Solution Manual for International Economics, 13th Edition

Struggling with problems? Solution Manual for International Economics, 13th Edition provides clear, detailed solutions for better learning.

Amelia Davis
Contributor
4.2
156
9 months ago
Preview (31 of 242 Pages)
100%
Purchase to unlock

Page 1

Solution Manual for International Economics, 13th Edition - Page 1 preview image

Loading page image...

International Economics13thEditionInstructor’s Manual(Front_Matter.doc)FM-1Dominick SalvatoreInstructor’s Manual to AccompanyInternational EconomicsThirteenthEditionDominick Salvatore

Page 2

Solution Manual for International Economics, 13th Edition - Page 2 preview image

Loading page image...

Page 3

Solution Manual for International Economics, 13th Edition - Page 3 preview image

Loading page image...

International Economics13thEditionInstructor’s Manual(Front_Matter.doc)FM-2Dominick SalvatoreTABLE OF CONTENTSChapter 1: IntroductionPage 1-1PART ONE: INTERNATIONAL TRADE THEORYChapter 2: The Law of Comparative AdvantagePage 2-1Chapter 3: The Standard Theory of International TradePage 3-1Chapter 4: Demand and Supply, Offer Curves, and the Terms of TradePage 4-1Chapter 5: Factor Endowments and the Heckscher-Ohlin TheoryPage 5-1Chapter 6:Economies of Scale, Imperfect Competition,Growthand International TradePage 6-1Additional Essays and Problems for Part OneChapter7: International Trade andGrowthPage7-1PART TWO: INTERNATIONAL TRADE POLICYChapter8: Trade Restrictions: TariffsPage8-1Chapter9: Nontariff Trade Barriers and the New ProtectionismPage9-1Chapter10: Economic Integration: Customs Unions and Free Trade AreasPage10-1Chapter11: International Trade and Economic DevelopmentPage11-1Chapter 12: International Resource Movementsand Multinational CorporationsPage 12-1Additional Essays and Problems for Part Two

Page 4

Solution Manual for International Economics, 13th Edition - Page 4 preview image

Loading page image...

International Economics13thEditionInstructor’s Manual(Front_Matter.doc)FM-3Dominick SalvatorePART THREE: THE BALANCE OF PAYMENTS, FOREIGN EXCHANGE MARKETS,AND EXCHANGE RATESChapter 13: The Balance of PaymentsPage 13-1Chapter 14: Foreign Exchange Markets and Exchange RatesPage 14-1Chapter 15: Exchange Rate DeterminationPage 15-1Additional Essays and Problems for Part ThreePART FOUR:OPEN ECONOMY MACROECONOMICS AND THE INTERNATIONALMONETARY SYSTEMChapter 16: The Price Adjustment Mechanisms with Flexible and Fixed ExchangeRatesPage 16-1Chapter 17: The Income Adjustment Mechanism and Synthesis of AutomaticAdjustmentsPage 17-1Chapter 18: Open Economy Macroeconomics: Adjustment PoliciesPage 18-1Chapter 19: Prices and output in an Open Economy: Aggregate Demand andAggregate SupplyPage 19-1Chapter20: Flexible versus Fixed Exchange Rates, The European Monetary System,and Macroeconomic Policy CoordinationPage20-1Chapter21 International Monetary System: Past, Present, and FuturePage21-1Additional Essays and Problems for Part Four

Page 5

Solution Manual for International Economics, 13th Edition - Page 5 preview image

Loading page image...

International Economics13thEditionInstructor’s Manual(Front_Matter.doc)FM-4Dominick SalvatoreINTRODUCTORY COMMENTSPurpose of this ManualThe purpose of this manual is to facilitate the use of the text by the Instructor.It containsthe detailed outline of each chapter, lecture guides with suggestions on how best to presentthe material in each chapter, the answer to the end-of-chapter problems, and a set of 12 to 18multiple-choice questions with answers for each chapter.Course OutlinesThe text includes more material than can be covered in a one-semester undergraduate coursein international economics, thus providing the Instructor with a great deal of flexibility as towhat to include.The core chapters for a one-semester undergraduate course in international economics are:Chapters 1-6,8,13-18,21.I would cover each of these 14chapters in one week (except fordoubling up in one week) of the semester.I would skip the appendices, or make some ofthem optional.I would give the midterm after Chapter8and the final on all chapterscovered at the end of the semester.Some Instructors, of course, may want to follow adifferent format.In an undergraduate course in international trade, I would cover Chapters 1-12, and 21.In a one-semester undergraduate course in international finance, I would cover Chapters 1,13-21.In a graduate course in International Trade in the MA, MBA, International Affairs, andInternational PoliticalEconomy,I would cover Chapters 1-12,and 21.I would also coverall the appendicesat the end of each chapter and on the WEB,and assign readings from theselected bibliography at the end of each chapter.In a graduate course in International Finance in the MA, MBA, International Affairs, andInternational PoliticalEconomy,I would cover Chapters 1, 12, and 13-21.I would alsocover all the appendicesat the end of each chapter and on the Web,and assign readingsfrom the selected bibliography.In a graduate course in InternationalEconomics,I would cover all21chapters, with orwithout the appendicesat the end of each chapter and on the Web,andassignreadings fromthe selected bibliography.

Page 6

Solution Manual for International Economics, 13th Edition - Page 6 preview image

Loading page image...

International Economics13thEditionInstructor’s Manual(Front_Matter.doc)FM-5Dominick SalvatoreContent of this ManualThe lecture guide given in this manual is specifically designed for a one-semesterundergraduate course in international economics.The questions for review at the end of each chapter involve only recall of what is clearlyexplained in the text.Their function is simply to emphasize those concepts and theories thatthe student needs to learn and remember.I would encourage the student to go over them onhis own and check his answers in the text.I would assign the problems at the end of each chapter.These are challenging but not trickyor very time consuming.They are intended to enlist the active participation of students so asto make international economics truly come alive.The multiple-choice questions included can be used for quizzes or to be part of the midtermand final examinations.These questions are available separately under the test bankresource and a computerized Respondus test bank is also available.The Instructor who feelsthat more questions and problems would be useful can consult my small and popularpaperbackTheory and Problems of International Economics(4th ed., 1996) in the Schaum'sOutline Series, which includes a wealth of additional multiple-choice questions and solvedproblems and to theStudy Guideprepared for this text by Professor Arthur Raymond ofMuhlenberg College.At the end of each of the four parts of thisManual,there are alsoadditional essays and problems with answers that can be used for class exams.A Personal Note to You, the InstructorI welcome any comment, suggestion, or opinion that you may have on the use of the text.You can correspond by e-mail directly with me or through John Wiley, and I will personallyacknowledge your letter and comment on your suggestions.I will, of course, consider yourcomments for the next Edition of the text and would gratefully acknowledge any suchcontribution.Dominick Salvatoresalvatore@fordham.edu

Page 7

Solution Manual for International Economics, 13th Edition - Page 7 preview image

Loading page image...

International Economics13thEditionInstructor’s Manual(ch01.doc)1-1Dominick SalvatoreCHAPTER 1*(Core Chapter)INTRODUCTIONOUTLINE1.1The Globalization of the World Economy1.1A We Live in a Global EconomyCase Study 1-1:The Dell PCs, iPhones and iPads Sold in the U.S. AreAnything But American!Case Study 1-2: What Is an "American" Car?1.1B The Globalization ChallengeCase Study 1-3:Is India’s Globalization Harming the United States?1.2 International Trade and The Nation's Standard of LivingCase Study 1-4: Rising Importance of International Trade to the United States1.3The International Flow of Goods, Services, Labor and Capital1.3ATheInternational Flow of Goods and Services: The Gravity ModelCase Study 1-5: The Gravity Model at Work1.3B The International Flow of Labor and CapitalCase Study 1-6: Major Net Exporters and Importers of Capital1.3C Globalization Before and After the Global Financial Crisis1.4International Economic Theories and Policies1.4A Purpose of International Economic Theories and Policies1.4BThe Subject Matter of International Economics1.5Current International EconomicProblems1.6Organization and Methodology of the Book1.6A Organization of the Text1.6BMethodology of the TextAppendix:A1.1 Basic International Trade DataA1.2 Sources of Additional International Data and InformationKey TermsGlobalizationForeign exchange marketsAnti-globalization movementBalance of paymentsInterdependenceAdjustment in the balance of paymentsGravity modelMicroeconomicsInternational trade theoryMacroeconomicsInternational trade policyOpen economy macroeconomicsNew protectionismInternational finance

Page 8

Solution Manual for International Economics, 13th Edition - Page 8 preview image

Loading page image...

International Economics13thEditionInstructor’s Manual(ch01.doc)1-2Dominick SalvatoreLecture Guide1.As the first chapter of the book, the general aim here is to define the fieldofstudyof international economics and its importance in today's interdependentworld.The material in this chapter can be covered in two classes. I would utilize oneclass to cover Sections 1 to3and the second class to cover Sections4to6.Iwould spend most of the second class on Section3on the major currentinternational economicproblemsfacing the United States and the world todayand to show how international economics can suggest ways to solve them. Thisshould greatly enhance students' motivation.Answer to Problems1.a) International economic problems reported in our daily newspapers are likely toinclude:Slow growth and high unemployment inmostadvanced economies;trade controversies between the United States,China, Europe,andJapan;excessivevolatility of exchange rates;huge and unsustainable trade deficits of the United States;structural unemployment inadvanced economiesandinsufficientrestructuring in transition economies;deep poverty in many developing nations;resource scarcity, environmental degradation and climate changesb)The effect of each of the above problems on the U.S. economy are:stagnantearnings;increased protectionism and the danger of trade wars;discouragesforeign trade and investments;can result in tradeprotectionism and/or deep dollar depreciation;reducesadvanced countries' importsof goods and servicesfrom the restofthe world;can lead to political instabilityabroad that wouldadversely affect theU.S.;endangers future standard of livinginthe U.S. and abroad.c)The effect of each of the current international economic problems can affecteach of us, as follows:Can lose job and suffer financial losses;pay higher prices for imported products;

Page 9

Solution Manual for International Economics, 13th Edition - Page 9 preview image

Loading page image...

International Economics13thEditionInstructor’s Manual(ch01.doc)1-3Dominick Salvatoregreat fluctuations in the price of imported products and cost of foreign travel;can leadyouto support demands for trade protection;slower growth of wages andincomes;can lead to higher taxesto help poor countries;can result inhigher taxes and price of fuel and other products.2.a) Five industrialnations not mentioned are:United Kingdom, Spain, Sweden,Austria, and Switzerland.b)See Table 1A.Note that, generally,smaller nations have higher percentages of imports andexports to GDP.Source:International Financial Statistics(Washington,D.C., IMF,2018).3.a)Five developing nations not mentioned in the text are:India, Philippines,South Africa, Chile and Croatia.b)See Table 1B.Note that, once again,the smaller the nation, the greater is its economicinterdependence.The only exception is Chile, which is large than Croatiabut much smaller than South Africa.Table 1AEconomic Interdependence as Measured by Importsand Exports as a Percentage of GDP, 2017NationExportsas apercent of GDPImports as apercent of GDPU.K30.531.9Spain34.131.4Sweden45.341.1Austria53.950.8Switzerland65.053.9

Page 10

Solution Manual for International Economics, 13th Edition - Page 10 preview image

Loading page image...

International Economics13thEditionInstructor’s Manual(ch01.doc)1-4Dominick SalvatoreTable 1BEconomic Interdependence as Measured by Importsand Exports as a Percentage of GDP, 2017*NationExpts as apercent of GDPImports as apercent of GDPIndia19.220.6Philippines28.036.9S. Africa29.828.4Chile28.427.6Croatia51.349.1* Values for India, Philippines and Chile are for 2016.Source:IFS(Washington, D.C., IMF,July2018).4.Trade between the United States and Brazil is much larger than trade between theUnited States and Argentina. Since Brazil is larger and closer than Argentina, thistrade does follow the predictions of the gravity model.5.a)Mankiw’sEconomics(8th., 2017) includes the following microeconomics topics:The market forces of demand and supply;elasticity and its application;the theory of consumer choice;consumers, producers, and the efficiency of markets;the costs of production;firms in competitive markets;monopoly;oligopoly;monopolistic competition;markets for the factors of production;the demand for resources;b)Just as the microeconomics parts of your principles text deal with individualconsumers and firms,andwith the price of individual commodities and factors ofproduction, so do Parts One and Two of this text deal with production andconsumption of individual nations with nations with and without trade, and withtherelativeprice of individual commodities and factors of production.

Page 11

Solution Manual for International Economics, 13th Edition - Page 11 preview image

Loading page image...

International Economics13thEditionInstructor’s Manual(ch01.doc)1-5Dominick Salvatorec)Mankiw’s Economics (8th., 2017) includes the following microeconomics topics:measuring a nation’s income and the cost of living;production and growth;savings investment and the financial system;unemployment and its natural rate;the monetary system, growth and inflation;money growth and inflation;open-economy macroeconomics: basic concepts;a macroeconomic theory of the open economy;aggregate demand and aggregate supply;the influence of monetary and fiscal policy on aggregate demand;the short-run trade off between inflation and unemploymentfive debates over macroeconomic policy.d)Just as the macroeconomics parts of your principles text deal with the aggregatelevel of savings, consumption, investment, and national income, the general pricelevel, and monetary and fiscal policies, so do Parts Three and Four of this textdealwith the aggregate amount of imports, exports, the total international flow ofresources, and the policies to affect these broad aggregates.6.a) Consumer demand theory predicts than when the price of a commodity rises(cet. par.),the quantity demanded of the commodity declines.When the price of imports rises to domestic consumers, the quantity demanded ofimportscan be expected to decline (if everything else remains constant).7.a)A government can reduce a budgetdeficit by reducing governmentexpenditures and/or increasing taxes.b)A nation can reduce or eliminate a balance of payments deficit by taxingimports and/orsubsidizing exports, by borrowing more abroad or lending lessto other nations, as wellas by reducing the level of its national income.8.a)Nations usually impose restrictions on the free international flow of goods,services,andfactors. Differences in language,customs,and laws also hamperthese international flows. In addition, international flows may involve receipts andpayments in different currencies,which may change in value in relation to oneanother through time.This is to be contrasted with the interregional flow ofgoods,services, and factors, which face no such restrictions as tariffs and areconducted in terms of the same currency, usually in the same language, and underbasically the same set of customs and laws.

Page 12

Solution Manual for International Economics, 13th Edition - Page 12 preview image

Loading page image...

International Economics13thEditionInstructor’s Manual(ch01.doc)1-6Dominick Salvatoreb)Both international and interregional economic relations involve the overcomingof spaceor distance. Indeed, they both arise from the problems created bydistance. This distinguishes them from the rest of economics, which abstractsfrom space and treats the economyas a single point in space, in which production,exchange, and consumption take place.9.We can deduce that nations benefit from voluntarily engaging in internationaltrade becauseif they did not gain or if they lost they could avoid those losses bysimply refusing to trade. Disagreement usually arises regarding the relativedistribution of the gains from specialization in production and trade, but this doesnot mean that each nation does not gain from trade.10.International trade results in lower prices for consumers but harms domesticproducers ofproducts, whichcompete with imports. Often those domesticproducers that stand to lose agreat deal from imports band together to pressurethe government to restrict imports. Sinceconsumers are many and unorganizedand each individually stands to lose only very littlefrom the import restrictions,governments often give in to the demands of producers andimpose some importrestrictions. These topics are discussed in detail in Chapter8.11.A nation can subsidize exports of the commodity to other nations until it drivesthecompeting nation's industry out of business, after which it can raise its priceand benefitfrom its newly acquired monopoly power.Some economists and politicians in the United States have accused Japan of doingjust that(i.e., of engaging in strategic trade and industrial policy at the expense ofU.S. industries), but this is a very complex and controversial aspect of tradepolicy and will be examined indetail in Chapter9.12.a) When the value of the U.S. dollar falls in relation to the currencies of othernations,imports become more expensive for Americans and so they wouldpurchase a smallerquantity of imports.b)When the value of the U.S. dollar falls in relation to the currencies of othernations,U.S. exports become chapter for foreigners and so they would purchase agreaterquantity of U.S. exports.

Page 13

Solution Manual for International Economics, 13th Edition - Page 13 preview image

Loading page image...

International Economics13thEditionInstructor’s Manual(ch01.doc)1-7Dominick SalvatoreMultiple-Choice Questions1. Which of the following products are not produced at all in the United States?*a. Coffee, tea, cocoab.steel, copper, aluminumc. petroleum, coal, natural gasd. typewriters, computers, airplanes2. International trade is most important to the standard of living of:a. the United States*b.Switzerlandc.Germanyd.England3. Over time, the economic interdependence of nations has:*a.grownb.diminishedc.remained unchangedd.cannot say4. A rough measure of the degree of economic interdependence of a nation is given by:a.the size of the nations' populationb.the percentage of its population to its GDP*c.the percentage of a nation's imports and exports to its GDPd.all of the above5. Economic interdependence is greater for:*a.small nationsb.large nationsc.developed nationsd.developing nations6. The gravity model of international trade predicts that trade between two nations islargera.the larger the two nationsb.the closer the nationsc.the more open are the two nations*d.all of the above

Page 14

Solution Manual for International Economics, 13th Edition - Page 14 preview image

Loading page image...

International Economics13thEditionInstructor’s Manual(ch01.doc)1-8Dominick Salvatore7. International economics deals with:a.the flow of goods,services,and payments among nationsb.policies directed at regulating the flow of goods,services,and paymentsc.the effects of policies on the welfare of the nation*d.all of the above8. International trade theory refers to:*a.the microeconomic aspects of international tradeb.the macroeconomic aspects of international tradec.open economy macroeconomics or international financed.all of the above9. Which of the following is not the subject matter of international finance?a.foreign exchange marketsb.the balance of payments*c.the basis and the gains from traded.policies to adjust balance of payments disequilibria10. Economic theory:a.seeks to explain economic eventsb.seeks to predict economic eventsc.abstracts from the many detail that surrounds an economic event*d.all of the above11. Which of the following is not an assumption generally made in the study ofinternationaleconomics?a.two nationsb.two commodities*c.perfect international mobility of factorsd.two factors of production12. In the study of international economics:a.international trade policies are examined before the bases for tradeb.adjustment policies are discussed before the balance of paymentsc.the case of many nations is discussed before the two-nations case*d.none of the above

Page 15

Solution Manual for International Economics, 13th Edition - Page 15 preview image

Loading page image...

International Economics13thEditionInstructor’s Manual(ch01.doc)1-9Dominick Salvatore13. International trade is similar to interregional trade in that both must overcome:*a.distance and spaceb.trade restrictionsc.differences in currenciesd.differences in monetary systems14. The opening or expansion of international trade usually affects all members ofsociety:a.positivelyb.negatively*c.most positively but some negativelyd.most negatively but some positively15. An increase in the dollar price of a foreign currency usually:a.benefit U.S. importers*b.benefits U.S. exportersc.benefit both U.S. importers and U.S. exportersd.harms both U.S. importers and U.S. exporters16. Which of the following statements with regard to international economics is true?a.It is a relatively new field*b.it is a relatively old fieldc.most of its contributors were not economistsd.none of the above

Page 16

Solution Manual for International Economics, 13th Edition - Page 16 preview image

Loading page image...

International Economics13thEditionInstructor’s Manual(ch02.doc)2-1Dominick SalvatoreCHAPTER 2*(Core Chapter)THE LAW OF COMPARATIVE ADVANTAGEOUTLINE2.1 Introduction2.2 The Mercantilists' Views on TradeCase Study 2-1: Munn's Mercantilistic Views on TradeCase Study 2-2: Mercantilism Is Alive and Well in the Twenty-first Century2.3 Trade Based on Absolute Advantage: Adam Smith2.3AAbsolute Advantage2.3BIllustration of Absolute Advantage2.4 Trade Based on Comparative Advantage: David Ricardo2.4AThe Law of Comparative Advantage2.4BThe Gains from Trade2.4CException to the Law of Comparative Advantage2.4DComparative Advantage with MoneyCase Study 2-3: The Petition of the Candlemaker2.5 Comparative Advantage with Opportunity Costs2.5AComparative Advantage and the Labor Theory of Value2.5BThe Opportunity Cost Theory2.5CThe Production Possibility Frontier Under Constant Costs2.5DOpportunity Costs and Relative Commodity Prices2.6 The Basis and the Gains from Trade Under Constant Costs2.6AIllustration of the Gains from Trade2.6BRelative Commodity Prices with Trade2.7 Empirical Tests of the Ricardian ModelCase Study 2-4:OtherEmpiricalTests of the Ricardian Trade ModelAppendix:A2.1 Comparative Advantage with More than Two CommoditiesA2.2 Comparative Advantage with More than Two Nations

Page 17

Solution Manual for International Economics, 13th Edition - Page 17 preview image

Loading page image...

International Economics13thEditionInstructor’s Manual(ch02.doc)2-2Dominick SalvatoreKey TermsBasis for tradeLabor theory of valueGains from tradeOpportunity cost theoryPattern of tradeProduction possibility frontierMercantilismConstant opportunity costAbsolute advantageRelative commodity pricesLaissez-faireComplete specializationLaw of comparative advantageSmall country caseLecture Guide1.This is a long and crucial core chapter and may require four classes to cover aadequately. In the first lecture, I would present Sections 1, 2, and 3. These are short ssections and set the stage for the crucial law of comparative advantage.2.In the second lecture of Chapter 2, I would concentrate on Section 4 and carefullyexplain the law of comparative advantage using simple numerical examples as in thetext. The crucial parts here are 4b (which explains the law) and 4d (which establishesthe link between trade theory and international finance). I find that the numericalexplanations before the graphical analysis really helps the student to truly understandthe law. The simple lawyer-secretary example should also render the law moreimmediately relevant to the student. I would also assign Problems 1-6.3.In the third lecture, I would cover Sections 2.5 and 2.6a. I would pay particularattention to Sections 2.5c, 2.5d, and 2.6, which are the heart of the chapter.4.In the fourth lecture, I would cover the remainder of the chapter. The crucial sectionhere is 2.6b and the most difficult concept to explain is the shape of the combinedsupply curve for wheat and cloth. The appendixes could be made optional for themore enterprising students in the class. I would also assign Problems 7-13.Answer to Problems1.In case A, the United States has an absolute advantage in wheat and the UnitedKingdom in cloth.In case B, the United States has an absolute advantage (so that the United Kingdomhas an absolute disadvantage) in both commodities.In case C, the United States has an absolute advantage in wheat but has neither anabsolute advantage nor disadvantage in cloth.In case D, the United States has an absolute advantage over the United Kingdom inboth commodities.

Page 18

Solution Manual for International Economics, 13th Edition - Page 18 preview image

Loading page image...

International Economics13thEditionInstructor’s Manual(ch02.doc)2-3Dominick Salvatore2.In case A, the United States has a comparative advantage in wheat and the UnitedKingdom in cloth.In case B, the United States has a comparative advantage in wheat and the UnitedKingdom in cloth.In case C, the United States has a comparative advantage in wheat and the UnitedKingdom in cloth.In case D, the United States and the United Kingdom have a comparative advantagein neither commodities.3.In case A, trade is possible based on absolute advantage.In case B, trade is possible based on comparative advantage.In case C, trade is possible based on comparative advantage.In case D, no trade is possible because the absolute advantage that the UnitedStateshas over the United Kingdom is the same in both commodities.4.a) The United States gains 1C.b) The United Kingdom gains 4C.c) 3C < 4W < 8C.d) The United States would gain 3C while the United Kingdom would gain 2C.5)a) The cost in terms of labor content of producing wheat is 1/4 in the UnitedStates aand 1 in the United Kingdom, while the cost in terms of labor content ofproducing cloth is 1/3 in the United States and 1/2 in the United Kingdom.b)In the United States, Pw=$1.50 and Pc=$2.00.c)In the United Kingdom, Pw=£1.00 and Pc=£0.50.6)a)With the exchange rate of £1=$2, Pw=2.00 and Pc=$1.00 in the UnitedKingdom, so that the United States would be able to export wheat to the UnitedKingdom and the United Kingdom would be able to export cloth to the UnitedStates.b)With the exchange rate of £1=$4, Pw=$4.00 and Pc=$2.00 in the UnitedKingdom, so that the United States would be able to export wheat to the UnitedKingdom, but the United Kingdom would be unable to export any cloth to theUnited States.

Page 19

Solution Manual for International Economics, 13th Edition - Page 19 preview image

Loading page image...

International Economics13thEditionInstructor’s Manual(ch02.doc)2-4Dominick Salvatorec) With £1=$1, Pw=$1.00 and Pc=$0.50 in the United Kingdom,so that theUnitedKingdom would be able to export both commodities to the United States.d) $1.50 < £1.00 < $4.00.7.a) See Figure 1.b) In the United States Pw/Pc=3/4, while in the United Kingdom, Pw/Pc=2.c) In the United States Pc/Pw=4/3, while in the United Kingdom Pc/Pw=1/2.8.See Figure 2.The autarky points are A and A' in the United States and the United Kingdom,respectively.The points of production with trade are B and B' in the United Statesand the United Kingdom, respectively.The points of consumption are E and E' inthe United States and the United Kingdom, respectively.The gains from trade areshown by E > A for the U.S. and E' > A' for the U.K.9.a)If DW(US+UK)shifted up in Figure 2.3, the equilibrium relative commodity priceof wheat would also rise by 1/3 to PW/PC=4/3. Since the higher DW(US+UK)wouldstill intersect the vertical portion of the SW(US+UK)curve, the United States wouldcontinue to specialize completely in the production of wheat and produce 180W,whiletheUnitedkingdomwouldcontinuetospecializecompletelyintheproduction of cloth and produce 120C.b) Since the equilibrium relative commodity price of cloth is the inverse of therelativecommodityprice of wheat, if the latter rises to 4/3, then the former falls to¾.. This means that DC(UK+US)shifts down by 1/3 in the right panel of Figure 2.3.

Page 20

Solution Manual for International Economics, 13th Edition - Page 20 preview image

Loading page image...

International Economics13thEditionInstructor’s Manual(ch02.doc)2-5Dominick Salvatore

Page 21

Solution Manual for International Economics, 13th Edition - Page 21 preview image

Loading page image...

International Economics13thEditionInstructor’s Manual(ch02.doc)2-6Dominick Salvatore10.If DW(US+UK)intersected SW(US+UK)at PW/PC=2/3 and 120W in the left panel ofFigure 2.3, this would mean that the United States would not be specializingcompletely in the production of wheat.The United Kingdom, on the other hand, would be specializing completely in theproduction of cloth and exchanging 20C for 30W with the United States. Since theUnitedKingdomtradesatU.S.thepre-traderelativecommoditypriceofPW/PC=2/3 in the United States, the United Kingdom receives all of the gains fromtrade.11.See Figure 3 on page 15 and the discussion in the last paragraph of Section 2.6b inthe text.12.a) The Ricardian model was tested empirically by showing the positive correlationbetween relative productivities and the ratio of U.S.to U.K. exports to thirdcountries and by the negative correlation between relative unit labor costs andrelative exportsb) The Ricardian trade model was confirmed by the positive relationship foundbetween the relative labor productivity and the ratio of U.S. to U.K. exports tothird countries, as well as by the negative relationship between relative unit laborcosts and relative exports.c) Even though the Ricardian model was more or less empirically confirmed westillneedothermodelsbecausetheformerassumesratherthanexplainscomparative advantage (i.e, it does not explain the reason for the different laborproductivities in different nations) and cannot say much regarding the effect ofinternational trade on the earnings of factors of production.d)The United States has a comparative disadvantage in the production of textiles.Restrictingtextile imports would keep U.S. workers from eventually moving intoindustries in whichthe United States has a comparative advantage and in whichwages are higher.

Page 22

Solution Manual for International Economics, 13th Edition - Page 22 preview image

Loading page image...

International Economics13thEditionInstructor’s Manual(ch02.doc)2-7Dominick SalvatoreAnswer to Problem in Appendix 2The numbers in the following table refer to the cost or price of commodities X, Y, and Zinnations A, B, and C in terms of the same currency. Thus, nation A exports commodityX tonations B and C; nation B exports commodity Y to nations A and C; nation C exportscommodity Z to nations A and B.NationABCCommodityX123Y31.52Z432Multiple-Choice Questions1.The Mercantilists didnotadvocate:*a.free tradeb.stimulating the nation's exportsc.restricting the nations' importsd.the accumulation of gold by the nation2. According to Adam Smith, international trade was based on:*a.absolute advantageb.comparative advantagec.both absolute and comparative advantaged.neither absolute nor comparative advantage3. What proportion of international trade is based on absolute advantage?a.Allb.most*c.somed.none

Page 23

Solution Manual for International Economics, 13th Edition - Page 23 preview image

Loading page image...

International Economics13thEditionInstructor’s Manual(ch02.doc)2-8Dominick Salvatore4.The commodity in which the nation has the smallest absolute disadvantage is thecommodityof its:a.absolute disadvantageb.absolute advantagec.comparative disadvantage*d.comparative advantage5.If in a two-nation (A and B), two-commodity (X and Y) world, it is established thatnationA has a comparative advantage in commodity X, then nation B must have:a. an absolute advantage in commodity Yb.an absolute disadvantage in commodity Yc.a comparative disadvantage in commodity Y*d.a comparative advantage in commodity Y6.If with one hour of labor time nation A can produce either 3X or 3Y while nation Bcanproduce either 1X or 3Y (and labor is the only input):a.nation A has a comparative disadvantage in commodity Xb.nation B has a comparative disadvantage in commodity Y*c.nation A has a comparative advantage in commodity Xd.nation A has a comparative advantage in neither commodity7. With reference to the statement in Question 6:aPx/Py=1 in nation Ab.Px/Py=3 in nation Bc.Py/Px=1/3 in nation B*d.all of the above8. With reference to the statement in Question 6, if 3X is exchanged for 3Y:a.nation A gains 2X*b.nation B gains 6Yc.nation A gains 3Yd.nation B gains 3Y9.With reference to the statement of Question 6, the range of mutually beneficial tradebetween nation A and B is:a3Y < 3X < 5Yb.5Y < 3X < 9Y*c3Y < 3X < 9Yd.1Y < 3X < 3Y

Page 24

Solution Manual for International Economics, 13th Edition - Page 24 preview image

Loading page image...

International Economics13thEditionInstructor’s Manual(ch02.doc)2-9Dominick Salvatore10. If domestically 3X=3Y in nation A, while 1X=1Y domestically in nation B:a.there will be no trade between the two nationsb.the relative price of X is the same in both nationsc.the relative price of Y is the same in both nations*d.all of the above11. Ricardo explained the law of comparative advantage on the basis of:*a.the labor theory of valueb.the opportunity cost theoryc. the law of diminishing returnsd.all of the above12. Which of the following statements is true?a. The combined demand for each commodity by the two nations is negativelyslopedb.the combined supply for each commodity by the two nations is rising stepwisec.the equilibrium relative commodity price for each commodity with trade isgivenby theintersection of the demand and supply of each commodity by thetwo nations*d.all of the above13.A difference in relative commodity prices between two nations can be based upon adifference in:a.factor endowmentsb.technologyc.tastes*d.all of the above14. In the trade between a small and a large nation:a.the large nation is likely to receive all of the gains from trade*b.the small nation is likely to receive all of the gains from tradec.the gains from trade are likely to be equally sharedd.we cannot say15. The Ricardian trade model has been empirically*a.verifiedb.rejectedc.not testedd.tested but the results were inconclusive

Page 25

Solution Manual for International Economics, 13th Edition - Page 25 preview image

Loading page image...

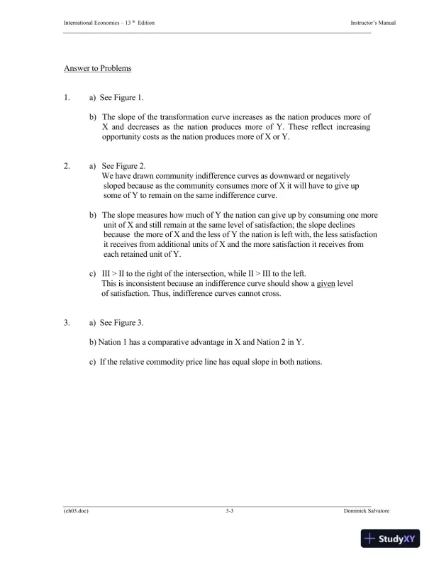
International Economics13thEditionInstructor’s Manual(ch03.doc)3-1Dominick Salvatore*CHAPTER 3(Core Chapter)THE STANDARDTHEORY OF INTERNATIONAL TRADEOUTLINE3.1 Introduction3.2 The Production Frontier with Increasing Costs3.2AIllustration of Increasing Costs3.2BThe Marginal Rate of Transformation3.2CReason for Increasing Opportunity Costs and Different Production Frontiers3.3 Community Indifference Curves3.3AIllustration of Community Indifference Curves3.3BThe Marginal Rate of Substitution3.3CSome Difficulties with Community Indifference Curves3.4 Equilibrium in Isolation3.4AIllustration of Equilibrium in Isolation3.4BEquilibrium Relative Commodity Prices and Comparative AdvantageCase Study 3-1 Comparative Advantage oftheLargest Advancedand Emerging Economies3.5 The Basis for and the Gains from Trade with Increasing Costs3.5AIllustration of the Basis for and the Gains from Trade with Increasing Costs3.5BEquilibrium Relative Commodity Prices with Trade3.5CIncomplete SpecializationCase Study 3-2: Specialization and Export Concentration in Selected Countries3.5DSmall Country Case with Increasing Costs3.5EThe Gains from Exchange and from SpecializationCase Study 3-3:Job Losses in High U.S. Import-Competing IndustriesCase Study 3-4: International Trade and Deindustrialization inthe United States,the European Union, and Japan3.6 Trade Based on Differences in Tastes3.6A Illustration of Trade Based on Difference in TastesAPPENDIX:A3.1 Production Functions, Isoquants, Isocosts and EquilibriumA3.2Production Theory with Two Nations, Two Commodities and TwoFactorsA3.3 Derivation of the Edgeworth Box Diagram and Production FrontiersA3.4 Some Important Conclusions

Page 26

Solution Manual for International Economics, 13th Edition - Page 26 preview image

Loading page image...

International Economics13thEditionInstructor’s Manual(ch03.doc)3-2Dominick SalvatoreKey TermsIncreasing opportunity costsEquilibrium relative price with tradeMarginal rate of transformation (MRT)Incomplete specializationCommunity indifference curvesGains from exchangeMarginal rate of substitution (MRS)Gains from specializationAutarkyDeindustrializationEquilibrium relative commodity price in isolationLecture Guide1.In the first lecture of Chapter 3, I would cover Sections 1, 2, and 3. Section 2 can becovered quickly, except for 2b, which requires careful explanation because of itssubsequentimportance. Careful explanation is also required for 3b. I would assignProblems 1 and 2.2.In the second lecture, I would cover Sections 4, 5a, and 5b. This is the basic trademodeland it is essential for the student to master it completely. To this end, I wouldassign andgrade Problems 3 and 4.3.In the third lecture, I would cover the remainder of the chapter. The topics hererepresentelaborations of the basic trade model. I would assign problems 5, 6, and 7and go overproblem 7 in class even though its answer is also in the back of thebook. I would make theAppendices optional for those students in the class whohave had intermediate micro theory.

Page 27

Solution Manual for International Economics, 13th Edition - Page 27 preview image

Loading page image...

International Economics13thEditionInstructor’s Manual(ch03.doc)3-3Dominick SalvatoreAnswer to Problems1.a)See Figure 1.b)The slope of the transformation curve increases as the nation produces more ofX anddecreases as the nation produces more of Y. These reflect increasingopportunity costs asthe nation produces more of X or Y.2.a)See Figure 2.We have drawn community indifference curves as downward or negativelysloped becauseas the community consumes more of X it will have to give upsome of Y toremain onthe same indifference curve.b)The slope measures how much of Y the nation can give up by consuming one moreunitof X and still remain at the same level of satisfaction; the slope declinesbecausethemoreof X and the less of Y the nation is left with, the less satisfactionit receivesfromadditional units of X and the more satisfaction it receives fromeach retained unit of Y.c)III > II to the right of the intersection, while II > III to the left.This is inconsistent because an indifference curve should show agivenlevelof satisfaction.Thus, indifference curves cannot cross.3.a)See Figure 3.b)Nation 1 has a comparative advantage in X and Nation 2 in Y.c)If the relative commodity price line has equal slope in both nations.

Page 28

Solution Manual for International Economics, 13th Edition - Page 28 preview image

Loading page image...

International Economics13thEditionInstructor’s Manual(ch03.doc)3-4Dominick Salvatore

Page 29

Solution Manual for International Economics, 13th Edition - Page 29 preview image

Loading page image...

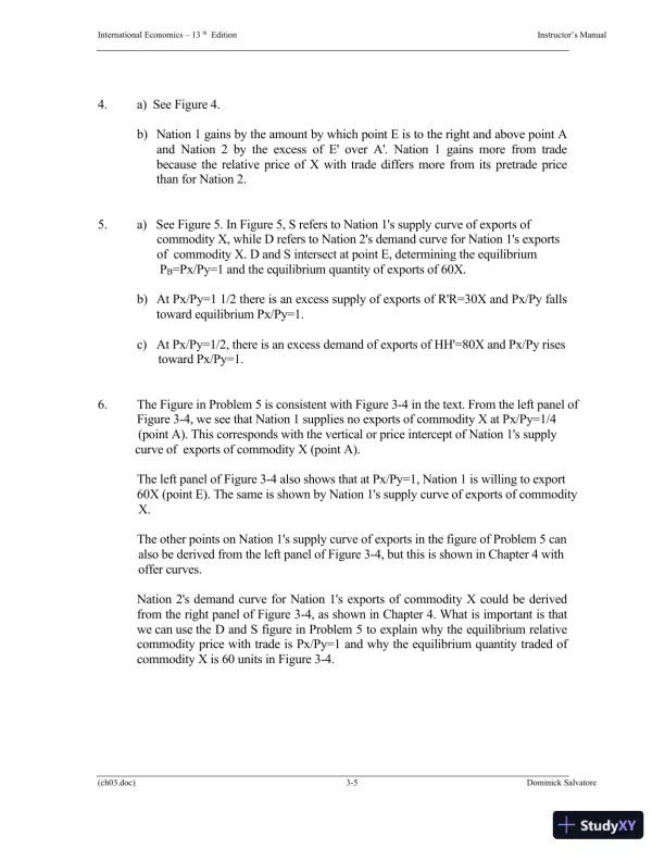
International Economics13thEditionInstructor’s Manual(ch03.doc)3-5Dominick Salvatore4.a)See Figure 4.b)Nation 1 gains by the amount by which point E is to the right and above point AandNation 2 by the excess of E' over A'. Nation 1 gains more from tradebecause therelativeprice of X with trade differs more from its pretrade pricethan for Nation 2.5.a)See Figure 5.In Figure 5, S refers to Nation 1's supply curve of exports ofcommodityX, while D refers to Nation 2's demand curve for Nation 1's exportsofcommodity X. D and Sintersect at point E, determining the equilibriumPB=Px/Py=1 and theequilibriumquantity of exports of 60X.b)At Px/Py=1 1/2 there is an excess supply of exports of R'R=30X and Px/Py fallstowardequilibrium Px/Py=1.c)At Px/Py=1/2, there is an excess demand of exports of HH'=80X and Px/Py risestoward Px/Py=1.6.The Figure in Problem 5 is consistent with Figure 3-4 in the text. From the left panel ofFigure 3-4, we see that Nation 1 supplies no exports of commodity X at Px/Py=1/4(pointA). This corresponds with the vertical or price intercept of Nation 1's supplycurve ofexports of commodity X (point A).The left panel of Figure 3-4 also shows that at Px/Py=1, Nation 1 is willing to export60X(point E). The same is shown by Nation 1's supply curve of exports of commodityX.The other points on Nation 1's supply curve of exports in the figure of Problem 5 canalsobe derived from the left panel of Figure 3-4, but this is shown in Chapter 4 withoffercurves.Nation 2's demand curve for Nation 1's exports of commodity X could be derivedfrom theright panel of Figure 3-4, as shown in Chapter 4. What is important is thatwe can use theD and S figure in Problem 5 to explain why the equilibrium relativecommodity price withtrade is Px/Py=1 and why the equilibrium quantity traded ofcommodity X is 60 units inFigure 3-4.

Page 30

Solution Manual for International Economics, 13th Edition - Page 30 preview image

Loading page image...

International Economics13thEditionInstructor’s Manual(ch03.doc)3-6Dominick Salvatore

Page 31

Solution Manual for International Economics, 13th Edition - Page 31 preview image

Loading page image...

International Economics13thEditionInstructor’s Manual(ch03.doc)3-7Dominick Salvatore7.See Figure 6on the previous page.The small nation will move from A to B in production, exports X in exchange for Yso asto reach point E > A.Nation 2's demand curve for Nation 1's exports of commodity X could be derivedfrom theright panel of Figure 3-4, as shown in Chapter 4. What is important is thatwe can use theD and S figure in Problem 5 to explain why the equilibrium relativecommodity price withtrade is Px/Py=1 and why the equilibrium quantity traded ofcommodity X is 60 units inFigure 3-4.8.a)The small nation specializes in the production of commodity X only until itsopportunitycost and relative price of X equals PW. This usually occurs beforethe small nation hasbecome completely specialized in production.b)Under constant costs, specialization is always complete for the small nation.9.a)See Figure 7.b)See Figure 8.10.If the two community indifference curves had also been identical in Problem 9 therelativecommodity prices would also have been the same in both nations in theabsence of trade andno mutually beneficial trade would be possible.See Fig. 9.11.If production frontiers are identical and the community indifference curves differentin thetwo nations, but we have constant opportunity costs, there would be nomutuallybeneficialtrade possible between the two nations. See Figure 10.12.See Figure 11
Preview Mode

This document has 242 pages. Sign in to access the full document!

Study Now!

XY-Copilot AI
Unlimited Access
Secure Payment
Instant Access
24/7 Support
Document Chat

Related Documents

View all