.090.2195D2.40.80.320.78051.00P(S1) = .4101.0000P(D1| S1) = .2195P(D2| S1) = .7805b.EventsP(Di)P(S2|Di)P(DiS2)P(Di|S2)D1.60.10.060.500D2.40.15.060.5001.00P(S2) = .1201.000P(D1| S2) = .50P(D2| S2) = .50c.EventsP(Di)P(S3|Di)P(DiS3)P(Di|S3)D1.60.15.090.8824D2.40.03.012.11761.00P(S3) = .1021.0000P(D1| S3) = .8824

Page 18

Quantitative Methods For Business, 12th Edition Solution Manual - Page 18 preview image

Loading page image...

Introduction to Probability2-9P(D2| S3) = .1176d.Use the posterior probabilities from part (a) as the prior probabilities here.EventsP(Di)P(S2| Di)P(DiS2)P(Di| S2)D1.2195.10.0220.1582D2.7805.15.1171.84181.0000.13911.0000P(D1| S1and S2) = .1582P(D2| S1and S2) = .841827.a.GenderToo FastAcceptableMale Golfers3565Female Golfers4060The proportion of male golfers who say the greens are too fast is 35/(35 + 65) = 0.35, while theproportion of female golfers who say the greens are too fast is 40/(40 + 60) = 0.40. Thereisa higherpercentage of female golfers who say the greens are too fast.b.There are 50 male golfers with low handicaps, and 10 of these golfers say the greens are too fast, sofor male golfers the proportion with low handicaps who say the greens are too fast is 10/50 = 0.20.On the other hand, there are 10 female golfers with low handicaps, and 1 of these golfers says thegreens are too fast, so for female golfers the proportion with low handicaps who say the greens aretoo fast is 1/10 = 0.10.c.There are 50 male golfers with higher handicaps, and 25 of these golfers say the greens are too fast,so for male golfers the proportion with higher handicaps who say the greens are too fast is 25/50 =0.50. On the other hand, there are 90 female golfers with higher handicaps, and 39 of these golferssays the greens are too fast, so for female golfers the proportion with higher handicaps who say thegreens are too fast is 39/90 = 0.43.d.When the data are aggregated across handicap categories, the proportion of female golfers who saythe greens are too fast exceeds the proportion of male golfers who say the greens are too fast.However, when we introduce a third variable, handicap, we see different results. When sorted byhandicap categories, we see that the proportion of male golfers who find the greens too fast is higherthan female golfers for both low and high handicap categories. This is an example of Simpson’sparadox.28.a.Male ApplicantsFemale ApplicantsAccept7040Deny9080After combining these two crosstabulations into a single crosstabulation with Accept and Deny as the rowlabels and Male and Female as the column labels, we see that the rate of acceptance for males across theuniversity is 70/(70+90) = .4375 or approximately 44%, while the rate of acceptance for females acrossthe university is 40/(40+80) = .33 or 33%.b.If we focus solely on the overall data, we would conclude the university’s admission process is biased infavor of male applicant. However, this occurs because most females apply to the College of Business

Page 19

Quantitative Methods For Business, 12th Edition Solution Manual - Page 19 preview image

Loading page image...

Chapter 22-10(which has a far lower rate of acceptance that the College of Engineering). When we look at eachcollege’s acceptance rate by gender, we see the acceptance rate of males and females are equal in theCollege of Engineering (75%) and the acceptance rate of males and females are equal in the College ofBusiness (33%). The data do not support theaccusation that the university favors male applicants in itsadmissions process.

Page 20

Quantitative Methods For Business, 12th Edition Solution Manual - Page 20 preview image

Loading page image...

3-1Chapter 3Probability DistributionsLearning Objectives1.Understand the concepts of a random variable and a probability distribution.2.Be able to distinguish between discrete and continuous random variables.3.Be able to compute and interpret the expected value, variance, and standard deviation for a discreterandom variable.4.Be able to compute probabilities using a binomial probability distribution.5.Be able to compute probabilities using a Poisson probability distribution.6.Understand the difference between how probabilities are computed for discrete and continuousrandom variables.7.Know how to compute probability values for a continuous uniform probability distribution and beable to compute the expected value and variance for such a distribution.8.Be able to compute probabilities using a normal probability distribution. Understand the role of thestandard normal distribution in this process.9.Be able to compute probabilities using an exponential probability distribution.

Page 21

Quantitative Methods For Business, 12th Edition Solution Manual - Page 21 preview image

Loading page image...

3-2Solutions:1.a.values:0,1,2,...,20discreteb.values:0,1,2,...discretec.values:0,1,2,...,50discreted.values:0x8continuouse.values:x0continuous2.a.f(200)= 1-f(-100)-f(0)-f(50)-f(100)-f(150)= 1-0.95 = 0.05This is the probability MRA will have a $200,000 profit.b.P(Profit)=f(50) +f(100) +f(150) +f(200)= 0.30 + 0.25 + 0.10 + 0.05 = 0.70c.P(at least 100)=f(100) +f(150) +f(200)= 0.25 + 0.10 + 0.05 = 0.403.a.xf(x)13/20 = 0.1525/20 = 0.2538/20 = 0.4044/20 =0.201.00b.

Page 22

Quantitative Methods For Business, 12th Edition Solution Manual - Page 22 preview image

Loading page image...

Probability Distributions3-3c.f(x)0 forx= 1,2,3,4.f(x) = 14.a.xf(x)x f(x)3.25.756.503.009.252.251.006.00E(x) == 6.00b.xx-(x-)2f(x)(x-)2f(x)3-39.252.25600.500.00939.252.254.50Var (x) =2= 4.50c.4.502.12 5.LetX= amount of money in a randomly selected bar of soap.The following table shows the calculations for parts (a)and(b).Distribution of PaperCurrency PrizesBillDenomination (x)Number ofBillsf(x)xf(x)(x-)2(x-)2f(x)$15200.520.5224.700912.844468$52600.261.30.94090.244634$101200.121.216.24091.948908$20700.071.4196.840913.778863$50290.0291.451938.640956.2205861$10010.0010.18841.64098.8416409Total10001.005.9793.8791a.E[X] = 5.97b.St. Dev. (X) == 9.69c.LetY= number of bars that contain a $50 or $100 bill. Observe thatYis a binomial random variable,

Page 23

Quantitative Methods For Business, 12th Edition Solution Manual - Page 23 preview image

Loading page image...

Chapter 33-4wheren= numbers of bars purchased andp= probability ofa bar containing a $50 or $100 bill =(29/1000) + (1/1000) = .03. E[Y] =n×p=n× 0.03 = 3, thusn= 100. The customer needs to buy 100bars of soap to have, on average, three bars with a $50 or $100 bill.d.LetW= number of bars that contain a $20 or $50 or $100 bill. Observe thatWis a binomial randomvariable, wheren= 8 and p = (70 + 29 + 1 / 1000) = 0.10. P(W≥ 1) = 1P(W= 0) = 1-.4305 = .5695.6.The following table shows the calculations for parts (a)and(b).xf(x)xf(x)x-(x-)2(x-)2f(x)1.97176.97176-.03000.00090.000872.026675.05333.97000.94090.025093.00140.0042181.970003.88090.005444.00014.000592.970008.82090.001315.00002.000113.9700015.76089.000341.00001.03000.03305If we letx= 5 represent quintuplets or more, the probability distribution of thenumber children born perpregnancy in 1996 is provided in the first two columns of the table above.a.Theexpected value ofthe number children born per pregnancy in 1996 is E[x] = 1.030.b.The variance of the number children born per pregnancy in 1996 is V[x] =2= 0.0331.The following table shows the calculations for parts (c)and(d).yf(y)yf(y)y-(y-)2(y-)2f(y)10.9659640.9650964-0.03661180.00134040.00129363920.03331430.06662860.96338820.92811680.03091955130.00148680.00446041.96338823.85489320.00573142340.00008630.00034512.96338828.78166950.00075761150.00001630.00008143.963388215.70844590.0002557691.00000001.03661180.038957993If we lety = 5 represent quintuplets or more, the probability distribution of thenumber children born perpregnancy in 2006 is provided in the first two columns of the table above.c.Theexpected value ofthe number children born per pregnancy in 2006 is E[y] = 1.030.d.The variance of the number children born per pregnancy in 2006 (after rounding) is V[y] =2= 0.0390.e.The number of children born per pregnancy is greater in 2006 than in 1996, and the variation in thenumber of children born per pregnancy is also greater in 2006 than in 1996. However, these dataprovide no information on which we could base a determination of causes of this upward trend.7.a.E(x)=xf(x)= 300(0.20) + 400(0.30) + 500(0.35) + 600(0.15)= 445

Page 24

Quantitative Methods For Business, 12th Edition Solution Manual - Page 24 preview image

Loading page image...

Probability Distributions3-5The monthly order quantity should be 445 units.b.Cost:445 @ $50 = $22,250Revenue:300 @ $70 =21,000$ 1,250 Lossc.xf(x)(x-μ)(x-μ)2(x-μ)2f(x)3000.20-145210254205.004000.30-452025607.505000.35+ 5530251058.756000.15+155240253603.752= 9475.00=947597.348.a.Medium:E(x)=xf(x)= 50(0.20) + 150(0.50) + 200(3.0) = 145Large:E(x)=xf(x)= 0(0.20) + 100(0.50) + 300(0.30) = 140Medium preferred.b.Mediumxf(x)(x-μ)(x-μ)2(x-μ)2f(x)500.20-9590251805.01500.5052512.52000.30553025907.52= 2725.0Largexf(x)(x-μ)(x-μ)2(x-μ)2f(x)00.20-1401960039201000.50-4016008003000.301602560076802= 12,400Medium preferred due to less variance.9.a.1122!(1)(0.4) (0.6)(0.4)(0.6)0.4811!1!fb.0222!(0)(0.4) (0.6)(1)(0.36)0.3600!2!fc.2022!(2)(0.4) (0.6)(0.16)(1)0.1622!0!fd.P(x1) =f(1) +f(2) = .48 + .16 = .64e.E(x) =n p= 2 (.4) = .8

Page 25

Quantitative Methods For Business, 12th Edition Solution Manual - Page 25 preview image

Loading page image...

Chapter 33-6Var (x) =n p(1-p) = 2 (.4) (.6) = .480.480.6928 10.a.f(0) = .3487b.f(2) = .1937c.P(x2) =f(0) +f(1) +f(2) = .3487 + .3874 + .1937 = .9298d.P(x1) = 1-f(0) = 1-.3487 = .6513e.E(x) =n p= 10 (.1) = 1f.Var (x) =n p(1-p) = 10 (.1) (.9) = .90.90.9487 11.a.In a sample of six British citizens, the probability that two have everboycotted goods for ethical reasonsis  2789.23.1.23262262fb.In a sample of six British citizens, the probability that at least tworeports have boycotted goods for ethicalreasonsis          .4180.0001.0030.0249.1111.2789.23.1.236623.1.235623.1.234623.1.233623.1.2326654322666565464363262fffffleastatPOr we can find the compliment of this event and subtract from 1.0, i.e.    .roundingofbecauseoccursdifferenceslighta4181.3735.2084.0.123.1.231623.1.2306110120.12161060ffthanlessPleastatPc.In a sample of ten British citizens, the probability that nonehave boycotted goods for ethical reasons is  .0733.23.1.2301000100f12.a.Probability of a defective part being produced must be .03 for each trial; trials must be independent.b.2 outcomes result in exactly one defect.

Page 26

Quantitative Methods For Business, 12th Edition Solution Manual - Page 26 preview image

Loading page image...

Probability Distributions3-7c.P (no defects) = (.97) (.97) = .9409P (1 defect) = 2 (.03) (.97) = .0582P (2 defects) = (.03) (.03) = .000913.a.0.90b.P(at least 1)=f(1) +f(2)f(1)=112! (0.9) (0.1)1!1!= 2 (0.9) (0.1) = 0.18f(2)=202! (0.9) (0.1)2!0!= 1 (0.81) (1) = 0.81ThereforeP(at least 1) = 0.18 + 0.81 = 0.99AlternativelyP(at least 1)= 1-f(0)=022! (0.9) (0.1)0.010!2!ThereforeP(at least 1)= 1-0.01 = 0.99c.P(at least 1)= 1-f(0)f(0)=033! (0.9) (0.1)0.0010!3!ThereforeP(at least 1)= 1-0.001 = 0.999d.Yes;P(at least 1) becomes very close to 1 with multiple systems and the inability to detect an attackwould become catastrophic.14.a.22( )!xefxxb.= 6 for 3 time periodsc.66( )!xefxx

Page 27

Quantitative Methods For Business, 12th Edition Solution Manual - Page 27 preview image

Loading page image...

Chapter 33-8d.2224(0.1353)(2)0.27062!2efe.666(6)0.16066!eff.544(5)0.15635!ef15.a.= 48 (5 / 60) = 4344(64)(0.0183)(3)0.19523!6efb.= 48 (15 / 60) = 12101212(10)0.104810!efc.= 48 (5 / 60) = 4I expect 4 callers to be waiting after 5 minutes.044(0)0.01830!efThe probability none will be waiting after 5 minutes is .0183.d.= 48 (3 / 60) = 2.402.42.4(0)0.09070!efThe probability of no interruptions in 3 minutes is .0907.16.a.0777(0).00090!efeb.probability = 1-[f(0) +f(1)]1777(1)7.00641!efeprobability = 1-[.0009 + .0064] = .9927c.= 3.503.53.53.5(0).03020!efeprobability = 1-f(0) = 1-.0302 = .9698d.probability= 1-[f(0) +f(1) +f(2) +f(3) +f(4)]

Page 28

Quantitative Methods For Business, 12th Edition Solution Manual - Page 28 preview image

Loading page image...

Probability Distributions3-9= 1-[.0009 + .0064 + .0223 + .0521 + .0912]= .8271Note: Appendix B was used to compute the Poisson probabilitiesf(0),f(1),f(2),f(3) andf(4) inpart (d).17.a.0101010(0)0.0000450!efeb.f(0) +f(1) +f(2) +f(3)f(0)= 0.000045 (part a)f(1)=110101!e= 0.00045Similarly,f(2) = 0.00225,f(3) = 0.0075Thereforef(0) +f(1) +f(2) +f(3) = 0.010245c.15 second period,therefore we have2.5 arrivals/15 second period02.52.5(0)0.08210!efd.1-f(0) = 1-0.0821 = 0.917918.a.123.501.01.52.0f(x)xb.P(x= 1.25) = 0. the probability of any single point is zero since the area under the curve above anysingle point is zero.c.P(1.0x1.25) = 2(0.25) = 0.50d.P(1.20 <x< 1.5) = 2(0.30)= 0.60

Page 29

Quantitative Methods For Business, 12th Edition Solution Manual - Page 29 preview image

Loading page image...

Chapter 33-1019.a.b.P(x130) = (1/20) (130-120) = 0.50c.P(x> 135)= (1/20) (140-135) = 0.25d.120140( )130 minutes2E x20.a..51 .01 .5123f(x)x0b.P(0.25 <x< 0.75) = 1(0.50) = 0.50c.P(x0.30) = 1(0.30) = 0.30d.P(x> 0.60) = 1(0.40) = 0.4021. a.Area forz= 00.5000Area for z = 0.830.7967P(0z0.83) = 0.79670.5000 = 0.2967b.Area forz=-1.570.0582Area for z = 00.5000P(-1.57z0) = 0.50000.0582 = 0.4418c.Area forz= 0.440.6700P(z>0.44) = 1.00000.6700 = 0.2300d.Area forz=-0.230.4090

Page 30

Quantitative Methods For Business, 12th Edition Solution Manual - Page 30 preview image

Loading page image...

Probability Distributions3-11P(z-0.23) = 1.00000.4090 = 0.5910e.Area forz= 1.200.8849P(z1.20) = 0.8849f.Area forz=-0.710.2389P(z-0.71) = 0.238922.a.Area = 0.9750z= 1.96b.Area forz= 00.5000Area for z must be 0.5000 + 0.4750 = 0.9750z= 1.96c.Area = 0.7291z= 0.61d.Area = 1.00000.1314 = 0.8686z= 1.12e.Area 0.6700z= 0.44f.Area = 1.00000.3300 = 0.6700z= 0.4423.a.Area = 0.2119z=-0.80b.Area outside the interval = 1.00000.9030 = 0.0970 must be split between the two tails.Cumulative probability atzmust be 0.5(0.0970) + 0.9030 = 0.9515z= 1.66c.Area outside the interval = 1.00000.2052 = 0.7948 must be split between the two tails.Cumulative probability atzmust be 0.5(0.7948) + 0.2052 = 0.6026z= 0.26d.Area = 0.9948z= 2.56e.Area = 1.00000.6915 = 0.3085z=-0.5024.a.Atx= 1801802000.5040z Cumulative probability = 0.3085Atx= 2202202000.5040z Cumulative probability = 0.6915P(180x220) = 0.69150.3085 = 0.3830

Page 31

Quantitative Methods For Business, 12th Edition Solution Manual - Page 31 preview image

Loading page image...

Chapter 33-12b.Atx= 2502502001.2540zCumulative probability = 0.8944P(x250) = 1.00000.8944 = 0.1056c.Atx= 1001002002.5040z Cumulative probability = 0.0062P(x100) = 0.0062d.Atx= 2502502001.2540zCumulative probability = 0.8944Atx= 2252252000.62540zCumulative probability = 0.7341P(225x250) = 0.89440.7341 = 0.160325.a.Atx= 404030101.228.208.20zCumulative probability = 0.8888P(x40) = 1.0000-0.8888 = 0.1112b.Atx= 202030101.228.208.20z Cumulative probability = 0.1122P(x<20) = 0.1122c.The largest 10% of the stock prices would be in the upper tail of the normal distribution with acumulative probability 0.90. From the table of the cumulative standard normal distribution, the area orprobability closest to 0.90 is 0.8997.The correspondingz= 1.28. Thus we have.
Preview Mode

This document has 469 pages. Sign in to access the full document!

Study Now!

XY-Copilot AI
Unlimited Access
Secure Payment
Instant Access
24/7 Support
Document Chat

Document Details

Related Documents

View all