Solution Manual For Digital Signal Processing, 4th Edition

Solution Manual For Digital Signal Processing, 4th Edition makes solving textbook exercises easier with step-by-step solutions and helpful tips.

Sarah Anderson
Contributor
4.4
51
5 months ago
Preview (16 of 427 Pages)
100%
Purchase to unlock

Page 1

Solution Manual For Digital Signal Processing, 4th Edition - Page 1 preview image

Loading page image...

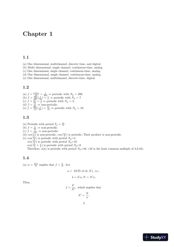
Chapter 11.1(a) One dimensional, multichannel, discrete time, and digital.(b) Multi dimensional, single channel, continuous-time, analog.(c) One dimensional, single channel, continuous-time, analog.(d) One dimensional, single channel, continuous-time, analog.(e) One dimensional, multichannel, discrete-time, digital.1.2(a)f=0.01π2π=1200periodic withNp= 200.(b)f=30π105(12π) =17periodic withNp= 7.(c)f=3π2π=32periodic withNp= 2.(d)f=32πnon-periodic.(e)f=62π10(12π) =3110periodic withNp= 10.1.3(a) Periodic with periodTp=2π5.(b)f=52πnon-periodic.(c)f=112πnon-periodic.(d)cos(n8) is non-periodic;cos(πn8) is periodic; Their product is non-periodic.(e)cos(πn2) is periodic with periodNp=4sin(πn8) is periodic with periodNp=16cos(πn4+π3) is periodic with periodNp=8Therefore, x(n) is periodic with periodNp=16. (16 is the least common multiple of 4,8,16).1.4(a)w=2πkNimplies thatf=kN. Letα=GCD of (k, N),i.e.,k=kα, N=Nα.Then,f=kN,which implies thatN=Nα .3

Page 2

Solution Manual For Digital Signal Processing, 4th Edition - Page 2 preview image

Loading page image...

Page 3

Solution Manual For Digital Signal Processing, 4th Edition - Page 3 preview image

Loading page image...

(b)N=7k=0 1 2 3 4 5 6 7GCD(k, N)=7 1 1 1 1 1 1 7Np=1 7 7 7 7 7 7 1(c)N=16k=0 1 2 3 4 5 6 7 8 9 10 11 12. . .16GCD(k, N)=16 1 2 1 4 1 2 1 8 1 2 1 4. . .16Np=1 6 8 16 4 16 8 16 2 16 8 16 4. . .11.5(a) Refer to fig 1.5-1(b)051015202530−3−2−10123−−−> t (ms)−−−> xa(t)Figure 1.5-1:x(n)=xa(nT)=xa(n/Fs)=3sin(πn/3)f=12π(π3 )=16, Np= 64

Page 4

Solution Manual For Digital Signal Processing, 4th Edition - Page 4 preview image

Loading page image...

01020t (ms)3−3Figure 1.5-2:(c)Refer to fig 1.5-2x(n) ={0,32,32,0,32,32}, Np= 6.(d) Yes.x(1) = 3 = 3sin( 100πFs)Fs= 200 samples/sec.1.6(a)x(n)=Acos(2πF0n/Fs+θ)=Acos(2π(T /Tp)n+θ)ButT /Tp=fx(n) is periodic if f is rational.(b) If x(n) is periodic, then f=k/N where N is the period. Then,Td= (kf T) =k(TpT)T=kTp.Thus, it takes k periods (kTp) of the analog signal to make 1 period (Td) of the discrete signal.(c)Td=kTpN T=kTpf=k/N=T /Tpf is rationalx(n) is periodic.1.7(a)Fmax = 10kHzFs2Fmax = 20kHz.(b) ForFs= 8kHz, Ffold =Fs/2 = 4kHz5kHzwill alias to 3kHz.(c) F=9kHz will alias to 1kHz.1.8(a)Fmax = 100kHz, Fs2Fmax = 200Hz.(b)Ffold =Fs2= 125Hz.5

Page 5

Solution Manual For Digital Signal Processing, 4th Edition - Page 5 preview image

Loading page image...

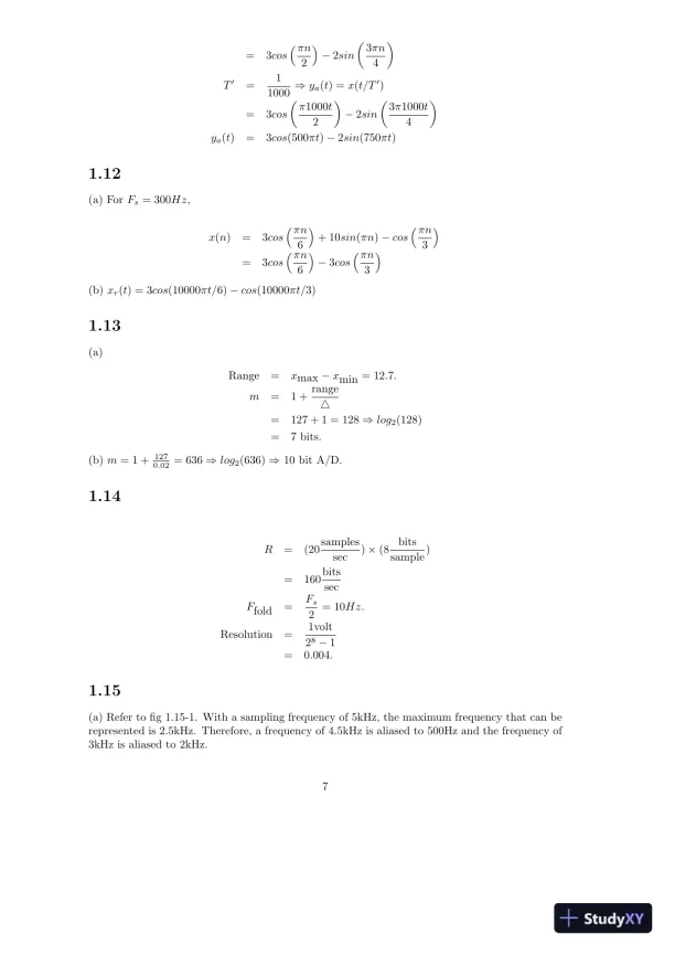
1.9(a)Fmax = 360Hz, FN= 2Fmax = 720Hz.(b)Ffold =Fs2= 300Hz.(c)x(n)=xa(nT)=xa(n/Fs)=sin(480πn/600) + 3sin(720πn/600)x(n)=sin(4πn/5)3sin(4πn/5)=2sin(4πn/5).Therefore,w= 4π/5.(d)ya(t) =x(Fst) =2sin(480πt).1.10(a)Number of bits/sample=log21024 = 10.Fs=[10,000 bits/sec][10 bits/sample]=1000 samples/sec.Ffold=500Hz.(b)Fmax=1800π2π=900HzFN=2Fmax = 1800Hz.(c)f1=600π2π( 1Fs)=0.3;f2=1800π2π( 1Fs)=0.9;Butf2=0.9>0.5f2= 0.1.Hence,x(n)=3cos[(2π)(0.3)n] + 2cos[(2π)(0.1)n](d)=xmaxxminm1=5(5)1023=101023.1.11x(n)=xa(nT)=3cos(100πn200)+ 2sin(250πn200)6

Page 6

Solution Manual For Digital Signal Processing, 4th Edition - Page 6 preview image

Loading page image...

=3cos(πn2)2sin(3πn4)T=11000ya(t) =x(t/T)=3cos(π1000t2)2sin(3π1000t4)ya(t)=3cos(500πt)2sin(750πt)1.12(a) ForFs= 300Hz,x(n)=3cos(πn6)+ 10sin(πn)cos(πn3)=3cos(πn6)3cos(πn3)(b)xr(t) = 3cos(10000πt/6)cos(10000πt/3)1.13(a)Range=xmaxxmin = 12.7.m=1 + range=127 + 1 = 128log2(128)=7 bits.(b)m= 1 +1270.02= 636log2(636)10 bit A/D.1.14R=(20 samplessec)×(8bitssample )=160 bitssecFfold=Fs2= 10Hz.Resolution=1volt281=0.004.1.15(a) Refer to fig 1.15-1. With a sampling frequency of 5kHz, the maximum frequency that can berepresented is 2.5kHz. Therefore, a frequency of 4.5kHz is aliased to 500Hz and the frequency of3kHz is aliased to 2kHz.7

Page 7

Solution Manual For Digital Signal Processing, 4th Edition - Page 7 preview image

Loading page image...

050100−1−0.500.51Fs = 5KHz, F0=500Hz050100−1−0.500.51Fs = 5KHz, F0=2000Hz050100−1−0.500.51Fs = 5KHz, F0=3000Hz050100−1−0.500.51Fs = 5KHz, F0=4500HzFigure 1.15-1:(b) Refer to fig 1.15-2.y(n) is a sinusoidal signal.By taking the even numbered samples, thesampling frequency is reduced to half i.e., 25kHz which is still greater than the nyquist rate. Thefrequency of the downsampled signal is 2kHz.1.16(a) for levels = 64, using truncation refer to fig 1.16-1.for levels = 128, using truncation refer to fig 1.16-2.for levels = 256, using truncation refer to fig 1.16-3.8

Page 8

Solution Manual For Digital Signal Processing, 4th Edition - Page 8 preview image

Loading page image...

0102030405060708090100−1−0.500.51F0 = 2KHz, Fs=50kHz05101520253035404550−1−0.500.51F0 = 2KHz, Fs=25kHzFigure 1.15-2:050100150200−1−0.500.51levels = 64, using truncation, SQNR = 31.3341dB−−> n−−> x(n)050100150200−1−0.500.51−−> n−−> xq(n)050100150200−0.04−0.03−0.02−0.010−−> n−−> e(n)Figure 1.16-1:9

Page 9

Solution Manual For Digital Signal Processing, 4th Edition - Page 9 preview image

Loading page image...

050100150200−1−0.500.51levels = 128, using truncation, SQNR = 37.359dB−−> n−−> x(n)050100150200−1−0.500.51−−> n−−> xq(n)050100150200−0.02−0.015−0.01−0.0050−−> n−−> e(n)Figure 1.16-2:050100150200−1−0.500.51levels = 256, using truncation, SQNR=43.7739dB−−> n−−> x(n)050100150200−1−0.500.51−−> n−−> xq(n)050100150200−8−6−4−20 x 10−3−−> n−−> e(n)Figure 1.16-3:10

Page 10

Solution Manual For Digital Signal Processing, 4th Edition - Page 10 preview image

Loading page image...

(b) for levels = 64, using rounding refer to fig 1.16-4.for levels = 128, using rounding refer to fig 1.16-5.for levels = 256, using rounding refer to fig 1.16-6.050100150200−1−0.500.51levels = 64, using rounding, SQNR=32.754dB−−> n−−> x(n)050100150200−1−0.500.51−−> n−−> xq(n)050100150200−0.04−0.0200.020.04−−> n−−> e(n)Figure 1.16-4:11

Page 11

Solution Manual For Digital Signal Processing, 4th Edition - Page 11 preview image

Loading page image...

050100150200−1−0.500.51levels = 128, using rounding, SQNR=39.2008dB−−> n−−> x(n)050100150200−1−0.500.51−−> n−−> xq(n)050100150200−0.02−0.0100.010.02−−> n−−> e(n)Figure 1.16-5:050100150200−1−0.500.51levels = 256, using rounding, SQNR=44.0353dB−−> n−−> x(n)050100150200−1−0.500.51−−> n−−> xq(n)050100150200−0.01−0.00500.0050.01−−> n−−> e(n)Figure 1.16-6:12

Page 12

Solution Manual For Digital Signal Processing, 4th Edition - Page 12 preview image

Loading page image...

(c) The sqnr with rounding is greater than with truncation. But the sqnr improves as the numberof quantization levels are increased.(d)levels64128256theoretical sqnr43.900049.920055.9400sqnr with truncation31.334137.35943.7739sqnr with rounding32.75439.200844.0353The theoretical sqnr is given in the table above. It can be seen that theoretical sqnr is muchhigher than those obtained by simulations. The decrease in the sqnr is because of the truncationand rounding.13

Page 13

Solution Manual For Digital Signal Processing, 4th Edition - Page 13 preview image

Loading page image...

14

Page 14

Solution Manual For Digital Signal Processing, 4th Edition - Page 14 preview image

Loading page image...

Chapter 1010.1(a) To obtain the desired length of 25, a delay of2512= 12 is incorporated intoHd(w). Hence,Hd(w)=1ej12w,0≤ |w| ≤π6=0,otherwisehd(n)=12ππ6π6Hd(w)ejwndw=sinπ6(n12)π(n12)Then,h(n)=hd(n)w(n)wherew(n) is a rectangular window of lengthN= 25.(b)H(w) =24n=0h(n)ejwnplot|H(w)|and6H(w). Refer to fig 10.1-1.(c) Hamming window:w(n)=(0.540.46cos 12 )h(n)=hd(n)w(n)for 0n24Refer to fig 10.1-2.303

Page 15

Solution Manual For Digital Signal Processing, 4th Edition - Page 15 preview image

Loading page image...

00.050.10.150.20.250.30.350.40.450.5−150−100−50050−−−> Freq(Hz)−−−> mag(dB)00.050.10.150.20.250.30.350.40.450.5−4−2024−−−> Freq(Hz)−−−> phaseFigure 10.1-1:00.050.10.150.20.250.30.350.40.450.5−150−100−50050−−−> Freq(Hz)−−−> mag(dB)00.050.10.150.20.250.30.350.40.450.5−4−2024−−−> Freq(Hz)−−−> phaseFigure 10.1-2:304

Page 16

Solution Manual For Digital Signal Processing, 4th Edition - Page 16 preview image

Loading page image...

(d) Bartlett window:w(n)=12(n12)240n24Refer to fig 10.1-3.00.050.10.150.20.250.30.350.40.450.5−50−40−30−20−100−−−> Freq(Hz)−−−> mag(dB)00.050.10.150.20.250.30.350.40.450.5−4−2024−−−> Freq(Hz)−−−> phaseFigure 10.1-3:10.2(a)Hd(w)=1ej12w,|w| ≤π6,π3≤ |w| ≤π=0, π6≤ |w| ≤π3hd(n)=12πππHd(w)ejwndw=δ(n)sinπ3(n12)π(n12)+sinπ6(n12)π(n12)(b) Rectangular window:w(n)=1,0n24=0,otherwise305
Preview Mode

This document has 427 pages. Sign in to access the full document!

Study Now!

XY-Copilot AI
Unlimited Access
Secure Payment
Instant Access
24/7 Support
Document Chat

Document Details

Related Documents

View all