Solution Manual for Introduction to Nuclear Engineering, 4th Edition

Get the textbook answers you need with Solution Manual for Introduction to Nuclear Engineering, 4th Edition, a solutions manual packed with clear and concise explanations.

Emma Adams
Contributor
4.3
45
5 months ago
Preview (16 of 154 Pages)
100%
Purchase to unlock

Page 1

Solution Manual for Introduction to Nuclear Engineering, 4th Edition - Page 1 preview image

Loading page image...

Chapter2

Page 2

Solution Manual for Introduction to Nuclear Engineering, 4th Edition - Page 2 preview image

Loading page image...

DownloadedfromStudyXY.com®+StudyXYSdYe.o>\|iFprE\3SStudyAnythingThisContentHasbeenPostedOnStudyXY.comassupplementarylearningmaterial.StudyXYdoesnotendroseanyuniversity,collegeorpublisher.Allmaterialspostedareundertheliabilityofthecontributors.wv8)www.studyxy.com

Page 3

Solution Manual for Introduction to Nuclear Engineering, 4th Edition - Page 3 preview image

Loading page image...

B1.Howmanyneutronsandprotonsarethereinthenucleiofthefollowingatoms:(a)"Li,fooe(d)Bi,(e)Rn?CWENh)BR,N=-1350)2esHN=81;(&)2=03,NM=/34,(e)Z=54,N=136.ngS2/18SuleaudLoxToimeCeri)x2.6022x10=o.S22%10°%hou.-_—TmeaeteHemsloiliii.gurkinaieWHWYonWYand4%.=z20)andpz)HMJackinJtantlysecuisiiqKydigpueHorGilfraLageVolosofLyin,:FrachsiHatAea)<<Ax91)=(0.99985)%=0.9997=99.97%.Hofrocks.wirdwept4oiA)xora)~225x852,250%.adgpdr3CanZeJrmat<iFrwage.MeJackin73<iM2)o7R)+272)97)=RXV)=AX0,999F5x0,0004S=Zpaxrn¥=6.03%.NaseMakfefrockMatFrntDprbevctonwpbofelo2,3,004uiYE)30)#282)=(or)272)%=.

Page 4

Solution Manual for Introduction to Nuclear Engineering, 4th Edition - Page 4 preview image

Loading page image...

7.Abeakercontains50gofordinary(i.e.,naturallyoccurring)water.(a)Howmanymolesofwaterarepresent?.(b)Howmanyhydrogenatoms?(c)Howmanydeuteriumatoms?@)NumdewFdInploas=53/08.005=2,7s#)Ab.7Welw=2.7]4p=167)x106%FHormeRow9Hderyusliosls,2s7.2themeofH=2X167010033.3¢2x02©"of3aMown=fxnFx3.3¢ax07F=57013x107°—_—a9.Computethemassofaprotoninamu.7“Massoffret=/67265x5-a7Ccamu=7+Llox7x/0As.Maina.affritBeamu—2(ama)=[.L72L5k/0Ks.11CL08x10"2fsfang,=[0073ame11.Showthat1amuisnumericallyequaltothereciprocalofAvogadro'snumber.:Ansgostermandi,6022pp?!/_2622570tomasJTS=JllosyYk

Page 5

Solution Manual for Introduction to Nuclear Engineering, 4th Edition - Page 5 preview image

Loading page image...

13.UsingEq.(2.3),estimatethedensityofnuclearmattering/om®;inKg/m?.Takethemassofeachnucleontobeapproximately1.5x10-2g._Yrp3.¢-13)3V=4rR3<£7(lasx0VA.2.3x00epfo}Vr(25)3autHescodently43x0ay.¥,3=2XLA2"%"=1.94x10[2738ryexsawelJ=LGex10%Ayfy®15.Thecompletecombustionof1kgofbituminouscoalreleasesabout3x107Jinheatenergy.Theconversionof1gofmassintoenergyisequivalenttotheburningofhow‘muchcoal?!gadompotrmVoIx(3x07)%=9xer=Go’jrutes.pomTak.T..8,.)T=9428x007Btu.fue8~9x39.478Xx007%=$530x10/0Blu.Mi2Moeatse-Lael8.530,00"Y/13000x3000=3380LowerofCoat.17.Computethencutron—protonmassdifferenceinMeV.CoUsuiypalisefirms7thZl,8M=MpMp=oC0$665~1.00777]=0.00/38Crus.sence(amar=93149)MeVdM=0.001388x931.48/=1.293Mal.mometee.SC©eR

Page 6

Solution Manual for Introduction to Nuclear Engineering, 4th Edition - Page 6 preview image

Loading page image...

19.DeriveEq.(2.18).[Hint:SquarebothsidesofEq.(2.5)andsolveformu.)h(rome%.(a.s).YomE——\1-v%et»z_Ho.1-Yc?me=metmet2z»BotmesGp,pe’EppautMVE,He,JYSEz_27:&yShp"Cuat:21.UsingtheresultderivedinProblem2.20,calculatethespeedofa1-MeVelectron,onewithakineticenergyof1MeV.Phbwick,Et=0-SI/Y,BudSfbpaticbutspy<a11064]MewGp457)10Y,Browsfad.2.44,:vefi-e=)=0.9¢/¢=2.83x10eassfonc.xeN¢=AEIRKIC23.ShowthatthewavelengthofarelativisticparticleisgivenbyAdelJE2y—ElywhereAc=h/m,c=2.426x10~'°cmiscalledtheComptonwavelength.©PomG-(2.19),yeXeAmetNer-evc72CTER<p=\&-c=Et=GutStudy

Page 7

Solution Manual for Introduction to Nuclear Engineering, 4th Edition - Page 7 preview image

Loading page image...

25.Anelectronmoveswithakineticenergyequaltoitsrest-massenergy.Calculatetheelectron’s(a)totalenergyinunitsofm.c%;(b)massinunitsofm,;(c)speedinunitsof¢;(d)wavelengthinunitsoftheComptonwavelength.T(@)Epp=ee?(B)meGop=Qc’,aulM=Ine.(&)oy214,a=cy1-2uy=o.86be.MC?(2)Faojndb.2.19,2A=De=Mee.0.577dcZ2Name)(mec)27.ThefirstthreeexcitedstatesofthenucleusofHgareat0.158MeV,0.208MeV,and0.403MeVabovethegroundstate.Ifalltransitionsbetweenthesestatesandgroundoccurred,whatenergyy-rayswouldbeobserved?#yy©7887,Ey,£G.20FHULI0.ISENY&,[TayI=°oLSN=0.1sYrVJ2=00SHe¥y,=0.1580VvXY,=0.208aLb.295)YToto3nyStudy

Page 8

Solution Manual for Introduction to Nuclear Engineering, 4th Edition - Page 8 preview image

Loading page image...

29.TritiumCH)decaysbynegativebetadecaywithahalf-lifeof12.26years.Theatomiweightof°His3.016.(2)Towhatnucleusdoes3Hdecay?.(b)Whatisthemassingramsof1mCioftritium?(=)Tht3Hpreapeilon.adLonmewdirmn,BodaeyerlyCTAsnnfirnnlionFfoo9uls«Jeonplantonelesron5sProtestLaeRputindl[sbioflHonHHe+5~5)Abb,od,ooAn.FnAude).1-bd2,PRAZFToe—12.2bou»368Her2Vhen 005ec2“oy“hne=1793x007seB“3.70»K=L07CK30DLose3.7%"diggpar/REE_Fx107sfee,/,293%76"Tse!=2.0X00"onsMara=MyxanTad:af

Page 9

Solution Manual for Introduction to Nuclear Engineering, 4th Edition - Page 9 preview image

Loading page image...

22.069)scP85pb(6022500boyFt=[03x04F31.CarbontetrachloridelabeledwithCissoldcommerciallywithanactivityof10millicuriespermillimole(10mCi/mM).Whatfractionofthecarbonatomsis14C?CorbenClosedtercd,¢,CelyTretornadrcodfreadele.bo.PitfeoorslonrtofHourou6022570domfont,x107aot,fpg=2;GorexoelonCf,pyJfFheSaidondary10,Clide,yyne3.510"fre,r08LeLar®372x007dey,dat’,AWoroL=QN.2.453,dwiTass3g5EiZTEpatient,A=3p35—z,.-)-a10"“feeNz>3sd=4.40,2.82x4042w/e7adete)oudirsPuttial,Tex"(or25p0¥=Lexrtoy[67

Page 10

Solution Manual for Introduction to Nuclear Engineering, 4th Edition - Page 10 preview image

Loading page image...

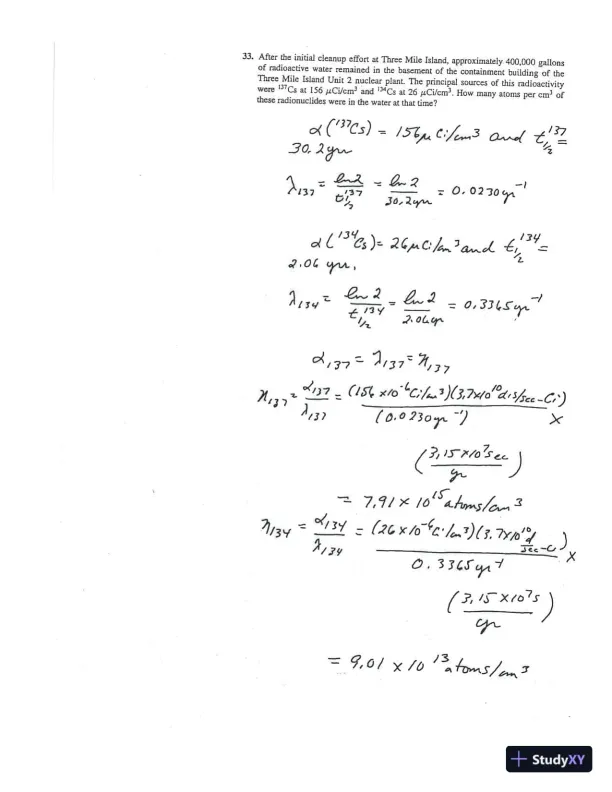
33.AftertheinitialcleanupeffortatThreeMileIsland,approximately.400,000gallonsofradioactivewaterremainedinthebasementofthecontainmentbuildingoftheThreeMileIslandUnit2nuclearplant.Theprincipalsourcesofthisradioactivitywere¥7Csat156uCi/cm?andCsat26uCi/em?,Howmanyatomspercm®oftheseradionuclideswereinthewateratthattime?137,,/(Ps)=15eiffn3adhd30.2GF¢LR4.2-Nisy®3—_—=0-0230¢4=30.2ynn1341324ALG)26pmfas£=2.06yw,.La.~NiseDot2d0.33454.”BYor;LePYJA7SA,39=i377%,y,Nyy“137=(1stxn0bc)..3)(3,7x00"34,-&Y)eegeeein(0023040=)Xx(%15X70ee)Ppy(s=7,90%167aimsfn2_NyV3=i=(2¢x10Cha),Txp'y)A124T=Ou33GTyt7/45xe’)—_/3=9.00x70atoms),

Page 11

Solution Manual for Introduction to Nuclear Engineering, 4th Edition - Page 11 preview image

Loading page image...

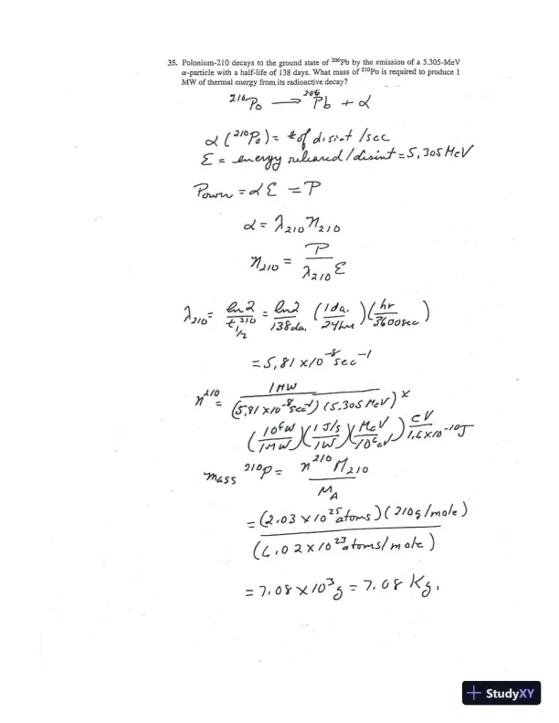
35.Polonium-210decaystothegroundstateofPbbytheemissionofa5.305-MeVa-particlewithahalf-lifeof138days.Whatmassof2/%Poisrequiredtoproduce1MWofthermalenergyfromitsradioactivedecay?2062p—=PL+24(°F)=tofdisret[secs=Legnliancdd[ebnind=S,20SHel/Bors=AE=Pol=Doss”,=ilalio=©"Xan€1,GRlad(Idaje)210€'°36th}TEOOIe2—5=81x/0see”!pelewLyi=Grpoe)(5.308FV)vvscV410fW13/5vvMeNaan(FrGarTae”2/0Mss"p="Maso_(2.0370ons)(2705/mole)StilleishaNR(¢.02x76Tatras!mole)=9.05%075270FKs.

Page 12

Solution Manual for Introduction to Nuclear Engineering, 4th Edition - Page 12 preview image

Loading page image...

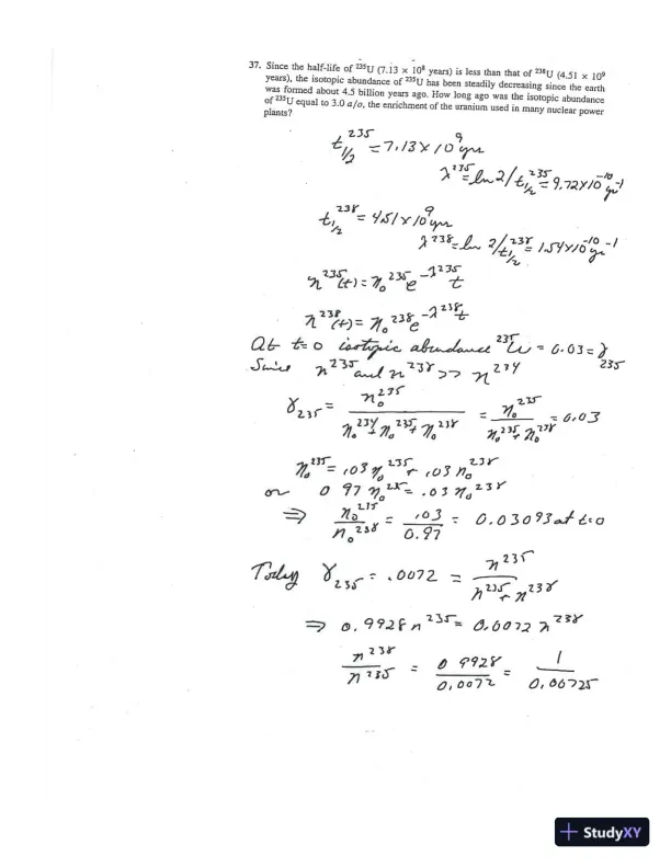
37.Sincethehalf-lifeofBs(7.13x108years)islessthanthatof28U(4.51x10°years),theisotopicabundanceofZUhasbeensteadilydecreasingsincetheearth2sformedabout4.5billionyearsago.Howlongagowastheisotopicabundae,FUequal103.0a/o,theearichmentoftheuraniumusedinmanynuclearpowerplants?.23594<7:/3%70gan-at]2x35—10JLn./e:=9720/0;23¢?4,=ISxfon2235.237~/0ATELYgrIY16423s382374Aw,eT23§,23825%1%ea=7,2%oFQttoGelgicabucdones“Li=0.632)23723723ya3Sele5ad2135n275kdl23Xr=rr=Ys746:033Y.,122)Ne42,7,7%7,.23=03gBL03Nye55)z3on0779=037,=>XT.03.pp3093.teorn6.97aToby0072cl5myahiTue137£38VA23Y=0,992Fn230.6012»2387=0F92Y_[EELS2,007%9,066228Study

Page 13

Solution Manual for Introduction to Nuclear Engineering, 4th Edition - Page 13 preview image

Loading page image...

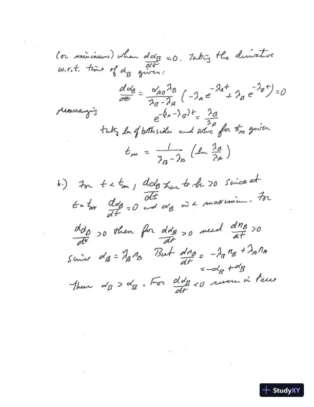
7%)7123(17a5)—_—Eno23%ET¥A(t)2.5;55°1Syfnt/afli+PE23n>,=9Pp/£70ap-15Ytp9725/036.03057Ex[77x00%,ae39.ConsiderthechaindecayA>B—C—,withnoatomsofBpresentatt=0.(a)ShowthattheactivityofBrisestoamaximumvalueatthetime£,,givenby1Agw=nene():atwhichtimetheactivitiesofAandBareequal.(b)Showthat,fort<,,theactivityofBislessthanthatofA,whereasthereverseisthecasefort>1,,.Chum&.2.33HoachofBagenTy:~Tet3Any3~tQtoy<gp©EE[ewtAt)AgaAssumenewhiedtornofBdpaHoftFernsdincdg,20am,Thoahhof[8506morcomin

Page 14

Solution Manual for Introduction to Nuclear Engineering, 4th Edition - Page 14 preview image

Loading page image...

(rnmniimiares)Hoedelsou(Eedurinwort,fuof4gaildots_of),AOtdoe)TETe3PAa2;t=——AsPN(42)BD)Bncb,dog,droStemotT¢£-1,dey_SApmakln—:ZrAE.adng8a0Holefre4550aPIRWRdrsMg#Palin=—c{p+25Thieroly3oyForleycgracfoe

Page 15

Solution Manual for Introduction to Nuclear Engineering, 4th Edition - Page 15 preview image

Loading page image...

41.shewirkreidoycanbeexplainedbyassumingthatthisisotopeorig-23¢234ULansUanenacdiloniVaUniesSake,TheadieotfotpokuimEASsrlong“uy,ri,27%7,fEEPo,TRmadTLTheLollyUseofTu4.51%107,vsahadf-Lore.of,HoAh,elopeIRVINShanksCMthi,Hodiagcdof7iyLisiMaBetdiaycmkehsoftlwhtepessedsq4FaseyodanLI,fprorduhBYpurUoSeoulAgplriosokaltdwgkVnlyLy"UY0fomHot.ANECorrpoMe=LEN[2%y=MNisyaayNosyGrpI“poyNzT,N,vke31%s\_(9SeTy22.47x10yy2.4%x16%gusTIomy=Sox'[0yv}FromMppudic11£040.10.2Hoorderw0.605FalecokofTU90.27%UandeHor5x07QlorYUoobespied371%;

Page 16

Solution Manual for Introduction to Nuclear Engineering, 4th Edition - Page 16 preview image

Loading page image...

43.AccordingtoU.S.NuclearRegulatoryCommissionregulations,themaximumper-missibleconcentrationofradon-222inairinequilibriumwithitsshort-liveddaugh-tersis3pCifliterfornonoccupationalexposure.Thiscorrespondstohowmanyatomsofradon-222percm’?Anachff30C[Lt~320020ut,Frome.HofoiofC;=3,7%¢0elesfrees--fFhcrnmlinBioSeCrhbguilds111x107gyIasfpty,flSHOPPTRLachTuhyoyaLLBuktuachiibyoAg,Na.booHo04|es~AAlkoddllJseewo=iisheNr,.=|[(oAShee2.2=205700bei!TlpontfomenS52svofLe45.CompletethefollowingreactionsandcalculatetheirQvalues.[Note:TheatomicweightofCis14003242.)(@)*He(p,db(b)*Be(e,n)“N(n,p)(d)"In(d,p)(e)*Pb(y,n)@) Tgecp)32Fhe+o—>dfrePHet,Q=Etrp)=CermyD311UsematsLyolirtenTiMy&sactfnecomdeteru=[0020071.007925)(3<0/(63+2014102)93)=~1¥.FtHely.
Preview Mode

This document has 154 pages. Sign in to access the full document!

Study Now!

XY-Copilot AI
Unlimited Access
Secure Payment
Instant Access
24/7 Support
Document Chat

Document Details

Related Documents

View all