Page 1

Loading page image...
Page 2

Loading page image...
Page 3

Loading page image...
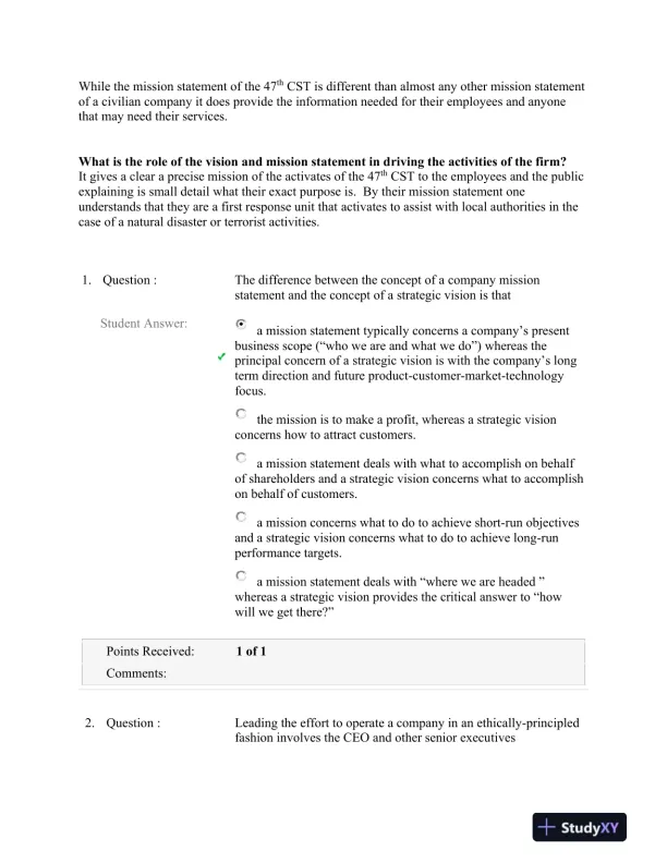
Exploration of how mission and vision shape business strategy and growth.
Loading page image...
Loading page image...
Loading page image...
This document has 7 pages. Sign in to access the full document!