Solution Manual for Fundamentals of Complex Analysis with Applications to Engineering, Science, and Mathematics, 3rd Edition

Solution Manual for Fundamentals of Complex Analysis with Applications to Engineering, Science, and Mathematics, 3rd Edition simplifies even the toughest textbook questions with step-by-step solutions and easy explanations.

Max Martinez
Contributor
4.5
36
5 months ago
Preview (16 of 243 Pages)
100%
Purchase to unlock

Page 1

Solution Manual for Fundamentals of Complex Analysis with Applications to Engineering, Science, and Mathematics, 3rd Edition - Page 1 preview image

Loading page image...

SolutionsManualS.GarrettR.Campbell-WrightD.LevinsonforthebookFundamentalsofComplexAnalysis,3"ed.byE.B.SaffandA.D.SniderPrentice-Hall2003+StudyXxy

Page 2

Solution Manual for Fundamentals of Complex Analysis with Applications to Engineering, Science, and Mathematics, 3rd Edition - Page 2 preview image

Loading page image...

DownloadedfromStudyXY.com®+StudyXYSdYe.o>\|iFprE\3SStudyAnythingThisContentHasbeenPostedOnStudyXY.comassupplementarylearningmaterial.StudyXYdoesnotendroseanyuniversity,collegeorpublisher.Allmaterialspostedareundertheliabilityofthecontributors.wv8)www.studyxy.com

Page 3

Solution Manual for Fundamentals of Complex Analysis with Applications to Engineering, Science, and Mathematics, 3rd Edition - Page 3 preview image

Loading page image...

CHAPTER1:ComplexNumbersEXERCISES1.1:TheAlgebraofComplexNumbers1.—i=a+bi=>a=0andb=-1=(=i)?=(a®=¥)+(2ab)i=—¥*=—12.TheCommutativeandAssociativelawsforadditionfollowdirectlyfromtherealcounterparts.Commutativelawformultiplication:-(a+bi)(c+di)=(ac—bd)+(be+ad)i=(ca—db)+(da+cb)i=(c+di)(a+bi)Associativelawformultiplication:[(a+bi)(c+di)l(e+fi)=[(acbd)+(bc+ad)i)(e+f7)=[(ac—bd)e(bc+ad)f]+[(bc+ad)e+(acbd)fli=[a(cedf)b(de+cf)]+[b(cedf)+a(de+cf)}i=(a+bi)l(cedf)+(de+cf)i]=(a+b){c+di)(e+fi)Distributivelaw:(a+bi)[(c+di)+(e+fi)]=(a+bi)[(c+€)+(d+f)i]=[a(c+e)—b(d++bc+e)+a(d+fli=[(acbd)+(bc+ad)i]+(aebf)+(be+af)i]=(a+bi)(c+di)+(a+bi)(e+fi)3azm=z—zetfiz=(c—a)+(d-bi=(c+di)—(a+b)+=e=c—aandf=d-b<=eta=candf+b=d+=(e+fi)+(a+b)=c+di<=»

Page 4

Solution Manual for Fundamentals of Complex Analysis with Applications to Engineering, Science, and Mathematics, 3rd Edition - Page 4 preview image

Loading page image...

b.(e+fi)(c+di)=a+bi<=ce—fd=aandfc+ed=b<=a+bac+bdbc—ad..o&-areteractrl_(ec=fd)c+(fe+ed)d-+d?4(fe+edjc—(ecfd)d,2+d?=e+fi4.Supposez;#0.ThenJRLJ)zzn3).-3.5.a0+(-3)i=5b.3+0:=3c.04(-2)i=-26.a0+(-2)i=-2b.6+(=3)i=6—3ic.4+mm7.a8+1i=8+:b.1+li=1+:[0+(3)i=id.3BE)3319.85555061107.%185185°253204.10—1595~1325"11.240:=212.—9+(=T)i

Page 5

Solution Manual for Fundamentals of Complex Analysis with Applications to Engineering, Science, and Mathematics, 3rd Edition - Page 5 preview image

Loading page image...

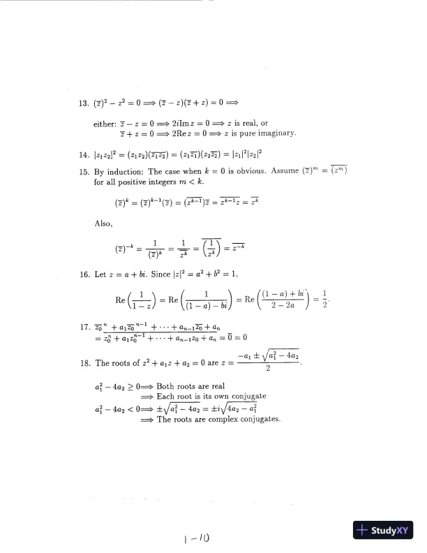
13.6+5114.z=a+bi.Re(iz)=Re(aib)=—b=—Im=z15.i=(ff=1F=1FeLTPAEtk21(—1)=—1PHS=EB=](mi)=—i16.a.—tb.—1c.—1d.—i17.320H3463°+8i~5(4)41043=3(~1)+6(—1)+8(1)+(—i)=810:18.(=1+4d)2+2(-1+i)+2=-2i+(-2+2)+2=019.Therealequationsare:Re(z®+52%)=Re(z+3i)Im(z*+52?)=Im(z+3).Ifz=a+bithesecanberewrittenas—3ab?+52>50—a=03a’+10ab—5-3=0.20.a==2bsol=_25"PTRTETW1gc.z=0,1+d.z=24:

Page 6

Solution Manual for Fundamentals of Complex Analysis with Applications to Engineering, Science, and Mathematics, 3rd Edition - Page 6 preview image

Loading page image...

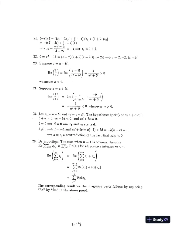
21.(=i)[(1=i)z1+325]+(1=)fiza+(1+24)z)=—i(2-3i)+(1-9)(1)=z=2-31=>z1=1+4+1TTTTTeT22.0=z'-16=(z=2)(z+2)(z2i)(2+A)=>z=2,-2,2,-223.Supposez=a+bi.1a—1baRe(3)=r(55%)CEAwhenevera>0.24.Supposez=a+bi.IG)1LE—bSCYPERNphb=ay<0wheneverb>0.25.Letz;=a+biandz,=c+di.Thehypothesesspecifythata+c<0,b+d=0,ac—bd<0,andad+bc=0.b=0=d=0=>2andz,arereal.b#0=>d=—bandad+bc=a(~b)+bd=~b(ac)=0=a=c,acontradictionofthefactthatzz,<0.26.Byinduction:Thecasewhenn=1isobvious.AssumeRe(TT,z)=YT;Re(z;)forallpositiveintegersm<nnn—1Re(3"z|=Re(Yz+zi=1j=1n—1=)Re(z)+Re(z,)==2Re(z;)=Thecorrespondingresultfortheimaginarypartsfollowsbyreplacing“Re”by“Im”intheaboveproof.StudyXY1-4

Page 7

Solution Manual for Fundamentals of Complex Analysis with Applications to Engineering, Science, and Mathematics, 3rd Edition - Page 7 preview image

Loading page image...

nnDisprove:Re|[]z;|=[]Re(zj)andJ=1i=1nnIm|I]2;|=IJIm(z;)-j=13=1Re[(a+bi)(c+di)]=ac—bdRe(a+bi)Re(c+di)=acThesearenotequalwheneverbd#0.Im[(a+bi)(c+di)]=ad+bcIm(a+b)Im(c+di)=bdThesearenotequalwheneverad+bc#bd.(Forexample,considerthepair2andi.)27.Byinduction:Thecasewhenn=1isobvious.Assume(at+z)"=4+(F)era+e+WEE+2Fforallpositiveintegersm<n.Recallthat,forpositiveintegersrandswithr>s,rrr+1Tr(+(5)=(3)=©)-0)=(21+22)"=(21+2)"a1+2)-1=zNz+2)+("1Jaret+23)—1Foot("kEa+2)+t(n+2)-1=+2n+("1Jaa+277223)-1n—tot(PTEAEEgn5I~StudyXY

Page 8

Solution Manual for Fundamentals of Complex Analysis with Applications to Engineering, Science, and Mathematics, 3rd Edition - Page 8 preview image

Loading page image...

nn—1n—1nea+0)+(1IE12n—1n—1ne[03+(5)n—1n—1nk_k=f)(13)FeetzynNYaenya=z+(1):lz4(3):222+4(artavm528.+0)24(—1)+()(=i)?+(3)22(—i)®+(3)et-ar+(—1)°=32—-80i80+40;+10i=—3841429.Supposez=2wherepandqarerelativelyprimeintegers,andthatq2=2.2(2)=2=p’=2¢*=p?=4kforsomeintegerkand¢°=2k,acontradiction(Ifp?isanevenintegersoisp.).30.Bycontradiction.SupposethereisanonemptysubsetPofthecomplexnumberssatisfying(i),(ii),and(iii)andsupposeiisinP.Then,by(iii),¢=—1and(=1)i=—i.Thisviolates(i).Similarly(i)isviolatedbyassuming—ibelongstoP.31.Purpose:toadd,subtract,multiplyanddividez;=a+biandzy=c+di.Inputa,b,c,dSetsum=(a+¢,b+d)Print“21+22=”;sumSetdiff=(a¢,b—d)Print“2122=7;diffSetprod=(a*c—bxd,bxc+a*d)I-¢lea)

Page 9

Solution Manual for Fundamentals of Complex Analysis with Applications to Engineering, Science, and Mathematics, 3rd Edition - Page 9 preview image

Loading page image...

Print“z1#z2=";prodSetdenom=¢*2+d"2Ifdenom=0,print“thereisnoquotient”ElseSetquot=((a*c+b*d)/(denom),(b*c—a*d)/(denom))Print“z1/22=;quotEndifStop32.prod=(a*xc—bxd,(a+b)*(c+d)—arc—bxd)EXERCISES1.2:PointRepresentationofComplexNumbers;AbsoluteValueandComplexConjugates1.Therealandimaginarypartsofnatn_ntntyT~~2TV2givethefamiliaralgebraformulaforthemidpointofthelinesegmentjoiningtwopointsinR%Alternatively,onecouldestablishthat(z;+2;)/2isapointonthelinethroughz;and2andthat|z(2+2)[2]=lz(21+22)/2]-95=21+4)+(-31)+3012)+56)_257.EE271+3+5=n3.-3a?«7132;-ras=+(=m)*zv1VzEEEW--ZPRz

Page 10

Solution Manual for Fundamentals of Complex Analysis with Applications to Engineering, Science, and Mathematics, 3rd Edition - Page 10 preview image

Loading page image...

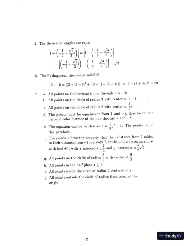
5.Thethreesidelengthsareequal:1,V3,1V3(rg)=h-(5-2)1,V3!1V3|e)-(26.ThePythagoreantheoremissatisfied:10+10=|(3+1)62+|(3+i)(4+4)=16(4440=207.a.Allpointsonthehorizontallinethroughz=—2ib.Allpointsonthecircleofradius3withcenterat1—1-1.c.Allpointsonthecircleofradius2withcenteratd.Thepointsmustbeequidistantfrom1and—i,thuslieontheperpendicularbisectorofthelinethrough1and—i.e.Theequationcanbewrittenasz=w1.Thepointslieonthisparabola.f.Thepointszhavethepropertythattheirdistancefrom1addedtotheirdistancefrom—1isalways7,sothepointslieonanellipsewithfoci£1,withzintercepts+andyintercepts+3159g.Allpointsonthecircleofradius:withcenterat3h.Allpointsinthehalfplanez>4i.Allpointsinsidethecircleofradius2centeredat¢j.Allpointsoutsidethecircleofradius6centeredattheorigin|1-8StudyXY

Page 11

Solution Manual for Fundamentals of Complex Analysis with Applications to Engineering, Science, and Mathematics, 3rd Edition - Page 11 preview image

Loading page image...

8.{a+bi)—1|=yfla=1P+B=la17+(0=la+t—1z—1«Zzz-1Zz9.|rz]=r(a+bi)|=Ira+rbil=y/(ra)?+(rb)?=ria?+¥)=ra+B=rlz|10.[Rez]=ja]=V&?<V@+P=4]mz|=p=VF<VEZ+BE=z1.a=le+bij=vVa@+P=>a20andb=0zn(e2E-(aa;+bibs)+(ashy=aba)12.a.(2)-ar+baiBN(COELURACE)(a2+bby)+(—azb+arbadBh+8_a-bhi_FTabi#maEE1

Page 12

Solution Manual for Fundamentals of Complex Analysis with Applications to Engineering, Science, and Mathematics, 3rd Edition - Page 12 preview image

Loading page image...

13.2?-22=0=(z-2)(z+2)=0=either:Z—z=0=2:lmz=0=zisreal,orZ+4z=0=2Rez=0=>zispureimaginary.14.a2)=(22)(7%)=(27)(227)=|af'|=f15.Byinduction:Thecasewhenk=0isobvious.Assume(Z)™=(z™)forallpositiveintegersm<k.(2)=(3)=(FE=F=FAlso,111hes=(=)=2FEO=r==(3)=716.Letz=a+bi.Since|z|2=a?+8?=1,11(1—a)+biy1Re(;=)=R1)_pe(Uzatty1fp(===)Re2-2)317.5%"+a5"+--+anaZoton=ztmz+tan1z0+8,=0=0—ay£4/a?4a.18.Therootsofz%+¢,z+a=0arez=aa?4a;>0=>Bothrootsarereal=Eachrootisitsownconjugatea?4a;<0==£/a}4a,=£i\/4a,af==Therootsarecomplexconjugates.|1-104

Page 13

Solution Manual for Fundamentals of Complex Analysis with Applications to Engineering, Science, and Mathematics, 3rd Edition - Page 13 preview image

Loading page image...

19.Thelineax+by=ccanberepresentedinthecomplexplaneasz=rcos6+irsin+c/awhere6=tan"(-a/b)and—oo<r<co,Byworkingwithtrianglesyoucanobtaincos8=-b/(a”+b?)andsin=a/N(a®+b%).Togettopointzwritetheequationfrompointc/adownthelineandmakeaturnontheperpendicularasz=x+y=rcosB+irsin@+c/assin6+iscos®with—o<'s<co.EquatingtherealandimaginarypartsX—c/a=rcosfssinb;y=rsin®+scosdSolveforsass=(sinB(x-c/a)+ycosB)=(-ax+c-by)(a®+b?).Thedistancefromthepointztothelineax+by=ciss.Denotethereflectedpointbyz..Thereflectedpointliessunitsontheothersideoftheline.ze=2-2s(-a~ib))N(a®+b?)=x+iy2{(-ax+c-by)\ra®+b?)}(-aib)A(a®+b?)={[(ba*)x—2aby+2ac]+i[(a’-b?)y~2abx+2bc]}A(a®+b)=[2ic+(b-ai)(x-iy))/(b+ai)20.(a)Supposeu'Au=0forallnby1columnvectorswithcomplexentries.Letu=[00...1..0]"withthei"entrybeingtheonlynonzeroentry.Thenu'Au=(ai)=0fori=1ton.Letubeallzerosexceptfor¥+iV3/2Ontheithrowand¥2-iV3/2onthejthrow.NowulAu=(ag)(Vs-iV3/22+(a)(te+V3/2)*=-(1/2-iV3/2)(ay)-(Va+iV3/2)(aj)=0.Settingtherealandimaginarypartsequaltozeroyieldsa;=0anda;=0foralli,j=1ton.ConsequentlyA=0.(b)LetA=[01;-10].Nowu'Au=0forall2by1realcolumnvectors.21.ThematrixAisHermitianA’=A.Observe(Au)=u’A"=u’A.(2)(uAu)’istheconjugatetransposeofthematrixu’Auwhichisaonebyonematrix,so(u'Aw)"=uAfu=u"AubecauseAisHermitian.Theconjugateisequaltothenumberonlywhenthenumberisreal.(b)(B'B)'=B'BandthereforeisHermitian.@'B'Bu)"=(Bu)'(u'B")"=u'BBuarealnumber.Ly

Page 14

Solution Manual for Fundamentals of Complex Analysis with Applications to Engineering, Science, and Mathematics, 3rd Edition - Page 14 preview image

Loading page image...

EXERCISES1.3:VectorsandPolarForms1.az+z=3|3b.ozn—z=1-21-2c.22—32z,=1-5¢-1-5¢

Page 15

Solution Manual for Fundamentals of Complex Analysis with Applications to Engineering, Science, and Mathematics, 3rd Edition - Page 15 preview image

Loading page image...

2.|z12223)=|(2122)23]=|2122]|23]=|21]]22])25]3.Ja+2+a2=2a+2]4.Byinduction:Thecasewhenk=0isobvious.Assume|2™|=|z|™forallpositiveintegersm<k.124)=172]=2572)=Jee]=2Also,"111—kEEEEFTTHTRFIl5.alb.5v26EG)To?d.16.a.b.33nTds|4f1EEEEaeaaaaSr3-.-Pp.(—=mi)ci61-13+StudyXY

Page 16

Solution Manual for Fundamentals of Complex Analysis with Applications to Engineering, Science, and Mathematics, 3rd Edition - Page 16 preview image

Loading page image...

c.d.(27m)®)3a2)cis==4)||ERCICEaEx===-17.(OnlythevalueofArgzisgivenforeachofthefollowing.)1.ELa.Fis7b.32s7)c.weis(-3)ases(-F)e.2v2s(13)£4cis(3)2s3)hVit,(=)&Bngr)128.Suppose|z;|=r.Then21+2liesonthecircleinthefigureand|21+za]isgreatestwhenarg2=argz;are9.Itisavectoroflength|z|andangleofinclinationarg2+¢;itisobtainedbyrotatingzbyangle¢inthecounterclockwisedirection.mt
Preview Mode

This document has 243 pages. Sign in to access the full document!

Study Now!

XY-Copilot AI
Unlimited Access
Secure Payment
Instant Access
24/7 Support
Document Chat

Document Details

Related Documents

View all