DSP First 2nd Edition Solution Manual

Stay on top of your textbook work with DSP First 2nd Edition Solution Manual, a guide offering complete solutions for every exercise.

Isaac Lee
Contributor
4.6
57
5 months ago
Preview (16 of 263 Pages)
100%
Purchase to unlock

Page 1

DSP First 2nd Edition Solution Manual - Page 1 preview image

Loading page image...

Chapter2Sinusoids2-1Problem Solutions1

Page 2

DSP First 2nd Edition Solution Manual - Page 2 preview image

Loading page image...

Page 3

DSP First 2nd Edition Solution Manual - Page 3 preview image

Loading page image...

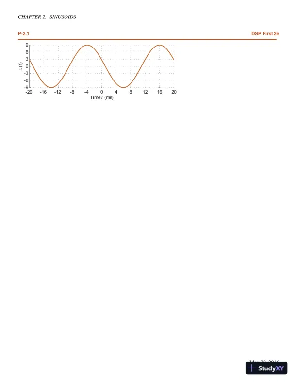
CHAPTER 2.SINUSOIDSP-2.1DSP First 2e-20-16-12-8-4048121620-9-6-30369Timet(ms)x.t/May 20, 2016

Page 4

DSP First 2nd Edition Solution Manual - Page 4 preview image

Loading page image...

CHAPTER 2.SINUSOIDSP-2.2DSP First 2eIn the plot the period can be measured,T=12.5msω0=2π/(12.5×103)=2π(80)rad.Positive peak closest tot=0is att1=2.5msϕ=2π(2.5×103)/(12.5×103)=2π/5=0.4πrad.Amplitude isA=8.x(t)=8 cos(160πt0.4π)May 20, 2016

Page 5

DSP First 2nd Edition Solution Manual - Page 5 preview image

Loading page image...

CHAPTER 2.SINUSOIDSP-2.3DSP First 2e(a) Plot ofcosθ0-1-0.500.51(rad)cos3232(b) Plot ofcos(20πt)-0.1-0.08-0.06-0.04-0.0200.020.040.060.080.1-1-0.500.51Timet(s)cos.20 t/(c) Plot ofcos(2π/T0+π/2)0-1-0.500.51Timet(s)x.t/T03T0=4T0=2T0=4T0=4T0=23T0=4T0May 20, 2016

Page 6

DSP First 2nd Edition Solution Manual - Page 6 preview image

Loading page image...

CHAPTER 2.SINUSOIDSP-2.4DSP First 2eejθ=1+jθ+(jθ)22!+(jθ)33!+(jθ)44!+(jθ)55!+· · ·=1+jθθ22!jθ33!+θ44!+jθ55!+· · ·=(1θ22!+θ44!− · · ·)︷︷cosθ+j(θθ33!+θ55!+· · ·)︷︷sinθThus,ejθ=cosθ+jsinθMay 20, 2016

Page 7

DSP First 2nd Edition Solution Manual - Page 7 preview image

Loading page image...

CHAPTER 2.SINUSOIDSP-2.5DSP First 2e(a) Real part of complex exponential is cosine.cos(θ1+θ2)=<{ej(θ1+θ2)}=<{ejθ1ejθ2}=< {(cosθ1+jsinθ1)(cosθ2+jsinθ2)}=< {(cosθ1cosθ2sinθ1sinθ2)+j(sinθ1cosθ2+cosθ1sinθ2)}cos(θ1+θ2)=cosθ1cosθ2sinθ1sinθ2(b) Change the sign ofθ2.cos(θ1θ2)=<{ej(θ1θ2)}=<{ejθ1ejθ2}=< {(cosθ1+jsinθ1)(cosθ2jsinθ2)}=< {(cosθ1cosθ2+sinθ1sinθ2)+j(sinθ1cosθ2cosθ1sinθ2)}cos(θ1θ2)=cosθ1cosθ2+sinθ1sinθ2May 20, 2016

Page 8

DSP First 2nd Edition Solution Manual - Page 8 preview image

Loading page image...

CHAPTER 2.SINUSOIDSP-2.6DSP First 2e(cosθ+jsinθ)n=(ejθ)n=ejnθ=cos(nθ)+jsin(nθ)(35+j45)n=(ej0.927)100=(ej0.295167π)100=ej29.5167π=ej1.5167π*1ej28π=cos(1.5167)+jsin(1.5167)=0.0525j0.9986May 20, 2016

Page 9

DSP First 2nd Edition Solution Manual - Page 9 preview image

Loading page image...

CHAPTER 2.SINUSOIDSP-2.7DSP First 2e(a)3ejπ/3+4ejπ/6=5ej0.12=4.9641+j0.5981(b)(3j3)10=(12ejπ/3)10=248,832ej10π/3︷︷e+j2π /3=124,416+j215,494.83(c)(3j3)1=(12ejπ/3)1=(1/12)e+jπ/3=0.2887e+jπ/3=0.14434+j0.25(d)(3j3)1/3=(12ejπ/3ej2π`)1/3=((12)1/6ejπ/9ej2π`/3)for`=0,1,2.There are 3 answers:1.513ejπ/9=1.422j0.51751.513ej7π/9=1.159j0.97261.513ej13π/9=1.513e+j5π/9=0.2627+j1.49(e)<{jejπ/3}=<{ejπ/2ejπ/3}=<{ejπ/6}=cos(π/6)=3/2=0.866May 20, 2016

Page 10

DSP First 2nd Edition Solution Manual - Page 10 preview image

Loading page image...

CHAPTER 2.SINUSOIDSP-2.8DSP First 2eThe variablezzdefinesz(t), andxxdefinesx(t)=<{z(t)}.z(t)=15ej(2π(7)(t+0.875))x(t)=15 cos(2π(7)(t+0.875))The period ofx(t)is1/7=0.1429, so the time interval0.15t0.15is(0.3)(7)=2.1periods.There will be positive peaks of the cosine wave att=0.1607s andt=0.0179s.May 20, 2016

Page 11

DSP First 2nd Edition Solution Manual - Page 11 preview image

Loading page image...

CHAPTER 2.SINUSOIDSP-2.9DSP First 2eA=9T=8×103sω0=2000π/8=250πrad/st1=3×103sϕ=2π(3/8)=3π/4radz(t)=9ej(250πt+0.75π),X=9ej0.75π, andx(t)=9 cos(250πt+0.75π)May 20, 2016

Page 12

DSP First 2nd Edition Solution Manual - Page 12 preview image

Loading page image...

CHAPTER 2.SINUSOIDSP-2.10DSP First 2e(a) Add complex amps:3ej2π/3+1=2.646ej1.761x(t)=2.646 cos(ω0t1.761)(b)x(t)=<{z(t)}=<{2.646ej1.761ejω0t}May 20, 2016

Page 13

DSP First 2nd Edition Solution Manual - Page 13 preview image

Loading page image...

CHAPTER 2.SINUSOIDSP-2.11DSP First 2eAdd complex amps:ejπ+ejπ/3+2ejπ/3=ejπ+ejπ/3+ejπ/3︷︷=0+ejπ/3=ejπ/3x(t)=cos(ωtπ/3)Here is theMatlabplot of the vectors.May 20, 2016

Page 14

DSP First 2nd Edition Solution Manual - Page 14 preview image

Loading page image...

CHAPTER 2.SINUSOIDSP-2.12DSP First 2eFind angles satisfyingπ < θπ; all others are obtained by adding integer multiples of2π.<{(1+j)ejθ}=0<{2ejπ/4ejθ}=0<{2ej(θ+π/4)}=02 cos(θ+π/4)=0θ+π/4=π/2π/2θ=π/43π/4ejθ=(1+j)/2(1j)/2May 20, 2016

Page 15

DSP First 2nd Edition Solution Manual - Page 15 preview image

Loading page image...

CHAPTER 2.SINUSOIDSP-2.13DSP First 2eThree periods of the signal will be3(1/250)=12ms.(a) Plotsi(t)=<{j s(t)}=<{0.8ejπ/2ejπ/4ej500πt}=0.8 cos(2π(250)t+3π/4).-3-2-101234-6-5-4-0.8-0.400.40.8Timet(ms)si.t/(b) Plotq(t)=<{ddts(t)}=<{0.8ejπ/4(j500π)ej500πt}=<{400πej3π/4ej500πt}=400πcos(500πt+3π/4)-3-2-101234-6-5-4-1200-800-40004008001200Timet(ms)q.t/May 20, 2016

Page 16

DSP First 2nd Edition Solution Manual - Page 16 preview image

Loading page image...

CHAPTER 2.SINUSOIDSP-2.14DSP First 2e(a) Ifz1(t)=5ejπ/3ej7tthenx1(t)=<{z1(t)}.(b) Ifz2(t)=5ejπej7tthenx2(t)=<{z2(t)}.(c) Ifz(t)=z1(t)+z2(t)=5ej7t(ejπ/3+ejπ)=5ej2π/3ej7t, thenx(t)=<{z(t)}=5 cos(7t2π/3).May 20, 2016
Preview Mode

This document has 263 pages. Sign in to access the full document!

Study Now!

XY-Copilot AI
Unlimited Access
Secure Payment
Instant Access
24/7 Support
Document Chat

Document Details

Related Documents

View all