STAT 3001 Week 5 Project: Chi-Square Goodness-of-Fit and Independence Tests

Project on chi-square tests.

Chloe Martinez
Contributor
4.8
34
5 months ago
Preview (3 of 8 Pages)
100%
Purchase to unlock

Page 1

STAT 3001 Week 5 Project: Chi-Square Goodness-of-Fit and Independence Tests - Page 1 preview image

Loading page image...

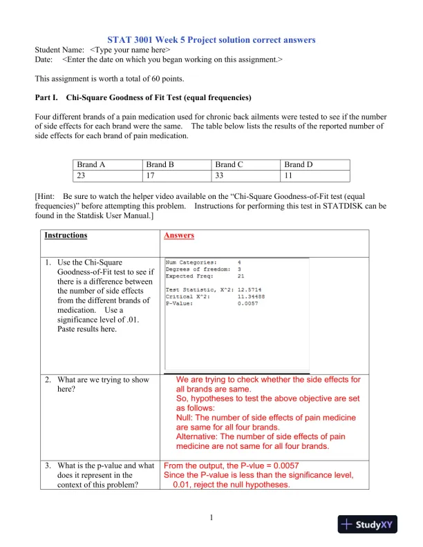
1STAT 3001 Week5Project solution correct answersStudent Name:<Type your name here>Date:<Enter the date on which you began working on this assignment.>This assignment is worth a total of 60 points.Part I.Chi-Square Goodness of Fit Test(equal frequencies)Four different brands of a pain medication used for chronic back ailments were tested to see if the numberof side effects for each brand were the same.The table below lists the results of the reported number ofside effects for each brand of pain medication.Brand ABrand BBrand CBrand D23173311[Hint:Be sure to watch the helper video available on the “Chi-Square Goodness-of-Fit test (equalfrequencies)” before attempting this problem.Instructions for performing this test in STATDISK can befound in the Statdisk User Manual.]InstructionsAnswers1.Use the Chi-SquareGoodness-of-Fit test to see ifthere is a difference betweenthe number of side effectsfrom the different brands ofmedication.Use asignificance level of .01.Paste results here.2.What are we trying to showhere?We are trying to check whether the side effects forall brands are same.So, hypotheses to test the above objective are setas follows:Null: The number of side effects of pain medicineare same for all four brands.Alternative: The number of side effects of painmedicine are not same for all four brands.3.What is the p-value and whatdoes it represent in thecontext of this problem?From the output, the P-vlue = 0.0057Since the P-value is less than the significance level,0.01, reject the null hypotheses.

Page 2

STAT 3001 Week 5 Project: Chi-Square Goodness-of-Fit and Independence Tests - Page 2 preview image

Loading page image...

Page 3

STAT 3001 Week 5 Project: Chi-Square Goodness-of-Fit and Independence Tests - Page 3 preview image

Loading page image...

24.State in your own wordswhat the results of thisGoodness-of-fit test tells us.Hence, it can be concluded that there is not sufficientevidence to support theclaim that the number of sideeffects are not same for all medicines.5.Repeat the above procedureusing only Brands A, B, andD.Paste results here.6.Do you get a different result?Yes, the results in this case are completely differentcompared to previous conclusion.In this case, the P-value is 0.1203 which is higher thanthe significance level. Therefore, do not reject the nullhypothesis.Hence, it can be concluded that there is sufficientevidence to support the claim that the number of sideeffects are same for all medicines
Preview Mode

This document has 8 pages. Sign in to access the full document!

Study Now!

XY-Copilot AI
Unlimited Access
Secure Payment
Instant Access
24/7 Support
Document Chat

Document Details

Related Documents

View all