Solution Manual for Modern Quantum Mechanics, 2nd Edition

Unlock the answers to every textbook problem with Solution Manual for Modern Quantum Mechanics, 2nd Edition, making studying more efficient and effective.

Henry Martinez
Contributor
4.7
44
5 months ago
Preview (16 of 112 Pages)
100%
Purchase to unlock

Page 1

Solution Manual for Modern Quantum Mechanics, 2nd Edition - Page 1 preview image

Loading page image...

2Chapter One1.AC{D, B}=ACDB+ACBD,A{C, B}D=ACBD+ABCD,C{D, A}B=CDAB+CADB, and{C, A}DB=CADB+ACDB. ThereforeAC{D, B}+A{C, B}DC{D, A}B+{C, A}DB=ACDB+ABCDCDAB+ACDB=ABCDCDAB= [AB, CD]In preparing this solution manual, I have realized that problems 2 and 3 in are misplacedin this chapter. They belong in Chapter Three. The Pauli matrices are not even defined inChapter One, nor is the math used in previous solution manual.– Jim Napolitano2.(a)Tr(X) =a0Tr(1) +￿￿Tr(σ￿)a￿= 2a0sinceTr(σ￿) = 0. AlsoTr(σkX) =a0Tr(σk) +￿￿Tr(σkσ￿)a￿=12￿￿Tr(σkσ￿+σ￿σk)a￿=￿￿δk￿Tr(1)a￿= 2ak. So,a0=12Tr(X) andak=12Tr(σkX).(b) Just do the algebra to finda0= (X11+X22)/2,a1= (X12+X21)/2,a2=i(X21+X12)/2, anda3= (X11X22)/2.3.Since det(σ·a) =a2z(a2x+a2y) =|a|2, the cognoscenti realize that this problemreally has to do with rotation operators. From this result, and (3.2.44), we writedet￿exp￿±iσ·ˆnφ2￿￿= cos￿φ2￿±isin￿φ2￿and multiplying out determinants makes it clear that det(σ·a￿) = det(σ·a). Similarly, use(3.2.44) to explicitly write out the matrixσ·a￿and equate the elements to those ofσ·a.With ˆnin thez-direction, it is clear that we have just performed a rotation (of the spinvector) through the angleφ.4.(a)Tr(XY)￿a￿a|XY|a￿=￿a￿b￿a|X|b￿￿b|Y|a￿by inserting the identity operator.Then commute and reverse, soTr(XY) =￿b￿a￿b|Y|a￿￿a|X|b￿=￿b￿b|Y X|b￿=Tr(Y X).(b)XY|α￿=X[Y|α￿] is dual to￿α|(XY), butY|α￿ ≡|β￿is dual to￿α|Y≡ ￿β|andX|β￿is dual to￿β|Xso thatX[Y|α￿] is dual to￿α|YX. Therefore (XY)=YX.(c) exp[if(A)] =￿aexp[if(A)]|a￿￿a|=￿aexp[if(a)]|a￿￿a|(d)￿aψa(x￿)ψa(x￿￿) =￿a￿x￿|a￿￿x￿￿|a￿=￿a￿x￿￿|a￿￿a|x￿￿=￿x￿￿|x￿￿=δ(x￿￿x￿)5.For basis kets|ai￿, matrix elements ofX|α￿￿β|areXij=￿ai|α￿￿β|aj￿=￿ai|α￿￿aj|β￿.For spin-1/2 in the| ±z￿basis,￿+|Sz= ¯h/2￿= 1,￿−|Sz= ¯h/2￿= 0, and, using (1.4.17a),￿±|Sx= ¯h/2￿= 1/2. Therefore|Sz= ¯h/2￿￿Sx= ¯h/2|.=12￿1100￿6.A[|i￿+|j￿] =ai|i￿+aj|j￿ ￿= [|i￿+|j￿] so in general it is not an eigenvector, unlessai=aj.That is,|i￿+|j￿is not an eigenvector ofAunless the eigenvalues are degenerate.

Page 2

Solution Manual for Modern Quantum Mechanics, 2nd Edition - Page 2 preview image

Loading page image...

Page 3

Solution Manual for Modern Quantum Mechanics, 2nd Edition - Page 3 preview image

Loading page image...

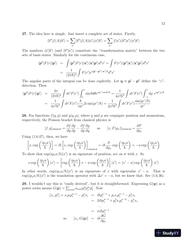
37.Since the product is over a complete set, the operator￿a￿(Aa￿) will always encountera state|ai￿such thata￿=aiin which case the result is zero. Hence for any state|α￿￿a￿(Aa￿)|α￿=￿a￿(Aa￿)￿i|ai￿￿ai|α￿=￿i￿a￿(aia￿)|ai￿￿ai|α￿=￿i0 = 0If the product instead is over alla￿￿=ajthen the only surviving term in the sum is￿a￿(aja￿)|ai￿￿ai|α￿and dividing by the factors (aja￿) just gives the projection of|α￿on the direction|a￿￿. Forthe operatorASzand{|a￿￿}{|+￿,|−￿}, we have￿a￿(Aa￿)=￿Sz¯h2￿ ￿Sz+ ¯h2￿and￿a￿￿=a￿￿Aa￿a￿￿a￿=Sz+ ¯h/2¯hfora￿￿= +¯h2or=Sz¯h/2¯hfora￿￿=¯h2It is trivial to see that the first operator is the null operator. For the second and third, youcan work these out explicitly using (1.3.35) and (1.3.36), for exampleSz+ ¯h/2¯h= 1¯h￿Sz+ ¯h2 1￿= 12 [(|+￿￿+|)(|−￿￿−|) + (|+￿￿+|) + (|−￿￿−|)] =|+￿￿+|which is just the projection operator for the state|+￿.8.I don’t see any way to do this problem other than by brute force, and neither did theprevious solutions manual. So, make use of￿+|+￿= 1 =￿−|−￿and￿+|−￿= 0 =￿−|+￿andcarry through six independent calculations of [Si, Sj] (along with [Si, Sj] =[Sj, Si]) andthe six for{Si, Sj}(along with{Si, Sj}= +{Sj, Si}).9.From the figure ˆn= ˆicosαsinβ+ ˆjsinαsinβ+ ˆkcosβso we need to find the matrixrepresentation of the operatorS·ˆn=Sxcosαsinβ+Sysinαsinβ+Szcosβ. This means weneed the matrix representations ofSx,Sy, andSz. Get these from the prescription (1.3.19)and the operators represented as outer products in (1.4.18) and (1.3.36), along with theassociation (1.3.39a) to define which element is which. ThusSx.= ¯h2￿0110￿Sy.= ¯h2￿0ii0￿Sz.= ¯h2￿1001￿We therefore need to find the (normalized) eigenvector for the matrix￿cosβcosαsinβisinαsinβcosαsinβ+isinαsinβcosβ￿=￿cosβeiαsinβeiαsinβcosβ￿

Page 4

Solution Manual for Modern Quantum Mechanics, 2nd Edition - Page 4 preview image

Loading page image...

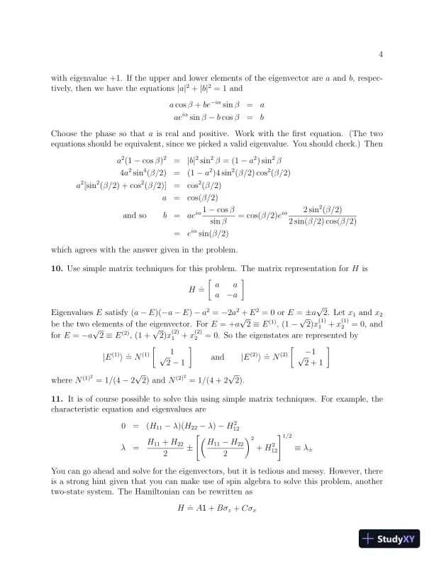
4with eigenvalue +1. If the upper and lower elements of the eigenvector areaandb, respec-tively, then we have the equations|a|2+|b|2= 1 andacosβ+beiαsinβ=aaeiαsinβbcosβ=bChoose the phase so thatais real and positive.Work with the first equation.(The twoequations should be equivalent, since we picked a valid eigenvalue. You should check.) Thena2(1cosβ)2=|b|2sin2β= (1a2) sin2β4a2sin4(β/2)=(1a2)4 sin2(β/2) cos2(β/2)a2[sin2(β/2) + cos2(β/2)]=cos2(β/2)a=cos(β/2)and sob=aeiα1cosβsinβ= cos(β/2)eiα2 sin2(β/2)2 sin(β/2) cos(β/2)=eiαsin(β/2)which agrees with the answer given in the problem.10.Use simple matrix techniques for this problem. The matrix representation forHisH.=￿aaaa￿EigenvaluesEsatisfy (aE)(aE)a2=2a2+E2= 0 orE=±a2. Letx1andx2be the two elements of the eigenvector. ForE= +a2E(1), (12)x(1)1+x(1)2= 0, andforE=a2E(2), (1 +2)x(2)1+x(2)2= 0. So the eigenstates are represented by|E(1)￿.=N(1)￿121￿and|E(2)￿.=N(2)￿12 + 1￿whereN(1)2= 1/(422) andN(2)2= 1/(4 + 22).11.It is of course possible to solve this using simple matrix techniques. For example, thecharacteristic equation and eigenvalues are0=(H11λ)(H22λ)H212λ=H11+H222±￿￿H11H222￿2+H212￿1/2λ±You can go ahead and solve for the eigenvectors, but it is tedious and messy. However, thereis a strong hint given that you can make use of spin algebra to solve this problem, anothertwo-state system. The Hamiltonian can be rewritten asH.=A1+Bσz+Cσx

Page 5

Solution Manual for Modern Quantum Mechanics, 2nd Edition - Page 5 preview image

Loading page image...

5whereA(H11+H22)/2,B(H11H22)/2, andCH12. The eigenvalues of the firstterm are bothA, and the eigenvalues for the sum of the second and third terms are thoseof±(2/¯h) times a spin vector multiplied byB2+C2. In other words, the eigenvalues ofthe full Hamiltonian are justA±B2+C2in full agreement with what we got with usualmatrix techniques, above. From the hint (or Problem 9) the eigenvectors must be|λ+￿= cosβ2|1￿+ sinβ2|2￿and|λ￿=sinβ2|1￿+ cosβ2|2￿whereα= 0, tanβ=C/B= 2H12/(H11H22), and we doβπβto “flip the spin.”12.Using the result of Problem 9, the probability of measuring +¯h/2 is￿￿￿￿￿12￿+|+12￿−|￿ ￿cosγ2|+￿+ sinγ2|−￿￿￿￿￿￿2= 12￿￿1 + cosγ2+￿1cosγ2￿2= 1 + sinγ2The results forγ= 0 (i.e.|+￿),γ=π/2 (i.e.|Sx+￿), andγ=π(i.e.|−￿) are 1/2, 1, and1/2, as expected. Now￿(Sx− ￿Sx￿)2￿=￿S2x￿ − ￿Sx￿2, butS2x= ¯h2/4 from Problem 8 and￿Sx￿=￿cosγ2￿+|+ sinγ2￿−|￿¯h2 [|+￿￿−|+|−￿￿+|]￿cosγ2|+￿+ sinγ2|−￿￿=¯h2￿cosγ2￿−|+ sinγ2￿+|￿ ￿cosγ2|+￿+ sinγ2|−￿￿= ¯hcosγ2 sinγ2 = ¯h2 sinγso￿(Sx− ￿Sx￿)2￿= ¯h2(1sin2γ)/4 = ¯h2cos2γ/4 = ¯h2/4,0,¯h24 forγ= 0,π/2,π.13.All atoms are in the state|+￿after emerging from the first apparatus.The secondapparatus projects out the state|Sn+￿. That is, it acts as the projection operator|Sn+￿￿Sn+|=￿cosβ2|+￿+ sinβ2|−￿￿ ￿cosβ2￿+|+ sinβ2￿−|￿and the third apparatus projects out|−￿.Therefore, the probability of measuring¯h/2after the third apparatus isP(β) =|￿+|Sn+￿￿Sn+|−￿|2= cos2β2 sin2β2 = 14 sin2βThe maximum transmission is forβ= 90, when 25% of the atoms make it through.14.The characteristic equation isλ32(λ)(1/2)2=λ(1λ2) = 0 so the eigenvaluesareλ= 0,±1 and there is no degeneracy. The eigenvectors corresponding to these are121011212112121The matrix algebra is not hard, but I did this withmatlabusing

Page 6

Solution Manual for Modern Quantum Mechanics, 2nd Edition - Page 6 preview image

Loading page image...

6M=[[0 1 0];[1 0 1];[0 1 0]]/sqrt(2)[V,D]=eig(M)These are the eigenvectors corresponding to the a spin-one system, for a measurement inthex-direction in terms of a basis defined in thez-direction. I’m not sure if there is enoughinformation in Chapter One, though, in order to deduce this.15.The answer isyes. The identity operator is 1 =￿a￿,b￿|a￿, b￿￿￿a￿, b￿|soAB=AB1 =AB￿a￿,b￿|a￿, b￿￿￿a￿, b￿|=A￿a￿,b￿b￿|a￿, b￿￿￿a￿, b￿|=￿a￿,b￿b￿a￿|a￿, b￿￿￿a￿, b￿|=BACompleteness is powerful. It is important to note that the sum must be over botha￿andb￿in order to span the complete set of sets.16.SinceAB=BAandAB|a, b￿=ab|a, b￿=BA|a, b￿, we must haveab=bawherebothaandbare real numbers. This can only be satisfied ifa= 0 orb= 0 or both.17.Assume there is no degeneracy and look for an inconsistency with our assumptions. If|n￿is a nondegenerate energy eigenstate with eigenvalueEn, then it is theonlystate with thisenergy. Since [H.A1] = 0, we must haveHA1|n￿=A1H|n￿=EnA1|n￿. That is,A1|n￿is aneigenstate of energy with eigenvalueEn. SinceHandA1commute, though, they may havesimultaneous eigenstates. Therefore,A1|n￿=a1|n￿since there is only one energy eigenstate.Similarly,A2|n￿is also an eigenstate of energy with eigenvalueEn, andA2|n￿=a2|n￿. ButA1A2|n￿=a2A1|n￿=a2a1|n￿andA2A1|n￿=a1a2|n￿, wherea1anda2are real numbers.This cannot be true, in general, ifA1A2￿=A2A1so our assumption of “no degeneracy” mustbe wrong. There is an out, though, ifa1= 0 ora2= 0, since one operator acts on zero.The example given is from a “central forces” Hamiltonian. (See Chapter Three.) The Hamil-tonian commutes with the orbital angular momentum operatorsLxandLy, but [Lx, Ly]￿= 0.Therefore, in general, there is a degeneracy in these problems. The degeneracy is avoided,though forS-states, where the quantum numbers ofLxandLyare both necessarily zero.18.The positivity postulate says that￿γ|γ￿ ≥0, and we apply this to|γ￿ ≡|α￿+λ|β￿. Thetext shows how to apply this to prove the Schwarz Innequality￿α|α￿￿β|β￿ ≥|￿α|β￿|2, fromwhich one derives the generalized uncertainty relation (1.4.53), namely￿(A)2(B)2￿ ≥14|￿[A, B]￿|2Note that [A,B] = [A− ￿A￿, B− ￿B￿] = [A, B]. TakingA|α￿=λB|α￿withλ=λ,as suggested, so￿α|A=λ￿α|B, for a particular state|α￿. Then￿α|[A, B]|α￿=￿α|ABBA|α￿=2λ￿α|(B)2|α￿

Page 7

Solution Manual for Modern Quantum Mechanics, 2nd Edition - Page 7 preview image

Loading page image...

7and the equality is clearly satisfied in (1.4.53). We are now asked to verify this relationshipfor a state|α￿that is a gaussian wave packet when expressed as a wave function￿x￿|α￿. Use￿x￿|x|α￿=￿x￿|x|α￿ − ￿x￿￿x￿|α￿= (x￿− ￿x￿)￿x￿|α￿and￿x￿|p|α￿=￿x￿|p|α￿ − ￿p￿￿x￿|α￿= ¯hiddx￿￿x￿|α￿ − ￿p￿￿x￿|α￿with￿x￿|α￿=(2πd2)1/4exp￿i￿p￿x￿¯h(x￿− ￿x￿)24d2￿to get¯hiddx￿￿x￿|α￿=￿￿p￿ −¯hi12d2(x￿− ￿x￿)￿￿x￿|α￿and so￿x￿|p|α￿=i¯h2d2(x￿− ￿x￿)￿x￿|α￿=λ￿x￿|x|α￿whereλis a purely imaginary number. The conjecture is satisfied.It is very simple to show that this condition is satisfied for the ground state of the harmonicoscillator. Refer to (2.3.24) and (2.3.25). Clearly￿x￿= 0 =￿p￿for any eigenstate|n￿, andx|0￿is proportional top|0￿, with a proportionality constant that is purely imaginary.19.Note the obvious typographical error, i.e.Sx2should beS2x. HaveS2x= ¯h2/4 =S2y=S2z, also [Sx, Sy] =i¯hSz, all from Problem 8.Now￿Sx￿=￿Sy￿= 0 for the|+￿state.Then￿(Sx)2￿= ¯h2/4 =￿(Sy)2￿, and￿(Sx)2￿(Sy)2= ¯h4/16.Also|￿[Sx, Sy]￿|2/4 =¯h2|￿Sz￿|2/4 = ¯h4/16 and the generalized uncertainty principle is satisfied by the equality. Onthe other hand, for the|Sx+￿state,￿(Sx)2￿= 0 and￿Sz￿= 0, and again the generalizeduncertainty principle is satisfied with an equality.20.Refer to Problems 8 and 9. Parameterize the state as|￿= cosβ2|+￿+eiαsinβ2|−￿, so￿Sx￿=¯h2￿cosβ2￿+|+eiαsinβ2￿−|￿[|+￿￿−|+|−￿￿+|]￿cosβ2|+￿+eiαsinβ2|−￿￿=¯h2 sinβ2 cosβ2 (eiα+eiα) = ¯h2 sinβcosα￿(Sx)2￿=￿S2x￿ − ￿Sx￿2= ¯h24 (1sin2βcos2α)(see prob 12)￿Sy￿=i¯h2￿cosβ2￿+|+eiαsinβ2￿−|￿[|+￿￿−|+|−￿￿+|]￿cosβ2|+￿+eiαsinβ2|−￿￿=i¯h2 sinβ2 cosβ2 (eiαeiα) =¯h2 sinβsinα￿(Sy)2￿=￿S2y￿ − ￿Sy￿2= ¯h24 (1sin2βsin2α)

Page 8

Solution Manual for Modern Quantum Mechanics, 2nd Edition - Page 8 preview image

Loading page image...

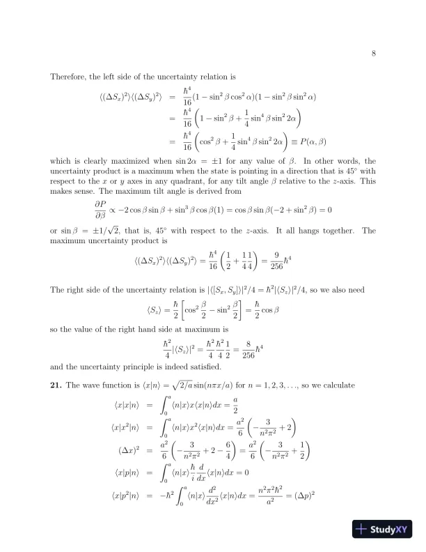
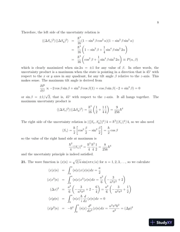
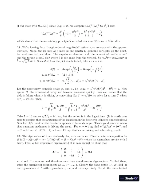
8Therefore, the left side of the uncertainty relation is￿(Sx)2￿￿(Sy)2￿=¯h416(1sin2βcos2α)(1sin2βsin2α)=¯h416￿1sin2β+ 14 sin4βsin22α￿=¯h416￿cos2β+ 14 sin4βsin22α￿P(α,β)which is clearly maximized when sin 2α=±1 for any value ofβ.In other words, theuncertainty product is a maximum when the state is pointing in a direction that is 45withrespect to thexoryaxes in any quadrant, for any tilt angleβrelative to thez-axis. Thismakes sense. The maximum tilt angle is derived fromP∂β∝ −2 cosβsinβ+ sin3βcosβ(1) = cosβsinβ(2 + sin2β) = 0or sinβ=±1/2, that is, 45with respect to thez-axis.It all hangs together.Themaximum uncertainty product is￿(Sx)2￿￿(Sy)2￿= ¯h416￿12 + 1414￿=9256¯h4The right side of the uncertainty relation is|￿[Sx, Sy]￿|2/4 = ¯h2|￿Sz￿|2/4, so we also need￿Sz￿= ¯h2￿cos2β2sin2β2￿= ¯h2 cosβso the value of the right hand side at maximum is¯h24|￿Sz￿|2= ¯h24¯h2412 =8256¯h4and the uncertainty principle is indeed satisfied.21.The wave function is￿x|n￿=￿2/asin(nπx/a) forn= 1,2,3, . . ., so we calculate￿x|x|n￿=￿a0￿n|x￿x￿x|n￿dx=a2￿x|x2|n￿=￿a0￿n|x￿x2￿x|n￿dx=a26￿3n2π2+ 2￿(x)2=a26￿3n2π2+ 264￿=a26￿3n2π2+ 12￿￿x|p|n￿=￿a0￿n|x￿¯hiddx￿x|n￿dx= 0￿x|p2|n￿=¯h2￿a0￿n|x￿d2dx2￿x|n￿dx=n2π2¯h2a2= (p)2

Page 9

Solution Manual for Modern Quantum Mechanics, 2nd Edition - Page 9 preview image

Loading page image...

9(I did these withmaple.) Since [x, p] =i¯h, we compare (x)2(p)2to ¯h2/4 with(x)2(p)2= ¯h26￿3 +n2π22￿= ¯h24￿n2π232￿which shows that the uncertainty principle is satisfied, sincenπ2/3> nπ>3 for alln.22.We’re looking for a “rough order of magnitude” estimate, so go crazy with the approx-imations.Model the ice pick as a massmand lengthL, standing vertically on the point,i.e.and inverted pendulum.The angular acceleration is ¨θ, the moment of inertia ismL2and the torque ismgLsinθwhereθis the angle from the vertical. SomL2¨θ=mgLsinθor¨θ=￿g/Lsinθ. Sinceθ￿0 as the pick starts to fall, take sinθ=θsoθ(t)=Aexp￿￿gLt￿+Bexp￿￿gLt￿x0θ(0)L=(A+B)Lp0m˙θ(0)L=m￿gL(AB)L=￿m2gL(AB)Let the uncertainty principle relatex0andp0, i.e.x0p0=￿m2gL3(A2B2) = ¯h.NowignoreB; the exponential decay will become irrelevant quickly.You can notice that thepick is falling when it is tilting by something like 1=π/180, so solve for a timeTwhereθ(T) =π/180. ThenT=￿Lglnπ/180A=￿Lg￿14 lnm2gL3¯h2ln 180π￿TakeL= 10 cm, so￿L/g0.1 sec, but the action is in the logarithms. (It is worth yourtime to confirm that the argument of the logarithm in the first term is indeed dimensionless.)Now ln(180/π)4 but the first term appears to be much larger. This is good, since it meansthat quantum mechanics is driving the result. Form= 0.1 kg, findm2gL3/¯h2= 1064, andsoT= 0.1 sec×(147/44)3 sec. I’d say that’s a surprising and interesting result.23.The eigenvalues ofAare obviously±a, withatwice. The characteristic equation forBis (bλ)(λ)2(bλ)(ib)(ib) = (bλ)(λ2b2) = 0, so its eigenvalues are±bwithbtwice. (Yes,Bhas degenerate eigenvalues.) It is easy enough to show thatAB=ab0000iab0iab0=BAsoAandBcommute, and therefore must have simultaneous eigenvectors.To find these,write the eigenvector components asui,i= 1,2,3. Clearly, the basis states|1￿,|2￿, and|3￿are eigenvectors ofAwith eigenvaluesa,a, andarespectively. So, do the math to find

Page 10

Solution Manual for Modern Quantum Mechanics, 2nd Edition - Page 10 preview image

Loading page image...

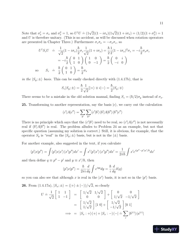
10the eigenvectors forBin this basis. Presumably, some freedom will appear that allows usto linear combinations that are also eigenvectors ofA. One of these is obviously|1￿ ≡|a, b￿,so just work with the reduced 2×2 basis of states|2￿and|3￿. Indeed, both of these stateshave eigenvaluesaforA, so one linear combinations should have eigenvalue +bforB, andorthogonal combination with eigenvalueb.Let the eigenvector components beu2andu3. Then, for eigenvalue +b,ibu3= +bu2andibu2= +bu3both of which implyu3=iu2. For eigenvalueb,ibu3=bu2andibu2=bu3both of which implyu3=iu2.Choosingu2to be real, then (“No, the eigenvalue alonedoes not completely characterize the eigenket.”) we have the set of simultaneous eigenstatesEigenvalue ofABEigenstateab|1￿ab12(|2￿+i|3￿)ab12(|2￿ −i|3￿)24.This problem also appears to belong in Chapter Three.The Pauli matrices are notdefined in Chapter One, but perhaps one could simply define these matrices, here and inProblems 2 and 3.Operating on the spinor representation of|+￿with (12)(1 +iσx) gives12￿￿1001￿+i￿0110￿￿ ￿10￿=12￿1ii1￿ ￿10￿=12￿1i￿So, for an operatorUsuch thatU.= (12)(1 +iσx), we observe thatU|+￿=|Sy; +￿, definedin (1.4.17b). Similarly operating on the spinor representation of|−￿gives12￿￿1001￿+i￿0110￿￿ ￿01￿=12￿1ii1￿ ￿01￿=12￿i1￿=i2￿1i￿that is,U|−￿=i|Sy;−￿. This is what we would mean by a “rotation” about thex-axis by90. The sense of the rotation is about the +xdirection vector, so this would actually bea rotation ofπ/2. (See the diagram following Problem Nine.) The phase factori=eiπ/2does not affect this conclusions, and in fact leads to observable quantum mechanical effects.(This is all discussed in Chapter Three.) The matrix elements ofSzin theSybasis are then￿Sy; +|Sz|Sy; +￿=￿+|USzU|+￿￿Sy; +|Sz|Sy;−￿=i￿+|USzU|−￿￿Sy;|Sz|Sy; +￿=i￿−|USzU|+￿￿Sy;|Sz|Sy;−￿=￿−|USzU|−￿

Page 11

Solution Manual for Modern Quantum Mechanics, 2nd Edition - Page 11 preview image

Loading page image...

11Note thatσx=σxandσ2x= 1, soUU.= (12)(1iσx)(12)(1 +iσx) = (1/2)(1 +σ2x) = 1andUis therefore unitary. (This is no accident, as will be discussed when rotation operatorsare presented in Chapter Three.) Furthermoreσzσx=σxσz, soUSzU.=12(1iσx)¯h2σz12(1 +iσx) = ¯h212(1iσx)2σz=i¯h2σxσz=i¯h2￿0110￿ ￿1001￿= ¯h2￿0ii0￿soSz.=¯h2￿0110￿= ¯h2σxin the|Sy;±￿basis.This can be easily checked directly with (1.4.17b), that isSz|Sy;±￿= ¯h212[|+￿ ∓i|−￿= ¯h2|Sy;∓￿There seems to be a mistake in the old solution manual, findingSz= (¯h/2)σyinstead ofσx.25.Transforming to another representation, say the basis|c￿, we carry out the calculation￿c￿|A|c￿￿￿=￿b￿￿b￿￿￿c￿|b￿￿￿b￿|A|b￿￿￿￿b￿￿|c￿￿￿There is no principle which says that the￿c￿|b￿￿need to be real, so￿c￿|A|c￿￿￿is not necessarilyreal if￿b￿|A|b￿￿￿is real.The problem alludes to Problem 24 as an example, but not thatspecific question (assuming my solution is correct.) Still, it is obvious, for example, that theoperatorSyis “real” in the|Sy;±￿basis, but is not in the￿basis.For another example, also suggested in the text, if you calculate￿p￿|x|p￿￿￿=￿￿p￿|x|x￿￿￿x￿|p￿￿￿dx￿=￿x￿￿p￿|x￿￿￿x￿|p￿￿￿dx￿=12π¯h￿x￿ei(p￿￿p￿)x￿/¯hdx￿and then defineqp￿￿p￿andyx￿/¯h, then￿p￿|x|p￿￿￿=¯h2πiddq￿eiqydy= ¯hiddqδ(q)so you can also see that althoughxis real in the|x￿￿basis, it is not so in the|p￿￿basis.26.From (1.4.17a),|Sx;±￿= (|+￿± |−￿)/2, so clearlyU.=12￿1111￿=￿1/21/200￿+￿001/21/2￿=￿1/21/2￿[1 0] +￿1/21/2￿[0 1]==|Sx: +￿￿+|+|Sx:−￿￿−|.=￿r|b(r)￿￿a(r)|

Page 12

Solution Manual for Modern Quantum Mechanics, 2nd Edition - Page 12 preview image

Loading page image...

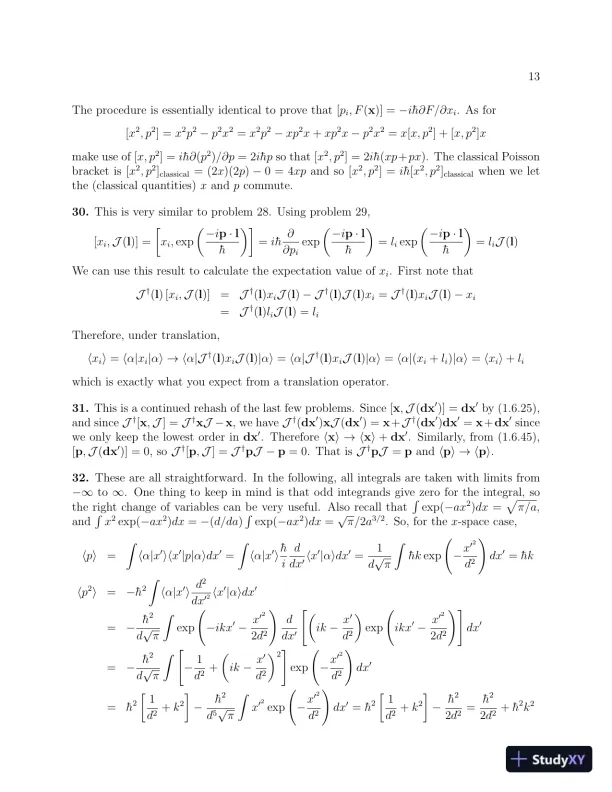
1227.The idea here is simple. Just insert a complete set of states. Firstly,￿b￿￿|f(A)|b￿￿=￿a￿￿b￿￿|f(A)|a￿￿￿a￿|b￿￿=￿a￿f(a￿)￿b￿￿|a￿￿￿a￿|b￿￿The numbers￿a￿|b￿￿(and￿b￿￿|a￿￿) constitute the “transformation matrix” between the twosets of basis states. Similarly for the continuum case,￿p￿￿|F(r)|p￿￿=￿￿p￿￿|F(r)|x￿￿￿x￿|p￿￿d3x￿=￿F(r￿)￿p￿￿|x￿￿￿x￿|p￿￿d3x￿=1(2π¯h)3￿F(r￿)ei(p￿p￿￿)·x￿/¯hd3x￿The angular parts of the integral can be done explicitly.Letqp￿p￿￿define the “z”-direction. Then￿p￿￿|F(r)|p￿￿=2π(2π¯h)3￿dr￿F(r￿)￿π0sinθdθeiqr￿cosθ/¯h=14π2¯h3￿dr￿F(r￿)￿11dμ eiqr￿μ/¯h=14π2¯h3￿dr￿F(r￿) ¯hiqr￿2isin(qr￿/¯h) =12π2¯h2￿dr￿F(r￿)sin(qr￿/¯h)qr￿28.For functionsf(q, p) andg(q, p), whereqandpare conjugate position and momentum,respectively, the Poisson bracket from classical physics is[f, g]classical=fqgpfpgqso[x, F(px)]classical=FpxUsing (1.6.47), then, we have￿x,exp￿ipxa¯h￿￿=i¯h￿x,exp￿ipxa¯h￿￿classical=i¯hpxexp￿ipxa¯h￿=aexp￿ipxa¯h￿To show that exp(ipxa/¯h)|x￿￿is an eigenstate of position, act on it withx. Soxexp￿ipxa¯h￿|x￿￿=￿exp￿ipxa¯h￿xaexp￿ipxa¯h￿￿|x￿￿= (x￿a) exp￿ipxa¯h￿|x￿￿In other words, exp(ipxa/¯h)|x￿￿is an eigenstate ofxwith eigenvaluex￿a.That isexp(ipxa/¯h)|x￿￿is the translation operator withx￿=a, but we knew that. See (1.6.36).29.I wouldn’t say this is “easily derived”, but it is straightforward. ExpressingG(p) as apower series meansG(p) =￿nm￿anm￿pnipmjp￿k. Now[xi, pni] =xipipn1ipnixi=i¯hpn1i+pixipn1ipnixi=2i¯hpn1i+p2ixipn2ipnixi. . .=ni¯hpn1iso[xi, G(p)]=i¯hGpi

Page 13

Solution Manual for Modern Quantum Mechanics, 2nd Edition - Page 13 preview image

Loading page image...

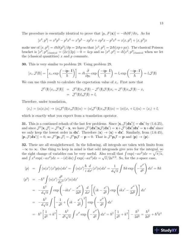
13The procedure is essentially identical to prove that [pi, F(x)] =i¯hF/xi. As for[x2, p2] =x2p2p2x2=x2p2xp2x+xp2xp2x2=x[x, p2] + [x, p2]xmake use of [x, p2] =i¯h(p2)/p= 2i¯hpso that [x2, p2] = 2i¯h(xp+px). The classical Poissonbracket is [x2, p2]classical= (2x)(2p)0 = 4xpand so [x2, p2] =i¯h[x2, p2]classicalwhen we letthe (classical quantities)xandpcommute.30.This is very similar to problem 28. Using problem 29,[xi,J(l)] =￿xi,exp￿ip·l¯h￿￿=i¯hpiexp￿ip·l¯h￿=liexp￿ip·l¯h￿=liJ(l)We can use this result to calculate the expectation value ofxi. First note thatJ(l) [xi,J(l)]=J(l)xiJ(l)J(l)J(l)xi=J(l)xiJ(l)xi=J(l)liJ(l) =liTherefore, under translation,￿xi￿=￿α|xi|α￿ → ￿α|J(l)xiJ(l)|α￿=￿α|J(l)xiJ(l)|α￿=￿α|(xi+li)|α￿=￿xi￿+liwhich is exactly what you expect from a translation operator.31.This is a continued rehash of the last few problems. Since [x,J(dx￿)] =dx￿by (1.6.25),and sinceJ[x,J] =JxJx, we haveJ(dx￿)xJ(dx￿) =x+J(dx￿)dx￿=x+dx￿sincewe only keep the lowest order indx￿. Therefore￿x￿ → ￿x￿+dx￿. Similarly, from (1.6.45),[p,J(dx￿)] = 0, soJ[p,J] =JpJp= 0. That isJpJ=pand￿p￿ → ￿p￿.32.These are all straightforward. In the following, all integrals are taken with limits from−∞to. One thing to keep in mind is that odd integrands give zero for the integral, sothe right change of variables can be very useful. Also recall that￿exp(ax2)dx=￿π/a,and￿x2exp(ax2)dx=(d/da)￿exp(ax2)dx=π/2a3/2. So, for thex-space case,￿p￿=￿￿α|x￿￿￿x￿|p|α￿dx￿=￿￿α|x￿￿¯hiddx￿￿x￿|α￿dx￿=1dπ￿¯hkexp￿x￿2d2￿dx￿= ¯hk￿p2￿=¯h2￿￿α|x￿￿d2dx￿2￿x￿|α￿dx￿=¯h2dπ￿exp￿ikx￿x￿22d2￿ddx￿￿￿ikx￿d2￿exp￿ikx￿x￿22d2￿￿dx￿=¯h2dπ￿￿1d2+￿ikx￿d2￿2￿exp￿x￿2d2￿dx￿=¯h2￿1d2+k2￿¯h2d5π￿x￿2exp￿x￿2d2￿dx￿= ¯h2￿1d2+k2￿¯h22d2=¯h22d2+ ¯h2k2

Page 14

Solution Manual for Modern Quantum Mechanics, 2nd Edition - Page 14 preview image

Loading page image...

14Using instead the momentum space wave function (1.7.42), we have￿p￿=￿￿α|p|p￿￿￿p￿|α￿dp￿=￿p￿|￿p￿|α￿|2dp￿=d¯hπ￿p￿exp￿(p￿¯hk)2d2¯h2￿dp￿=d¯hπ￿(q+ ¯hk) exp￿q2d2¯h2￿dq= ¯hk￿p2￿=d¯hπ￿(q+ ¯hk)2exp￿q2d2¯h2￿dq=d¯hππ2¯h3d3+ (¯hk)2=¯h22d2+ ¯h2k233.I can’t help but think this problem can be done by creating a “momentum translation”operator, but instead I will follow the original solution manual.This approach uses theposition space representation and Fourier transform to arrive the answer. Start with￿p￿|x|p￿￿￿=￿￿p￿|x|x￿￿￿x￿|p￿￿￿dx￿=￿x￿￿p￿|x￿￿￿x￿|p￿￿￿dx￿=12π¯h￿x￿exp￿i(p￿p￿￿)·x￿¯h￿dx￿=ip￿12π￿exp￿i(p￿p￿￿)·x￿¯h￿dx￿=i¯hp￿δ(p￿p￿￿)Now find￿p￿|x|α￿by inserting a complete set of states|p￿￿￿, that is￿p￿|x|α￿=￿￿p￿|x|p￿￿￿￿p￿￿|α￿dp￿￿=i¯hp￿￿δ(p￿p￿￿)￿p￿￿|α￿dp￿￿=i¯hp￿￿p￿|α￿Given this, the next expression is simple to prove, namely￿β|x|α￿=￿dp￿￿β|p￿￿￿p￿|x|α￿=￿dp￿φβ(p￿)i¯hp￿φα(p￿)using the standard definitionφγ(p￿)≡ ￿p￿|γ￿.Certainly the operatorT(Ξ)exp(ixΞ/¯h) looks like a momentum translation operator. So,we should try to work outpT(Ξ)|p￿￿=pexp(ixΞ/¯h)|p￿￿and see if we get|p￿+Ξ￿. Take alesson from problem 28, and make use of the result from problem 29, and we havepT(Ξ)|p￿￿={T(Ξ)p+ [p,T(Ξ)]}|p￿￿=￿p￿T(Ξ)i¯hxT(Ξ)￿|p￿￿= (p￿+Ξ)T(Ξ)|p￿￿and, indeed,T(Ξ)|p￿￿is an eigenstate ofpwith eigenvaluep￿+Ξ. In fact, this could havebeen done first, and then write down the translation operator for infinitesimal momenta, andderive the expression for￿p￿|x|α￿the same way as done in the text for infinitesimal spacialtranslations. (I like this way of wording the problem, and maybe it will be changed in thenext edition.)

Page 15

Solution Manual for Modern Quantum Mechanics, 2nd Edition - Page 15 preview image

Loading page image...

15Chapter Two1.The equation of motion for an operator in the Heisenberg picture is given by (2.2.19), so˙Sx= 1i¯h[Sx, H] =1i¯heBmc[Sx, Sz] =eBmcSy˙Sy=eBmcSx˙Sz= 0and ¨Sx,y=ω2Sx,yforωeB/mc. ThusSxandSyare sinusoidal with frequencyωandSzis a constant.2.The Hamiltonian is not Hermitian, so the time evolution operator will not be unitary, andprobability will not be conserved as a state evolves in time. As suggested, setH11=H22= 0.ThenH=a|1￿￿2|in which caseH2=a2|1￿￿2|1￿￿1|= 0. SinceHis time-independent,U(t) = exp￿i¯hHt￿= 1i¯hHt= 1i¯hat|1￿￿2|even for finite timest. Thus a state|α, t￿ ≡U(t)|2￿=|2￿ −(iat/¯h)|1￿has a time-dependentnorm. Indeed￿α|α￿= 1 +a2t2/¯h2which is nonsense. In words, it says that if you start outin the state|2￿, then the probability of finding the system in this state is unity att= 0 andthen grows with time. You can be more formal, and talk about an initial statec1|1￿+c2|2￿,but the bottom line is the same; probability is no longer conserved in time.3.We have ˆn= sinβˆx+ cosβˆzandS.= (¯h/2)σ, soS·n.= (¯h/2)(sinβσx+ cosβσz) andwe want to solve the matrix equationS·nψ= (¯h/2)ψin order to find the initial statecolumn vectorψ. This is, once again, a problem whose solution best makes use of the Paulimatrices, which are not introduced until Section 3.2. On the other hand, we can also makeuse of Problem 1.9 to write down the initial state. Either way, we find|α, t= 0￿=cos￿β2￿|+￿+ sin￿β2￿|−￿so,|α, t￿=exp￿i¯heBmctSz￿|α, t= 0￿=eiωt/2cos￿β2￿|+￿+eiωt/2sin￿β2￿|−￿forωeB/mc. From (1.4.17a), the state|Sx; +￿= (1/2)|+￿+ (1/2)|−￿, so|￿Sx; +|α, t￿|2=￿￿￿￿12eiωt/2cos￿β2￿+12eiωt/2sin￿β2￿￿￿￿￿2=12 cos2￿β2￿+ 12￿eiωt+eiωt￿cos￿β2￿sin￿β2￿+ 12 sin2￿β2￿=12 + 12 cos(ωt) sinβ= 12(1 + sinβcosωt)which makes sense. Forβ= 0, the initial state is az-eigenket, and there is no precession,so you just get 1/2 for the probability of measuringSxin the positive direction. The same

Page 16

Solution Manual for Modern Quantum Mechanics, 2nd Edition - Page 16 preview image

Loading page image...

16works out forβ=π. Forβ=π/2, the initial state is|Sx; +￿so the probabilty is +1 att= 0and 0 att=π/ω=T /2. Now from (1.4.18a),Sx= (¯h/2)[|+￿￿−|+|−￿￿+|], so￿α, t|Sx|α, t￿=￿eiωt/2cos￿β2￿￿+|+eiωt/2sin￿β2￿￿−|￿¯h2￿eiωt/2sin￿β2￿|+￿+eiωt/2cos￿β2￿|−￿￿=¯h2 sin￿β2￿cos￿β2￿ ￿eiωt+eωt￿= ¯h2 sinβcosωtAgain, this makes perfect sense. The expectation value is zero forβ= 0 andβ=π, but forβ=π/2, you get the classical precession of a vector that lies in thexy-plane.4.First, restating equations from the textbook,|νe￿=cosθ|ν1￿ −sinθ|ν2￿|νμ￿=sinθ|ν1￿+ cosθ|ν2￿andE=pc￿1 +m2c22p2￿Now, let the initial state|νe￿evolve in time to become a state|α, t￿in the usual fashion|α, t￿=eiHt/¯h|νe￿=cosθeiE1t/¯h|ν1￿ −sinθeiE2t/¯h|ν2￿=eipct/¯h￿eim21c3t/2p¯hcosθ|ν1￿ −eim22c3t/2p¯hsinθ|ν2￿￿The probability that this state is observed to be a|νe￿isP(νeνe) =|￿νe|α, t￿|2=￿￿￿eim21c3t/2p¯hcos2θ+eim22c3t/2p¯hsin2θ￿￿￿2=￿￿￿cos2θ+eim2c3t/2p¯hsin2θ￿￿￿2=cos4θ+ sin4θ+ 2 cos2θsin2θcos￿m2c3t2p¯h￿=1sin22θsin2￿m2c3t4p¯h￿Writing the nominal neutrino energy asE=pcand the flight distanceL=ctwe haveP(νeνe) = 1sin22θsin2￿m2c4L4E¯hc￿It is quite customary to ignore the factor ofc4and agree to measure mass in units of energy,typically eV.
Preview Mode

This document has 112 pages. Sign in to access the full document!

Study Now!

XY-Copilot AI
Unlimited Access
Secure Payment
Instant Access
24/7 Support
Document Chat

Document Details

Subject
Physics

Related Documents

View all