Solution Manual for Implementing Organizational Change: Theory Into Practice, 3rd Edition

Get the textbook answers you need with Solution Manual for Implementing Organizational Change: Theory Into Practice, 3rd Edition, a solutions manual packed with clear and concise explanations.

Joseph Wilson
Contributor
4.3
31
5 months ago
Preview (16 of 112 Pages)
100%
Purchase to unlock

Page 1

Solution Manual for Implementing Organizational Change: Theory Into Practice, 3rd Edition - Page 1 preview image

Loading page image...

SOLUTION MANUALCHAPTER 1: Organizational ChangeMain Teaching PointOrganizations engage in a process of strategic renewal in order to respond tochanges in their competitive environment. But in order to make strategic renewalwork, leaders must find ways to alter the behavioral patterns of their employeesthrough involvement and participation.Learning Objectives1.Identify the role of strategic renewal in propelling change.2.Focus on the behavioral aspect of organizational change.3.Analyze the dynamics of motivating employees to alter their behaviors.4.Differentiate between the three faces of change.5.Understand the source of both employee resistance to and support forchange.6.Appreciate the importance of trigger events in initiating change efforts.7.Examine the role ―going global‖ plays in triggering organizational change.Opening CaseOrganizational Change at NokiaTheory into Practice of Case: Successful organizations cannot remain static ifthey hope to continue that success; they must change in order to keep up with achanging world.Case Summary:Nokia,the world’s leading producer of cell phones, hadexperienced a dramatic drop in the United States market share, from a high of35% to 7%. In an attempt to repair the damage they added Americans to theirsenior management team.

Page 2

Solution Manual for Implementing Organizational Change: Theory Into Practice, 3rd Edition - Page 2 preview image

Loading page image...

Page 3

Solution Manual for Implementing Organizational Change: Theory Into Practice, 3rd Edition - Page 3 preview image

Loading page image...

Analyzing the Case1.What was the primary cause of Nokia’s drop of market share in the UnitedStates?Perhaps the most damaging causewas Nokia’s lack of responsiveness tothe shifting tastes and expectations of US customersespeciallysmartphones.2.What technological decision did Nokia make which led to their difficulties inthe United States?Nokia built its phones on the European standard GSM format rather thanthe US standard CDMA format. That decision limited access to the USmarket, where over half the phones operated with CDMA.3.What market decision did Nokia make which impacted their effectiveness inthe United States?Nokia failed to forge close ties with wireless providers, instead offeringopen phones that would then need to be adapted to a particular provider.Nokia’s approach worked well globally. In the US, however, wirelessprovidersVerizon, Sprint Nextel and AT&T, which together controlled 96percent of the US marketwanted to offer phones themselves that couldbe co-branded and bundled with long-term service contracts.4.In 2010, the Nokia board recruited Stephen Elop from Microsoft to transformthe global giant. What internal operational barriers did he discover?Elop publically admitted that Nokia had grown complacent and removedfrom customers. Instead,―It was management by committee,‖ said oneexecutive describing the company’s approach to innovation. ―Ideas fellvictim to fighting among managers with competing agendas, or wererejected as too costly, risky, or insignificant for a global market leader.‖5.What was one of the first moves that Elop made to stem the loss of USmarket share? Why did he make this move?One of his first moves as new CEO, Elop announced job cuts. The cutswere intended, he said, to streamline software development for Nokia’ssmartphones by improving ―agility and responsiveness‖ in the softwaredevelopment and Web services units.

Page 4

Solution Manual for Implementing Organizational Change: Theory Into Practice, 3rd Edition - Page 4 preview image

Loading page image...

Lecture Outline1.Strategic ResponsivenessA. Overview:Stephen Elop was just one of many business leaders facing the challengeof organizational change. Recognizing the need to change is important, ofcourse, but it’s just a first step.B. Next comeschange implementationthe actions taken byorganizational leaders in order to support strategic renewal and achieveoutstanding performance. Successful implementation is required totranslate that recognition into an effective strategic response. Poorimplementation can undermine the best intentions of organizationalleaders.C. Many factors require organizations to change, such as significantalterations in customer expectations and demands, new technologies,competitors with innovative business models, shifts in workforcedemographics and values and new societal demands and constraints.D. In response to those dynamics, organizational leaders often decide toengage in a process of strategic renewal.Strategic renewalinvolvessome combination of a new product or service, a new market, and a newbusiness model for an organization.E. There is ongoing demand for strategic renewal created by an ever-shiftingcompetitive environment. See Exhibit 1-1 for examples.F.For strategic renewal to be effective, organizations need to do more thanannounce a new strategy.G. Leaders need to align internal processes, structures and systems with thedemands of that new strategy. New organizational capabilitiestalentsand skills possessed by employeesneed to be built. Underlying all thoseshifts is the requirement to engage in discontinuous change: large-scale,long-term reorientation of most or all of the central aspects oforganizational life. The goal is to create lasting alterations in patterns ofemployee behavior in order to support strategic renewal.

Page 5

Solution Manual for Implementing Organizational Change: Theory Into Practice, 3rd Edition - Page 5 preview image

Loading page image...

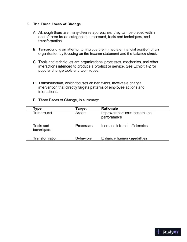
2.The Three Faces of ChangeA. Although there are many diverse approaches, they can be placed withinone of three broad categories: turnaround, tools and techniques, andtransformation.B. Turnaround is an attempt to improve the immediate financial position of anorganization by focusing on the income statement and the balance sheet.C. Tools and techniques are organizational processes, mechanics, and otherinteractions intended to produce a product or service. See Exhibit 1-2 forpopular change tools and techniques.D. Transformation, which focuses on behaviors,involves a changeintervention that directly targets patterns of employee actions andinteractions.E. Three Faces of Change, in summary:TypeTargetRationaleTurnaroundAssetsImprove short-term bottom-lineperformanceTools andtechniquesProcessesIncrease internal efficienciesTransformationBehaviorsEnhance human capabilities

Page 6

Solution Manual for Implementing Organizational Change: Theory Into Practice, 3rd Edition - Page 6 preview image

Loading page image...

3.Transformational ChangeTheory into Practice:If change interventions are to achieve a significant and sustainableimpact on performance, they must focus on altering patterns ofemployee behavior.Transformational organizational change seeks to create long-term,sustainable alterations in employee behaviors.A. Organizations wish to alter behavior of employees, examples are:1.Employees accustomed to following dictates issued by supervisorsmight now have to make decisions on their own.2.Employees used to working as individuals might now have to work as ateam.3.Employees who have been focused purely on technology might needto understand the needs and requirements of customers.4.Employees accustomed to working entirely within their own functionalarea might have to work collaboratively with people from otherfunctions and backgrounds.4.Sources of BehaviorTheory into Practice:Behavior comes from both the individual and the organizationalcontext.A. Apple, Nike, and Google endeavor to promote an organizational contextthat shapes individual behavior. They call upon organizational culture andvalues, the behaviors of leaders, as well as rules and procedures to definea context that shapes employee conduct: the manner in which employeesenact their roles, responsibilities, and relationships.

Page 7

Solution Manual for Implementing Organizational Change: Theory Into Practice, 3rd Edition - Page 7 preview image

Loading page image...

5.Employee Participation and Resistance to ChangeTheory into Practice:People don’t resist change, they resist being changed.Employees do not naturally resist change but they often resist changebecause of the way change is implemented.Managers can try to understand the reasons behind employeeresistance to change.Employee resistance is not just a negative force to be overcome; italso presents an opportunity to learn.A.Resistanceis overt or covert action to maintain the status quo. Employeeresponses to change can range from ―commitment‖ on one end to―aggressive resistance‖ on the other(see Exhibit 1-4).1.Commitment to the goals of the organization and the change effort(commitment).2.A willing involvement in the called-for new behaviors(involvement).3.Employees speak out in support of the change effort without taking anyexplicit actions(support).4.Employees know about the change effort but take no action either foror against(apathy).5.Employees may voice reservation about the change effort or may eventhreaten to quit(passive resistance).6.Employees make efforts to impede change or undermine the goals ofthe organization(active resistance).7.Employees sabotage and subvert the change effort(aggressiveresistance).

Page 8

Solution Manual for Implementing Organizational Change: Theory Into Practice, 3rd Edition - Page 8 preview image

Loading page image...

6.How Managers Inadvertently Fuel Resistance during ImplementationTheory into Practice:Resistance or acceptance of change depends mainly on how thechange is implemented.Employee resistance can help leaders to learn.At some point in the change process, employee resistance must beaddressed and overcome.A. Managers do not set out to create resistance, of course. Just the opposite.They believe the proposed changes are being made for the good of thecompany and that employees will accept the need for change. Possiblesources of resistance include:Employees resist because they remain satisfied with the status quo.Perhaps management has not included employees in the diagnosisand learning process.Employees resist because they view change as a personal threat.Perhaps management has not offered employees the opportunity toacquire the new skills that will be required in the renewed organization.Employees resist because they see the cost of change outweighing thebenefits. Perhaps management has not articulated the goals of thechange adequately to allow a true assessment of the costs andbenefits.Employees resist because they believe that management ismishandling the process.Perhaps employees have not been given avoice in the process itself.Employees resist because they believe that the change effort is notlikely to succeed.Perhaps management needs to articulate why thischange process is more likely to be effective than past efforts.

Page 9

Solution Manual for Implementing Organizational Change: Theory Into Practice, 3rd Edition - Page 9 preview image

Loading page image...

7.Employee Participation Builds Support for ChangeTheory into Practice:Transformational change seeks to motivate employees to change theirbehavior, not to force, coerce or trick them into changing.A. Imposed change creates resistance, while participation invitescommitment.People don’t resist change, they resistbeingchanged.B. Sustainable change requires motivation on the part of employees for thechange. This cannot be created through manipulation or coercion. Theorganizational context must be shaped to encourage and supportemployees’ desire for individual and company change.8.Trigger Events and ChangeTheory into Practice:Trigger events, either external or internal, precipitate the need to alterbehavioral patterns of employees.A. Organizational change is typically initiated in response to atriggereventa shift in the environment that creates a need for alteredstrategies and new patterns of employee behavior. For Nokia, the triggerevent was the launchand overwhelming public enthusiasm fortheiPhone.B. Trigger events stir up feelings andemotions that come to affect people’sreactions to the change.

Page 10

Solution Manual for Implementing Organizational Change: Theory Into Practice, 3rd Edition - Page 10 preview image

Loading page image...

9.Going Global and the Requirements for Organizational ChangeTheory into Practice:―Going global‖ takes many forms and they all require organizationalchange.A. An organization’s reason(s) for ―going global‖ mayinclude:They may seek to outsource certain activities that had previously beenperformed in the home country.They may seek to enter new, non-domestic markets.They may seek non-domestic suppliers for needed raw materials.They may seek strategic alliances with related companies in othercountries.They may seek to locate research and development activities inmultiple nations as a way of better understanding the needs of non-domestic customers.B. Any time an organization embraces multiple national cultures, it adds adegree of socio-cultural diversity and uncertainty. That complexity is theresult of what is known as psychic distance. Differences exist not only inculture, but also in language and the political/economic/legal infrastructureof countries.10.ConclusionsA. Strategic responsiveness to a dynamic environment requiresorganizational change.B. Not all employees will greet change efforts with equal enthusiasm.C. Trigger events precipitate the requirement for strategic renewal andorganizational change.D. When organizations go global, dealing effectively with people andorganizations in multiple cultures become vital.

Page 11

Solution Manual for Implementing Organizational Change: Theory Into Practice, 3rd Edition - Page 11 preview image

Loading page image...

Additional Suggested ReadingJames C. Collins and Jerry I. Porras, Built to Last: Successful Habits ofVisionary Companies (New York: HarperBusiness, 1994).Lynn A. Isabella, ―Managing the Challenges of Trigger Events: TheMindsets Governing Adaptation to Change,‖Business Horizons35(September-October 1992).Michael A. Mische,Strategic Renewal: Becoming a High-PerformanceOrganization(New Jersey: Prentice Hall, 2001).David A. Nadler and Michael L. Tushman, ―Organizational Frame Bending:Principles for Managing Reorientation,‖Academy of ManagementExecutive(1989), pp. 194204.Randall S. Schuler, ―Strategic Human Resource Management: Linking thePeople with the Strategic Needs of the Business,‖OrganizationalDynamics21 (Summer 1992), pp. 1833.

Page 12

Solution Manual for Implementing Organizational Change: Theory Into Practice, 3rd Edition - Page 12 preview image

Loading page image...

Chapter 1 Discussion Questions1.Select one of the companies. Based on the brief statement of its renewedstrategy (or research the company for further details), think about howpatterns of employee behavior will have to change.IBMThe move from product to service/consulting requires employees tohave more subject matter knowledge, greater customer responsivenessand higher levels of collaboration across organizational boundaries.NetflixThe move from providing DVDs through mail to providingstreaming entertainment requires employees to have greater knowledgeabout technology and more sophisticated customer interaction skills.RenaultThe move from a French-based to an internationally focusedautomobile company will require employees to be less French-centric,willing and able to travel, work in other cultures (most notably Asian) andprobably be multi-lingual.PandoraThe move from selling through third parties to selling direct willrequire employees to have greater knowledge of retail operations andgreater direct sales skills.FacebookThe move from a restricted college-campus-only socialnetwork to a ―universal utility‖ open to everyonewill require employees tohave more skill in interacting with persons of all backgrounds and ages.2.Explore the challenges facing Stephen Elop at Nokia. What can he do torevitalize the company in the US smartphone market?Stephen Elop needs to correct the previous mistakes made by Nokia intheir failed attempt to enter the US cell phone market. First, they need todevelop a smartphone that uses the CDMA format. Second, they need topartner with a large US-based wireless providers. Additionally, Mr. Elopshould continue his efforts to eliminate the internal barrier to innovation.Hopefully, the fine reputation of Nokia will bring US customers back oncethey have a product they can embrace.

Page 13

Solution Manual for Implementing Organizational Change: Theory Into Practice, 3rd Edition - Page 13 preview image

Loading page image...

3.What are the three approaches to organizational change? In what ways arethey different and in what ways do they overlap?The three approach to organizational change are; (1) turnaround, with itsemphasis to short term bottom line performance (2) tools and techniques,which focus on increasing internal efficiencies through revamping internalprocesses and (3) transformation, which targets human capabilities andbehaviors.Attending to techniques and tools without paying at least equal attention tothe behavior of employees can be a path not just to disappointment butalso to dysfunction. When employees participate in the design andimplementation of new technology, they are more likely to alter theirbehaviors in ways that will help ensure effectiveness.4.Identify the main external forces triggering the need for organizationalchange. Pick three and discuss how they might necessitate behavioralchange on the part of organization’semployees.The list of potential external trigger events is long. Examples of commontrigger events include: new competitive forces, decline of an industryniche, new technology, recession, globalization, mergers/acquisitions,regulation/deregulation and even labor markets.New technology:Employees must be adaptive/flexible, willing to learn,not resist needed change and engage in more collaborative behaviors asthe new technology is integrated into the organization.Globalization:Employees must be willing to take on new responsibilitiesas the organization re-distributes the resources and changesorganizational structure, embrace diversity, be willing to travel, learn aboutthe differences between national cultures and perhaps learn a newlanguage.Merger/acquisition:Employees must accept the change, learn newinternal process, accept the loss of established work units, be willing torelocate, work with new team members and commit to the neworganization.

Page 14

Solution Manual for Implementing Organizational Change: Theory Into Practice, 3rd Edition - Page 14 preview image

Loading page image...

5.Why is motivation important to behavioral change? How might leadersapproach change differently if they are trying to motivate employees tochange rather than forcing employees to change?Motivation refers to the degree to which employees are committed to theachievement of outstanding performance both for themselves and for theircompany. New behaviors will not be sustainable if they have beenprompted by manipulation or coercion. Because motivation is internal toeach employee, the change leader’s challenge is complex. The taskinvolves shaping the organizational context in such a way as to encourageand support an internal desire on a large number of employees to altertheir behaviors in ways consistent with the shifting demands of the newstrategy. Allowing employees to actively participate in the change processis an effective tactic.ASDACase Discussion Questions1.What are the types of changes that Archie Norman needs to undertake atASDA?The case states:Everything about the organizationfrom the way they purchased anddisplayed products to the way store managers interacted with shopfloor employeeswould have to change.Everything.‖During class discussions students should list the many specific areaswhere change is needed, these might include; revamped corporate visionand values, replacement of top management, sell-off of non-foodoperations, headcount reductions, culture change, empowerment of theworkforce through self- managed work teams and investing in facilityupgrades.

Page 15

Solution Manual for Implementing Organizational Change: Theory Into Practice, 3rd Edition - Page 15 preview image

Loading page image...

2.Referring to Exhibit 1-3, what faces of change does ASDA need to engage?All three faces of changeturnaround, tools and techniques andtransformationrequire engagement, with the focus on turnaround andtransformation.The case outlines actions taken related to turnaround, namely the sellingof the furniture and carpeting operations, pay cuts and freezes and lay-offs. These can be discussed as to their wisdom at the strategic level. Thediscussions on the tools and techniques might use Exhibit 1-2 as a guide,reviewing the popular approaches and determining those that might beeffective at ASDA. Transformation discussions should focus on the storelevel. The adoption of self-managed work teams and the issue of if eachstore should be allowed to manage their own renewal should beaddressed. Additionally, the instructor should have the class discuss whatbehavioral changes the ―associates‖ in the store will need to make tomake ―the ASDA way of workinga reality.3.What actions can Norman and his top management teams take to buildemployee motivation to engage in change?Class discussion about motivation should start with the idea that―Organizational change seeks to create long-term, sustainable alterationsin employee behavior‖ and the notion that ―patterns of employee behaviorimpact a company’s bottom-line performance.Additionally, the textbook states that organizations should“…call uponorganizational culture and values, the behaviors of leaders, as well asrules and procedures to define a context that shapes employee conduct,the manner in which employees enact their roles, responsibilities, andrelationships.Have the class list and discuss specific rules/policies and actions orapproaches that managers could take to facilitate worker motivation/commitment.

Page 16

Solution Manual for Implementing Organizational Change: Theory Into Practice, 3rd Edition - Page 16 preview image

Loading page image...

CHAPTER 2: Theories of Effective Change ImplementationMain Teaching PointThe teaching point to be made by Chapter 2 is to introduce students to keytheories of effective change implementation and change resistance.Learning Objectives1.Present the three phases of the planned change theory of Kurt Lewin.2.Delineate the key insights to effective implementation offered by the field ofOrganizational Development.3.Differentiate between content-driven and process-driven change.4.Explain an approach to change management that emphasizes taskrequirements and performance results.5.Offer a framework for change implementation that encompasses multipletheories.Opening CaseTurnaround and Transformation at Duke UniversityChildren’s HospitalKey Learning Point of Case: The case illustrates an effective changeimplementation at a university hospital using key concepts in this chapter such asprocess-driven change and task alignment.Analyzing the Case1.From whose point of view is the case told?The case is told from the point of view of Jon Meliones, the chief medicaldirector of theDuke University Children’s Hospital.2.What is leading the Children’s Hospital to alter their strategy?Changes in insurance reimbursement for patients have put tremendouspressure on net margins; revenues are declining and patient and staffsatisfaction is―at an all-time low.‖
Preview Mode

This document has 112 pages. Sign in to access the full document!

Study Now!

XY-Copilot AI
Unlimited Access
Secure Payment
Instant Access
24/7 Support
Document Chat

Document Details

Related Documents

View all