Page 1

Loading page ...
Prepare with ease using Recruitment and Selection in Canada 6th Edition Test Bank, a well-organized exam guide designed to enhance learning and recall.

Loading page ...
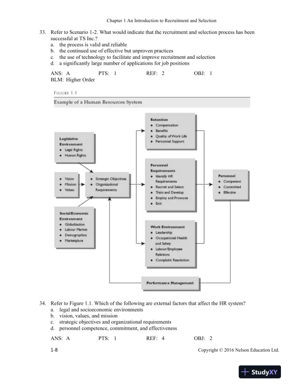
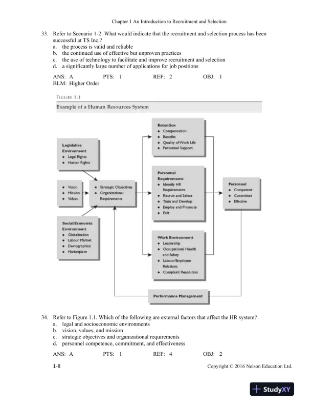
This document has 176 pages. Sign in to access the full document!