Page 1

Loading page image...
Page 2

Loading page image...
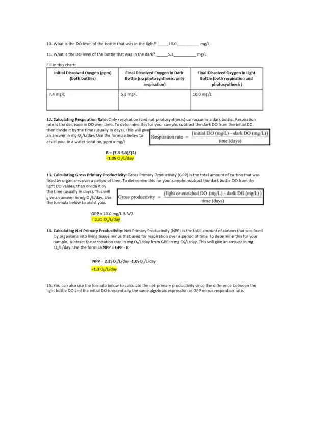
This lab explores how light affects photosynthesis by measuring dissolved oxygen in water with Elodea plants under light and dark conditions—demonstrating biochemical reactions and experimental design principles.
Loading page image...
Loading page image...
This document has 4 pages. Sign in to access the full document!