Solution Manual for Fundamentals of Complex Analysis: with Applications to Engineering and Science (Classic Version), 3rd Edition

Get ahead in your studies with Solution Manual for Fundamentals of Complex Analysis: with Applications to Engineering and Science (Classic Version), 3rd Edition, offering the solutions and explanations needed to understand your textbook.

Max Martinez
Contributor
4.4
47
5 months ago
Preview (16 of 243 Pages)
100%
Purchase to unlock

Page 1

Solution Manual for Fundamentals of Complex Analysis: with Applications to Engineering and Science (Classic Version), 3rd Edition - Page 1 preview image

Loading page image...

SolutionsManualS.GarrettR.Campbell-WrightD.LevinsonforthebookFundamentalsofComplexAnalysis,3"ed.byE.B.SaffandA.D.SniderPrentice-Hall2003+StudyXxy

Page 2

Solution Manual for Fundamentals of Complex Analysis: with Applications to Engineering and Science (Classic Version), 3rd Edition - Page 2 preview image

Loading page image...

DownloadedfromStudyXY.com®+StudyXYSdYe.o>\|iFprE\3SStudyAnythingThisContentHasbeenPostedOnStudyXY.comassupplementarylearningmaterial.StudyXYdoesnotendroseanyuniversity,collegeorpublisher.Allmaterialspostedareundertheliabilityofthecontributors.wv8)www.studyxy.com

Page 3

Solution Manual for Fundamentals of Complex Analysis: with Applications to Engineering and Science (Classic Version), 3rd Edition - Page 3 preview image

Loading page image...

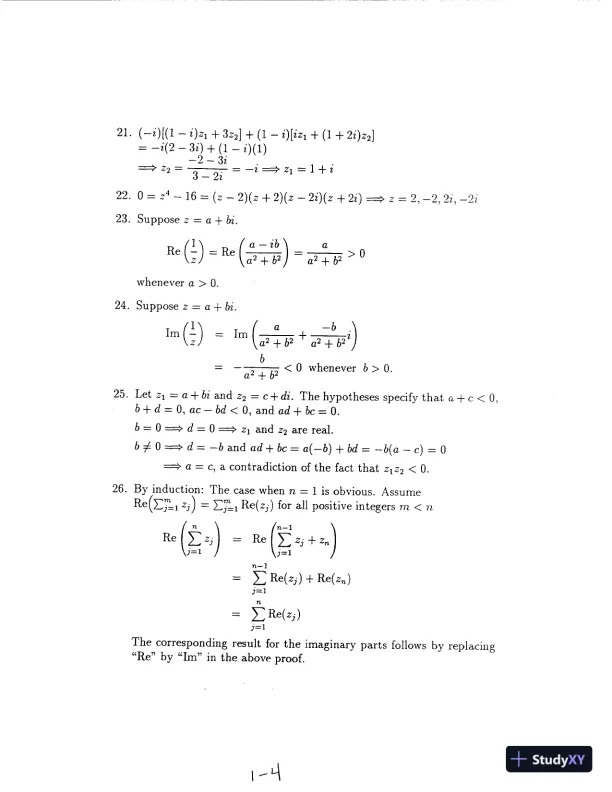
CHAPTER1:ComplexNumbersEXERCISES1.1:TheAlgebraofComplexNumbers1.—i=a+bi=>a=0andb=-1=(=i)?=(a®=¥)+(2ab)i=—¥*=—12.TheCommutativeandAssociativelawsforadditionfollowdirectlyfromtherealcounterparts.Commutativelawformultiplication:-(a+bi)(c+di)=(ac—bd)+(be+ad)i=(ca—db)+(da+cb)i=(c+di)(a+bi)Associativelawformultiplication:[(a+bi)(c+di)l(e+fi)=[(acbd)+(bc+ad)i)(e+f7)=[(ac—bd)e(bc+ad)f]+[(bc+ad)e+(acbd)fli=[a(cedf)b(de+cf)]+[b(cedf)+a(de+cf)}i=(a+bi)l(cedf)+(de+cf)i]=(a+b){c+di)(e+fi)Distributivelaw:(a+bi)[(c+di)+(e+fi)]=(a+bi)[(c+€)+(d+f)i]=[a(c+e)—b(d++bc+e)+a(d+fli=[(acbd)+(bc+ad)i]+(aebf)+(be+af)i]=(a+bi)(c+di)+(a+bi)(e+fi)3azm=z—zetfiz=(c—a)+(d-bi=(c+di)—(a+b)+=e=c—aandf=d-b<=eta=candf+b=d+=(e+fi)+(a+b)=c+di<=»

Page 4

Solution Manual for Fundamentals of Complex Analysis: with Applications to Engineering and Science (Classic Version), 3rd Edition - Page 4 preview image

Loading page image...

b.(e+fi)(c+di)=a+bi<=ce—fd=aandfc+ed=b<=a+bac+bdbc—ad..o&-areteractrl_(ec=fd)c+(fe+ed)d-+d?4(fe+edjc—(ecfd)d,2+d?=e+fi4.Supposez;#0.ThenJRLJ)zzn3).-3.5.a0+(-3)i=5b.3+0:=3c.04(-2)i=-26.a0+(-2)i=-2b.6+(=3)i=6—3ic.4+mm7.a8+1i=8+:b.1+li=1+:[0+(3)i=id.3BE)3319.85555061107.%185185°253204.10—1595~1325"11.240:=212.—9+(=T)i

Page 5

Solution Manual for Fundamentals of Complex Analysis: with Applications to Engineering and Science (Classic Version), 3rd Edition - Page 5 preview image

Loading page image...

13.6+5114.z=a+bi.Re(iz)=Re(aib)=—b=—Im=z15.i=(ff=1F=1FeLTPAEtk21(—1)=—1PHS=EB=](mi)=—i16.a.—tb.—1c.—1d.—i17.320H3463°+8i~5(4)41043=3(~1)+6(—1)+8(1)+(—i)=810:18.(=1+4d)2+2(-1+i)+2=-2i+(-2+2)+2=019.Therealequationsare:Re(z®+52%)=Re(z+3i)Im(z*+52?)=Im(z+3).Ifz=a+bithesecanberewrittenas—3ab?+52>50—a=03a’+10ab—5-3=0.20.a==2bsol=_25"PTRTETW1gc.z=0,1+d.z=24:

Page 6

Solution Manual for Fundamentals of Complex Analysis: with Applications to Engineering and Science (Classic Version), 3rd Edition - Page 6 preview image

Loading page image...

21.(=i)[(1=i)z1+325]+(1=)fiza+(1+24)z)=—i(2-3i)+(1-9)(1)=z=2-31=>z1=1+4+1TTTTTeT22.0=z'-16=(z=2)(z+2)(z2i)(2+A)=>z=2,-2,2,-223.Supposez=a+bi.1a—1baRe(3)=r(55%)CEAwhenevera>0.24.Supposez=a+bi.IG)1LE—bSCYPERNphb=ay<0wheneverb>0.25.Letz;=a+biandz,=c+di.Thehypothesesspecifythata+c<0,b+d=0,ac—bd<0,andad+bc=0.b=0=d=0=>2andz,arereal.b#0=>d=—bandad+bc=a(~b)+bd=~b(ac)=0=a=c,acontradictionofthefactthatzz,<0.26.Byinduction:Thecasewhenn=1isobvious.AssumeRe(TT,z)=YT;Re(z;)forallpositiveintegersm<nnn—1Re(3"z|=Re(Yz+zi=1j=1n—1=)Re(z)+Re(z,)==2Re(z;)=Thecorrespondingresultfortheimaginarypartsfollowsbyreplacing“Re”by“Im”intheaboveproof.StudyXY1-4

Page 7

Solution Manual for Fundamentals of Complex Analysis: with Applications to Engineering and Science (Classic Version), 3rd Edition - Page 7 preview image

Loading page image...

nnDisprove:Re|[]z;|=[]Re(zj)andJ=1i=1nnIm|I]2;|=IJIm(z;)-j=13=1Re[(a+bi)(c+di)]=ac—bdRe(a+bi)Re(c+di)=acThesearenotequalwheneverbd#0.Im[(a+bi)(c+di)]=ad+bcIm(a+b)Im(c+di)=bdThesearenotequalwheneverad+bc#bd.(Forexample,considerthepair2andi.)27.Byinduction:Thecasewhenn=1isobvious.Assume(at+z)"=4+(F)era+e+WEE+2Fforallpositiveintegersm<n.Recallthat,forpositiveintegersrandswithr>s,rrr+1Tr(+(5)=(3)=©)-0)=(21+22)"=(21+2)"a1+2)-1=zNz+2)+("1Jaret+23)—1Foot("kEa+2)+t(n+2)-1=+2n+("1Jaa+277223)-1n—tot(PTEAEEgn5I~StudyXY

Page 8

Solution Manual for Fundamentals of Complex Analysis: with Applications to Engineering and Science (Classic Version), 3rd Edition - Page 8 preview image

Loading page image...

nn—1n—1nea+0)+(1IE12n—1n—1ne[03+(5)n—1n—1nk_k=f)(13)FeetzynNYaenya=z+(1):lz4(3):222+4(artavm528.+0)24(—1)+()(=i)?+(3)22(—i)®+(3)et-ar+(—1)°=32—-80i80+40;+10i=—3841429.Supposez=2wherepandqarerelativelyprimeintegers,andthatq2=2.2(2)=2=p’=2¢*=p?=4kforsomeintegerkand¢°=2k,acontradiction(Ifp?isanevenintegersoisp.).30.Bycontradiction.SupposethereisanonemptysubsetPofthecomplexnumberssatisfying(i),(ii),and(iii)andsupposeiisinP.Then,by(iii),¢=—1and(=1)i=—i.Thisviolates(i).Similarly(i)isviolatedbyassuming—ibelongstoP.31.Purpose:toadd,subtract,multiplyanddividez;=a+biandzy=c+di.Inputa,b,c,dSetsum=(a+¢,b+d)Print“21+22=”;sumSetdiff=(a¢,b—d)Print“2122=7;diffSetprod=(a*c—bxd,bxc+a*d)I-¢lea)

Page 9

Solution Manual for Fundamentals of Complex Analysis: with Applications to Engineering and Science (Classic Version), 3rd Edition - Page 9 preview image

Loading page image...

Print“z1#z2=";prodSetdenom=¢*2+d"2Ifdenom=0,print“thereisnoquotient”ElseSetquot=((a*c+b*d)/(denom),(b*c—a*d)/(denom))Print“z1/22=;quotEndifStop32.prod=(a*xc—bxd,(a+b)*(c+d)—arc—bxd)EXERCISES1.2:PointRepresentationofComplexNumbers;AbsoluteValueandComplexConjugates1.Therealandimaginarypartsofnatn_ntntyT~~2TV2givethefamiliaralgebraformulaforthemidpointofthelinesegmentjoiningtwopointsinR%Alternatively,onecouldestablishthat(z;+2;)/2isapointonthelinethroughz;and2andthat|z(2+2)[2]=lz(21+22)/2]-95=21+4)+(-31)+3012)+56)_257.EE271+3+5=n3.-3a?«7132;-ras=+(=m)*zv1VzEEEW--ZPRz

Page 10

Solution Manual for Fundamentals of Complex Analysis: with Applications to Engineering and Science (Classic Version), 3rd Edition - Page 10 preview image

Loading page image...

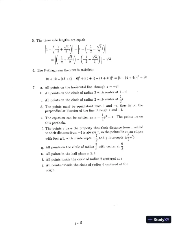
5.Thethreesidelengthsareequal:1,V3,1V3(rg)=h-(5-2)1,V3!1V3|e)-(26.ThePythagoreantheoremissatisfied:10+10=|(3+1)62+|(3+i)(4+4)=16(4440=207.a.Allpointsonthehorizontallinethroughz=—2ib.Allpointsonthecircleofradius3withcenterat1—1-1.c.Allpointsonthecircleofradius2withcenteratd.Thepointsmustbeequidistantfrom1and—i,thuslieontheperpendicularbisectorofthelinethrough1and—i.e.Theequationcanbewrittenasz=w1.Thepointslieonthisparabola.f.Thepointszhavethepropertythattheirdistancefrom1addedtotheirdistancefrom—1isalways7,sothepointslieonanellipsewithfoci£1,withzintercepts+andyintercepts+3159g.Allpointsonthecircleofradius:withcenterat3h.Allpointsinthehalfplanez>4i.Allpointsinsidethecircleofradius2centeredat¢j.Allpointsoutsidethecircleofradius6centeredattheorigin|1-8StudyXY

Page 11

Solution Manual for Fundamentals of Complex Analysis: with Applications to Engineering and Science (Classic Version), 3rd Edition - Page 11 preview image

Loading page image...

8.{a+bi)—1|=yfla=1P+B=la17+(0=la+t—1z—1«Zzz-1Zz9.|rz]=r(a+bi)|=Ira+rbil=y/(ra)?+(rb)?=ria?+¥)=ra+B=rlz|10.[Rez]=ja]=V&?<V@+P=4]mz|=p=VF<VEZ+BE=z1.a=le+bij=vVa@+P=>a20andb=0zn(e2E-(aa;+bibs)+(ashy=aba)12.a.(2)-ar+baiBN(COELURACE)(a2+bby)+(—azb+arbadBh+8_a-bhi_FTabi#maEE1

Page 12

Solution Manual for Fundamentals of Complex Analysis: with Applications to Engineering and Science (Classic Version), 3rd Edition - Page 12 preview image

Loading page image...

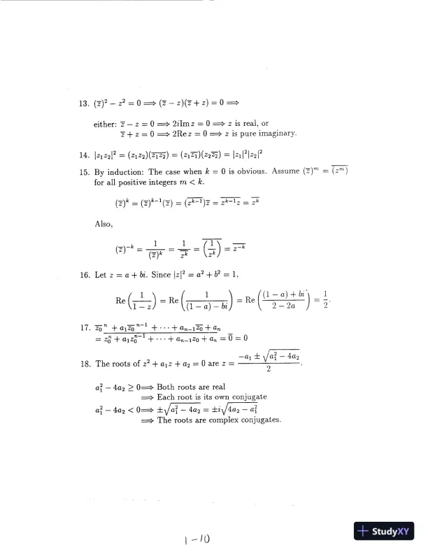
13.2?-22=0=(z-2)(z+2)=0=either:Z—z=0=2:lmz=0=zisreal,orZ+4z=0=2Rez=0=>zispureimaginary.14.a2)=(22)(7%)=(27)(227)=|af'|=f15.Byinduction:Thecasewhenk=0isobvious.Assume(Z)™=(z™)forallpositiveintegersm<k.(2)=(3)=(FE=F=FAlso,111hes=(=)=2FEO=r==(3)=716.Letz=a+bi.Since|z|2=a?+8?=1,11(1—a)+biy1Re(;=)=R1)_pe(Uzatty1fp(===)Re2-2)317.5%"+a5"+--+anaZoton=ztmz+tan1z0+8,=0=0—ay£4/a?4a.18.Therootsofz%+¢,z+a=0arez=aa?4a;>0=>Bothrootsarereal=Eachrootisitsownconjugatea?4a;<0==£/a}4a,=£i\/4a,af==Therootsarecomplexconjugates.|1-104

Page 13

Solution Manual for Fundamentals of Complex Analysis: with Applications to Engineering and Science (Classic Version), 3rd Edition - Page 13 preview image

Loading page image...

19.Thelineax+by=ccanberepresentedinthecomplexplaneasz=rcos6+irsin+c/awhere6=tan"(-a/b)and—oo<r<co,Byworkingwithtrianglesyoucanobtaincos8=-b/(a”+b?)andsin=a/N(a®+b%).Togettopointzwritetheequationfrompointc/adownthelineandmakeaturnontheperpendicularasz=x+y=rcosB+irsin@+c/assin6+iscos®with—o<'s<co.EquatingtherealandimaginarypartsX—c/a=rcosfssinb;y=rsin®+scosdSolveforsass=(sinB(x-c/a)+ycosB)=(-ax+c-by)(a®+b?).Thedistancefromthepointztothelineax+by=ciss.Denotethereflectedpointbyz..Thereflectedpointliessunitsontheothersideoftheline.ze=2-2s(-a~ib))N(a®+b?)=x+iy2{(-ax+c-by)\ra®+b?)}(-aib)A(a®+b?)={[(ba*)x—2aby+2ac]+i[(a’-b?)y~2abx+2bc]}A(a®+b)=[2ic+(b-ai)(x-iy))/(b+ai)20.(a)Supposeu'Au=0forallnby1columnvectorswithcomplexentries.Letu=[00...1..0]"withthei"entrybeingtheonlynonzeroentry.Thenu'Au=(ai)=0fori=1ton.Letubeallzerosexceptfor¥+iV3/2Ontheithrowand¥2-iV3/2onthejthrow.NowulAu=(ag)(Vs-iV3/22+(a)(te+V3/2)*=-(1/2-iV3/2)(ay)-(Va+iV3/2)(aj)=0.Settingtherealandimaginarypartsequaltozeroyieldsa;=0anda;=0foralli,j=1ton.ConsequentlyA=0.(b)LetA=[01;-10].Nowu'Au=0forall2by1realcolumnvectors.21.ThematrixAisHermitianA’=A.Observe(Au)=u’A"=u’A.(2)(uAu)’istheconjugatetransposeofthematrixu’Auwhichisaonebyonematrix,so(u'Aw)"=uAfu=u"AubecauseAisHermitian.Theconjugateisequaltothenumberonlywhenthenumberisreal.(b)(B'B)'=B'BandthereforeisHermitian.@'B'Bu)"=(Bu)'(u'B")"=u'BBuarealnumber.Ly

Page 14

Solution Manual for Fundamentals of Complex Analysis: with Applications to Engineering and Science (Classic Version), 3rd Edition - Page 14 preview image

Loading page image...

EXERCISES1.3:VectorsandPolarForms1.az+z=3|3b.ozn—z=1-21-2c.22—32z,=1-5¢-1-5¢

Page 15

Solution Manual for Fundamentals of Complex Analysis: with Applications to Engineering and Science (Classic Version), 3rd Edition - Page 15 preview image

Loading page image...

2.|z12223)=|(2122)23]=|2122]|23]=|21]]22])25]3.Ja+2+a2=2a+2]4.Byinduction:Thecasewhenk=0isobvious.Assume|2™|=|z|™forallpositiveintegersm<k.124)=172]=2572)=Jee]=2Also,"111—kEEEEFTTHTRFIl5.alb.5v26EG)To?d.16.a.b.33nTds|4f1EEEEaeaaaaSr3-.-Pp.(—=mi)ci61-13+StudyXY

Page 16

Solution Manual for Fundamentals of Complex Analysis: with Applications to Engineering and Science (Classic Version), 3rd Edition - Page 16 preview image

Loading page image...

c.d.(27m)®)3a2)cis==4)||ERCICEaEx===-17.(OnlythevalueofArgzisgivenforeachofthefollowing.)1.ELa.Fis7b.32s7)c.weis(-3)ases(-F)e.2v2s(13)£4cis(3)2s3)hVit,(=)&Bngr)128.Suppose|z;|=r.Then21+2liesonthecircleinthefigureand|21+za]isgreatestwhenarg2=argz;are9.Itisavectoroflength|z|andangleofinclinationarg2+¢;itisobtainedbyrotatingzbyangle¢inthecounterclockwisedirection.mt
Preview Mode

This document has 243 pages. Sign in to access the full document!

Study Now!

XY-Copilot AI
Unlimited Access
Secure Payment
Instant Access
24/7 Support
Document Chat

Document Details

Related Documents

View all