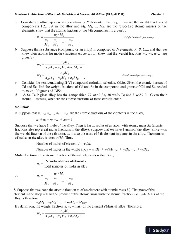
Page 1

Loading page ...
Gain in-depth subject knowledge with Solution Manual for Principles Of Electronic Materials And Devices, 4th Edition, a must-have textbook companion.

Loading page ...
This document has 648 pages. Sign in to access the full document!