Page 1

Loading page image...
Page 2

Loading page image...
Page 3

Loading page image...
Page 4

Loading page image...
Page 5

Loading page image...
Page 6

Loading page image...
Page 7

Loading page image...
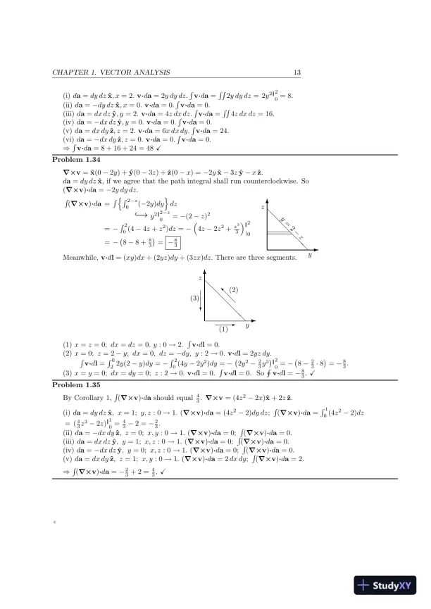
Get the textbook answers you need with Solution Manual For Introduction To Electrodynamics, 4th Edition, an essential guide to solving textbook problems.
Loading page image...
Loading page image...
Loading page image...
Loading page image...
Loading page image...
Loading page image...
Loading page image...