Policy And Politics In Nursing And Healthcare - Revised Reprint , 6th Edition Lecture Notes

Policy And Politics In Nursing And Healthcare - Revised Reprint , 6th Edition Lecture Notes is designed to make learning faster and simpler.

Amelia Davis
Contributor
4.9
103
9 months ago
Preview (31 of 130 Pages)
100%
Purchase to unlock

Page 1

Policy And Politics In Nursing And Healthcare - Revised Reprint , 6th Edition Lecture Notes - Page 1 preview image

Loading page image...

Mason: Policy & Politics in Nursing and Health Care, 6th EditionIntroduction to Instructor's ManualAlma DixonThis manual is designed to guide and support faculty who are responsible for teachingcourses for undergraduate nursing students about policy and politics. Although students willbe focused on developing their skills as novice clinicians, it is vital they also recognize theroles policy and politics play in patient care, the health system, and human health. Learningabout policy and politics will draw students’ attention to many issues in the health systemand to learn about how they can play a role in addressing problems. Major problems thatexist today include:The unsustainable high cost of careHealth care and medical errorsInadequate access to careThe shortage of nursing faculty needed to prepare an adequate nursing workforceAn insufficient primary care and public health workforceSignificant disparities in access to careAn inadequate focus on prevention of diseaseAn economy in recessionLearning OutcomesThe Essentials of Baccalaureate Education for Professional Nursing Practice(AACN, 2008)includes a policy as an essential part of nursing curriculum through Essential V (HealthcarePolicy, Finance, and Regulatory Environments). The following outcomes are suggested asguideposts for course activities. If you are able to determine that these learning outcomeswere met in prior courses, your task as the instructor will be to reinforce prior knowledge.Upon completion of this course, the student will be able to:1.Demonstrate basic knowledge of health care policy, finance, and regulatoryenvironments, including local, state, national, and global health care trends.2.Describe how health care is organized and financed, including the implications ofbusiness principles, such as system cost factors.3.Compare the benefits and limitations of the major forms of reimbursement on thedelivery of health care services.4.Examine legislative and regulatory processes relevant to the provision of health care.5.Describe state and national statutes, rules, and regulations that authorize and defineprofessional nursing practice.6.Explore the impact of sociocultural, economic, legal, and political factors influencinghealth care delivery and practice.

Page 2

Policy And Politics In Nursing And Healthcare - Revised Reprint , 6th Edition Lecture Notes - Page 2 preview image

Loading page image...

Page 3

Policy And Politics In Nursing And Healthcare - Revised Reprint , 6th Edition Lecture Notes - Page 3 preview image

Loading page image...

Introduction27.Examine the roles and responsibilities of regulatory agencies and their effect onpatient care quality, workplace safety, and the scope of nursing and other health careprofessionals’ practice.8.Discuss the implications of health care policy on issues of access, equity,affordability, and social justice in health care delivery.9.Use an ethical framework to evaluate the impact of social policies on health care,especially for vulnerable populations.10.Articulate through a nursing perspective issues concerning health care delivery todecision makers within health care organizations and other political arenas.11.Participate as a nursing professional in political processes and grassroots legislativeefforts to influence health care policy.12.Advocate for patients and the nursing profession.This manual is designed to be used withPolicy & Politics in Nursing and Health Care(6thedition).Some chapters are noted to be asHighly Recommendedreading for all students.These are the core chapters that address foundational content in policy and politics. Somechapters are noted to beSuggested;these contain important content and can be assignedbased on the overall design of the course. Other chapters are identified asOptional;thesemay be assigned based on individual student interest and learning needs.The learning outcomes and teaching strategies are designed for specific units instead ofindividual chapters. This allows instructors to focus on the broader concepts that will enablestudents to apply the knowledge to their clinical experiences and theory learned in priornursing courses. Throughout this manual, the emphasis is on application of knowledge ratherthan memorization of content. Therefore, chapters entitled “Taking Action” have educationalstrategies specifically designed to encourage students to select an area of interest and applythe skills learned to their clinical practice, experience, and knowledge. Each unit containsWebsites that both instructors and students may use to complete assignments and keepabreast of the changes in a rapidly evolving health care system.Policy & Politics in Nursing and Health Care(6th edition) is designed for use across nursingcurricula from undergraduate education to graduate preparation at the Master’s andDoctorate levels. This manual begins the process by suggesting teaching strategies that laythe foundation for future study for students who will pursue advanced degrees. For studentswho do not advance their education, it suggests educational approaches that expose them tothe major challenges that nurses have always embraced, and that is to effect change forpatients by exercising our single and collective voices on behalf of the most vulnerable andoften disenfranchised members of our society.ReferencesAmerican Association of Colleges of Nursing. (2008, October 20).The Essentials ofBaccalaureate Education for Professional Nursing Practice.Washington DC: AmericanAssociation of Colleges of Nursing.

Page 4

Policy And Politics In Nursing And Healthcare - Revised Reprint , 6th Edition Lecture Notes - Page 4 preview image

Loading page image...

Mason: Policy & Politics in Nursing and Health Care, 6th EditionOrientation Class to Policy and Politics in Nursing and Health CareAlma DixonThe following is an activity that can be used to stimulate students’ early thinking aboutpolitical activity and engagement.Directions: Distribute the Checklist (Table 1-1) to students. Direct them to complete thechecklist individually. Divide the class in groups and have them discuss the following, basedon their checklist responses.1.Do you consider yourself to be politically active? Why or why not?2.Do you feel that you are knowledgeable of the political process?3.Should nurses be politically active? Why or why not?4.How can nurses make a difference in the health of their patients and the public byshaping policy?5.What do you hope to learn during this course?A recorder may be appointed to take notes so that students can compare their views from thebeginning of the course to their views at the end of the course.

Page 5

Policy And Politics In Nursing And Healthcare - Revised Reprint , 6th Edition Lecture Notes - Page 5 preview image

Loading page image...

Orientation Class2Engagement and Political Voice ChecklistFor each item, check the box that appliesto you. For the item on vote registration,use the “Yes” or “No” boxes.NeverSometimesAlwaysYesNoI work to solve community problemsI volunteer regularly for an environmentalgroupI volunteer regularly for a civic orcommunity organizationI volunteer regularly for any otherorganizationI belong or donated money to any group ororganizationBesides donating money, I help raisemoney for charitable causesI have registered to voteI vote in elections (regular voting)I volunteer for a political campaign orcandidateI encourage others to voteI wear a campaign button or have a stickeron my vehicleI volunteer for a candidate, work orcontribute money to a political party, or anorganization that supports candidatesI contacted/visit public officialsI contact a newspaper or magazineI contact a radio or television news showI protestI sign an e-mail petitionI sign a written petitionI boycott companiesI buy something to support the values of acompanyAdapted from Dahl, I., Hoy, A., Meisel, W.(Eds. of the Corella and Bertram F. BonnerFoundation.) (2006).From community service to political action: A student call for civicengagement.Princeton NJ: The Bonner Foundation.

Page 6

Policy And Politics In Nursing And Healthcare - Revised Reprint , 6th Edition Lecture Notes - Page 6 preview image

Loading page image...

Mason: Policy & Politics in Nursing and Health Care, 6th EditionUNIT 1: INTRODUCTION TOPOLICY AND POLITICS IN NURSING AND HEALTHCAREAlma DixonHighly Recommended Chapters:Chapter 1: A Framework for Action in Policy and PoliticsChapter 2: A Historical Perspective on Policy, Politics, and NursingChapter 3: Learning the Ropes of Policy, Politics, and AdvocacyChapter 4: Taking Action: How I Learned the Ropes of Policy and PoliticsChapter 7: The Policy ProcessChapter 8: Political Analysis and StrategiesChapter 11:Communication Skills for Success in Policy and PoliticsSuggested Chapters:Chapter 5: Advocacy in Nursing and Health CareChapter 9: Health Policy, Politics, and Professional EthicsChapter 12: Conflict Management in Health Care: The Tipping Point ArrivesOptional Chapters:Chapter 6: A Primer on Political PhilosophyChapter 7: The Policy ProcessChapter 10:Using the Power of Media to Influence Health Policy and PoliticsUNIT OVERVIEW:The content in Unit 1 may not have been presented in other nursing courses; therefore, it isfundamental to understanding policy and politics and the role that a baccalaureate preparedgraduate nurse may play. It begins with an overview of the new Patient Protection andAffordable Care Act (PPACA) and its potential to reform the health care system and howhealth care is delivered. It also contains the review of various types of policies and the forcesthat shape health policy. The components of the often maligned, but critical political skillbehaviors are also presented as well as the actions inherent in policy analysis, advocacy, andpolitical activism. The “Framework for Action,” which was first introduced inPoliticalAction Handbook for Nurses: Changing the Workplace, Government, Organizations andCommunity(Mason & Talbott, 1985)is expanded and updated to focus on the currentspheres of influence, namely, the community, the workforce and workplace, the government,and the associations and interest groups.The historical perspective on policy, politics, and nursing lays the foundation for students tounderstand the role of nurses’ activism to advance the profession as well as health care. Inaddition, the unit describes how the formation of the professional associations placed nursingas a strong force in addressing the social and political reforms affecting society in the 1800s.The beginning tension between nursing and the advancement of women in society is also

Page 7

Policy And Politics In Nursing And Healthcare - Revised Reprint , 6th Edition Lecture Notes - Page 7 preview image

Loading page image...

UNIT 12reviewed in tandem with thediscriminatorypractices inherent in society and nursing duringthe early 1900s. The impact of public health nursing as a vehicle to address the problemsassociated with urbanization, industrialization, and immigration is reviewed as well as therelationship between the suffrage movement, organized nursing, and modern nursing.In practice, the baccalaureate prepared graduate is expected to advocate for vulnerablepopulations. This unit contains detailed information on advocacy in nursing that can beapplied to the clinical setting. A case study is provided to illustrate the material that waspresented.RELEVANCE FOR STUDENTS:This unit provides the content to either introduce orbroaden understanding of the complexities of the United States health care system and theneed for fundamental changes in the way resources are allocated. It supplies the historicalcontext of nursing in shaping policy and the transforming changes that will result from theenactment of health care reform. This information is important as students learn about theroles they will play as nurses and as concerned citizens.LEARNING OBJECTIVES1.Identify the impact of the Patient Protection and Affordable Care Act (PPACA) onhealth care reform.2.Explain how values and politics shape health policy.3.Identify the components of political skill and the implications for nurses.4.Explain how policy analysis, advocacy, interest groups, lobbyists, and the media playa role in health care and nursing.5.Describe the Framework for Action including the spheres of influence (thecommunity, the workforce and workplace, the government, and the associations andinterest groups).6.Discuss the present and historical application of nursing as “a metaphor for thestruggle for equality of women.”7.Explain how political activism has influenced the profession of nursing and thedelivery of health care.8.Identify the steps in political analysis and how they may be applied to an issue in theworkplace or how to advocate for clients.9.Identify the communication skills needed to be effective in professional and politicalarenas.TEACHING STRATEGIESThe spheres of influence provide a practical framework to organize teaching strategies thatwill enable students to learn about political action through application of knowledge.Therefore the strategies are organized around the community, the workforce and workplace,the government, and associations and interest groups. Depending on the student evaluationsystem used, faculty may consider allocating specific points for each step within eachassignment. In addition, criteria with suggested point allocations are provided to assist in theevaluation.

Page 8

Policy And Politics In Nursing And Healthcare - Revised Reprint , 6th Edition Lecture Notes - Page 8 preview image

Loading page image...

UNIT 13Sphere of Influence 1: The CommunitySmall Group AssignmentPurpose:To provide students with experience in influencing policy at the community level.Instructions:Divide the class into groups of 4 to 6 with instructions that each group shouldcomplete the same task.Vignette Provided to Students:You are completing a clinical rotation in a smallcommunity agency that provides services to pregnant women or women with children underthe age of 3 in an urban area of the southern United States. The racial composition of thecommunity is 78.1% white, 9.6 % African American, 8.0% Hispanic, 0.3% AmericanIndian/Alaska Native, 2.0% Asian, and 2.0% other. In 2009, 110,800 women of child-bearing age resided in the county with 5,300 total births.Recently you and your fellow students learned that current statistics for the county reveal thatfrom 2006 to 2008, the infant mortality(number of deaths per 1000 live births)rate was8.2%; an increase from 6.5% in 2005-2007. ForAfrican Americans, the rates were 10.0% in2005 to 2007 and increased to 14.4% in 2006 to 2008. The local Healthy Start agencyconfirms that these data are accurate for the community. In fact, based on a review of deathsby the coroner, in the last year, the major causes of neonatal and infant demise were lowbirth weight, babies sleeping in bed with an adult (roll over/unintentional deaths), and SIDS.Task:You and your classmates decide to take action. With the assistance of the staff fromthe agency and your nursing faculty, you decide to develop a community awarenesscampaign.The Assignment:1.Name your campaign.2.Identify community partners to help with your campaign.3.Identify the stakeholders.4.Name the resources you will need.5.Establish a task list.6.Assign responsibilities.7.Define a timeline.8.Describe an evaluation process.Evaluation CriteriaYou will be evaluated on:1.Your ability to creatively engage the interest of the community by the name of thecampaign………………………………………………………………………10points2.Your understanding of the community partners and stakeholders needed to ensuresuccess of your campaign…………………..………………………30 points3.Your ability to cite the extent of the resources needed and the time frame to developthe community awareness campaign………….…………………20 points4.Your knowledge of the steps involved in evaluating the success of your campaign orwhat is needed to improve in the future……………………………..40 points

Page 9

Policy And Politics In Nursing And Healthcare - Revised Reprint , 6th Edition Lecture Notes - Page 9 preview image

Loading page image...

UNIT 14Sphere of Influence 2: The Workforce and Workplace:Small Group or Individual Writing AssignmentPurpose:To provide the experience for students to develop a policy that impacts theworkforce or the workplace.Instructions:Students select a current problem, for example, the inability of the professionto establish the BSN as a minimum requirement for entry into practice, or the shortage ofnurses in the United States. Using the “Steps of a Political Analysis” found in Box 8-1 as aguide, complete the following assignment:1.Identifying and analyzing the problem2.Outlining and analyzing proposed solutions3.Understanding the background of the issue: its history and previous attempts toaddress the problem4.Locating the political setting and structures involved5.Evaluating the stakeholders6.Conducting a values assessment7.Recognizing the resources (both financial and human) needed to reach the intendedgoals8.Analyzing the power basesEvaluation CriteriaYou will be evaluated on your ability to complete the following tasks according to pointsdesignated:1.Identify and analyze the problem…………………………………………..10 points2.Outline and analyze proposed solutions………………………………….10 points3.Explain the background of the issue including its history and previous attempts to addressthe problem…………………………………………………………..10 points4.Identify the entities that have jurisdiction over the problem………………10 points5.Identify the stakeholders and their potential roles in addressing the problem…10 points6.Name the inherent values that need to be assessed………………………10 points7.Determine the resources, both financial and human, needed to bring the issue forwardand to reach a resolution……………………………………………...10 points8.Analyze the power bases……………………………………………………….10 points9.Design a plan of action based on your political analysis…………………….20 pointsSphere of Influence 3: TheGovernmentWriting AssignmentPurpose:To provide the opportunity for students to practice influencing policy bycommunicating with a legislator about a current health problem.Instructions:Have students complete the following steps:1.Select a current health problem that is being debated at the national and/or state level(e.g., the proliferation of “pill mills” and pain clinics), and state why it is of interest.2.Identify a legislator (state or federal) and state why that person is the appropriate oneto contact.3.Draft a letter to the legislator including the proper salutation.

Page 10

Policy And Politics In Nursing And Healthcare - Revised Reprint , 6th Edition Lecture Notes - Page 10 preview image

Loading page image...

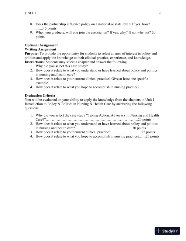
UNIT 154.Introduce yourself and your reason for writing.5.State concisely what you understand to be the current socioeconomic, political, andethical issues surrounding the problem.6.Discuss the implications of the problem for nursing or nursing practice.7.Make a clear request for action.8.Request a response.Evaluation CriteriaYou will be evaluated on the following criteria:1.Identification and description of a current health problem………………20 points2.Identification of a legislator and the reason for yourselection…………………………………………………………………20 points3.Preparation of a concise letter that cites the current socioeconomic, political, andethical issues surrounding the problem as well as the implications of the problemfor nursing or nursing practice………….30 points4.Your ability to determine an appropriate action and make a request for that action………………………………………………………………………30 pointsSphere of Influence 4: Associations and Interest GroupsWriting AssignmentPurpose:To provide the opportunity for students to become familiar with different nursingassociations.Instructions:Have students complete the following steps:1.Choose a nursing association.2.List the mission and purpose of the association3.How is it governed?4.What is the legislative agenda of the association?5.How is that agenda developed? Is the membership involved?6.How is the agenda communicated to the membership?7.Does it partner with any coalitions?8.Does the partnership influence policy on a national or state level? If yes, how?9.When you graduate will you join the association? If yes, why? If no, whynot?…………………….Evaluation CriteriaAfter you have selected a nursing association, you will be evaluated on your ability to answerthe following:1.What is the mission and purpose of the association?................10 points2.How is it governed? ...................................................................10 points3.What is the legislative agenda of the association? ...................10 points4.How is that agenda developed? ................................................15 points5.Is the membership involved?........................................................5 points6.How is the agenda communicated to the membership?...............5 points7.Does it partner with any coalitions?.............................................10 points

Page 11

Policy And Politics In Nursing And Healthcare - Revised Reprint , 6th Edition Lecture Notes - Page 11 preview image

Loading page image...

UNIT 168.Does the partnership influence policy on a national or state level? If yes, how?........15 points9.When you graduate, will you join the association? If yes, why? If no, why not? 20pointsOptional AssignmentWriting AssignmentPurpose:To provide the opportunity for students to select an area of interest in policy andpolitics and apply the knowledge to their clinical practice, experience, and knowledge.Instructions:Students may select a chapter and answer the following:1.Why did you select this case study?2.How does it relate to what you understand or have learned about policy and politicsin nursing and health care?3.How does it relate to your current clinical practice? Give at least one specificexample.4.How does it relate to what you hope to accomplish in nursing practice?Evaluation CriteriaYou will be evaluated on your ability to apply the knowledge from the chapters inUnit1:IntroductiontoPolicy& PoliticsinNursing& HealthCare by answering the followingquestions:1.Why did you select the case study “Taking Action: Advocacy in Nursing and HealthCare?”………………………………………………………………….20 points2.How does it relate to what you understand or have learned about policy and politicsin nursing and health care?...............................................................30 points3.How does it relate to your current clinical practice?..................................25 points4.How does it relate to what you hope to accomplish in nursing practice?..….25 points

Page 12

Policy And Politics In Nursing And Healthcare - Revised Reprint , 6th Edition Lecture Notes - Page 12 preview image

Loading page image...

Mason: Policy & Politics in Nursing and Health Care, 6th EditionUNIT 2: HEALTH CARE DELIVERY AND FINANCINGAlma DixonHighly Recommended Chapters:Chapter 13:The United States Health Care SystemChapter 16: A Primer on Health EconomicsChapter 21:The Uninsured and UnderinsuredOn the Cusp of Health ReformChapter 22: Policy Approaches to Address Health DisparitiesChapter 29: Chronic Care Policy:Medical Homes and Primary CareSuggested Chapters:Chapter 14: Financing Health Care in the United States.Chapter 17: Reforming MedicareChapter 18: Children’s Health Insurance Coverage: Medicaid and the State Children’s HealthInsurance ProgramChapter 24: Long-Term Care Policy IssuesChapter 25: Home Care and Hospice: Evolving PolicyOptional Chapters:Chapter 15: Could a National Health System Work in the United States?Chapter 19: The United States Military Health System: PolicyChallenges in Wartime andPeacetimeChapter 20: The Veterans Administration Health System: An Overview of Major PolicyIssuesChapter 23: The Rural Health Care TundraChapter 26:Achieving Mental Health ParityChapter 27: Integrative Health: Pathway to Health Reform and a Healthier NationChapter 28: Nursing’s Influence on Drug Development and SafetyChapter 30: Family Caregiving and Social PolicyChapter 31: Health Care Clinics:Filling a Gap in the Health Care SystemChapter 32:Nurse-Managed Health CentersChapter 33: Community Health Centers: Successful Advocacy for ExpandingHealth CareAccessChapter 34:Taking Action:Setting Health Care in Its Social ContextChapter35:TakingAction:ReimbursementIssues forNurseAnesthetists:AContinuingChallengeChapter 36: The Role of Foundations in Improving Health CareChapter 37: Social Security: Key to Economic SecurityChapter 38: The United Kingdom’s Health System: Myths and RealitiesUNIT OVERVIEWUnit 2 begins with defining the complexities of health care in the U.S. including the multiple

Page 13

Policy And Politics In Nursing And Healthcare - Revised Reprint , 6th Edition Lecture Notes - Page 13 preview image

Loading page image...

UNIT 22interacting components, multiple stakeholders with differing goals and visions, and multipleconsumers with different needs and wants. It expands on the Patient Protection andAffordable Care Act (PPACA) introduced in Unit 1 and explains how components of the Actwill be used to finance health care reform.The unit continues with a discussion of the application of economic theory to health care. Italso contains topics related to the demand for and supply of health care, the markets forhospitals and nurses, the evaluation of costs and benefits of specific health care policies, andthe future of the health care system.The unit also explores the impact of current health care financing and access to care for themost vulnerable citizens (infants, children, and older adults).RELEVANCE FOR STUDENTS:This chapter provides the opportunity to either introduceor reinforce the content to baccalaureate generalist nurses related to the complexities of thehealth care system and the need for fundamental change in the way resources are allocated. Itsupplies the historical context of nursing in shaping policy and the transformative changesthat will result from the enactment of health care reform. This information is important asstudents learn about the roles they will play as nurses and as concerned citizens.LEARNING OBJECTIVES1.Define the roles of patients, providers, and funding sources as fundamental tounderstanding the complexities of the current health care system and examine ifreform is needed.2.Discuss the implications of health care policy on issues related to access, equity,quality, and cost.3.Examine the impact of limited access to care by the uninsured, underinsured, andvulnerable populations such as infants, children, and older adults.TEACHING STRATEGIESSmall-Group or Individual Writing AssignmentPurpose:To provide students with the opportunity to design a health system that addresses aspecific health care problem and implements a significant component of Patient Protectionand Affordable Care Act (PPACA).Instructions:For this assignment, students may incorporateBox 13-2, “Six Drivers of HighPerformance Health Care Systems” into their responses.1.Choose a health care problem.2.Choose a community, or select an age group most impacted by the problem.3.Design a Medical Home (Health Home) for patients identified in #2.4.Who is the current primary care provider and why?5.Who is the primary care provider in your Medical Home (Health Home) and why?6.What specialists currently are needed, and what is the accessibility?7.How will specialists be handled in your Medical Home (Health Home)?8.How is access to medical information currently handled?

Page 14

Policy And Politics In Nursing And Healthcare - Revised Reprint , 6th Edition Lecture Notes - Page 14 preview image

Loading page image...

UNIT 239.How will you ensure that clients have easy access to medical information in yourMedical Home (Health Home)?10.How will you inform the community about your Medical Home (Health Home)?11.Who are the stakeholders you need to get on board?12.What opposition do you project will occur with the opening of the Medical Home(Health Home)?Evaluation CriteriaYou will be graded on the following criteria:1)Your choice of a health care problem……………………………………..20 points2)Your ability to choose a community or select an age group most impacted by theproblem………………………………………………………………………..20points3)Your creativity to design a Medical Home (Health Home) for patients identified in #2and to determine the following: …………………………………………40 pointsThe current primary care provider and why you identified that personThe primary care provider you select for Medical Home (Health Home) and whyThe specialists currently needed and the accessibility to the specialistsHow the specialists will be handled in your Medical Home (Health Home)How the access to medical information is currently handledHow you will ensure that clients have easy access to medical information in yourMedical Home (Health Home)4)Your ability to engage the community by determining the following: ....40 pointsHow you will inform the community about your Medical Home (Health Home)The stakeholders you need to get on boardThe opposition you project to opening the Medical Home (Health Home)Writing Assignment:Purpose:To provide students with experience to reflect on their personal views related tothe role of government and access to care for the uninsured.Instructions:Students are to write an essay in agreement or opposition to the following:“It was once said that the moral test of government is how that government treats thosewho are in the dawn of life, the children; those who are in the twilight of life, theelderly; and those who are in the shadows of life, the sick, the needy, and thehandicapped.”Hubert H. Humphrey, United States politician (1911-1978)1.Do you agree or disagree with this statement? Why or why not?2.State your reasons based on your knowledge of the health care system, observationsin the clinical area, and personal experience. Justify your responses with appropriateresources.Evaluation CriteriaYou will be graded on the following criteria:1.Your ability to state a position and explain the reason for the choice….30 points

Page 15

Policy And Politics In Nursing And Healthcare - Revised Reprint , 6th Edition Lecture Notes - Page 15 preview image

Loading page image...

UNIT 242.Your ability to demonstrate an understanding of the relevance of the quote to the roleof government and access to care for the uninsured…………40 points3.Your ability to organize your thoughts and complete a well written, clear, andreadable paper withjustification……………………………………………………..…30 pointsGroup Assignment:Purpose:To provide students with the opportunity to explore a current health legislativeissue that relates to a health disparity at the state or national level.Instructions:The student is expected to perform a thorough search of the literature, themedia, and discussions with stakeholders such as legislators, consumers, and other healthcare professionals about a current health legislative issue. Students will participate on a panelthat will present the following areas or the selected health issue:1.What is the current legislative or regulatory issue, and why is it being debated?2.Who is most affected by the legislation?3.What are the current socioeconomic, political, cultural, and ethical issues surroundingthis topic?4.Who are the stakeholders?5.What are the positions of professional health care organizations (ANA, AHA, AMA),consumers, and the major political parties on the issue?6.What are the implications of the policy issue for nursing?Evaluation CriteriaYou will be graded on your ability to respond to the following questions in a comprehensivemanner that demonstrates an understanding of the legislative process as part of a paneldiscussion that focuses on the selected health disparity and the implications of the policy fornursing.1.What is the current legislative or regulatory issue, and why is it beingdebated?............................................................................10 points2.Who is most affected by the legislation? …………………………………….10 points3.What are the current socioeconomic, political, cultural, and ethical issues surroundingthis topic?……………………………………………………………10 points4.Who are the stakeholders?...........................................................................5 points5.What are the positions of professional health care organizations (ANA, AHA, AMA),consumers, the major political parties, and nurses on the issue?.............10 points6.What are the implications of the policy issue for nursing?..........................15 points7.Participation on the panel…………..………………………………………..…20 points8.Clarity, organization of thepresentation………………………………………………………………………..20pointsOptional AssignmentWriting AssignmentPurpose:To provide the opportunity for students to select an area of interest and apply theknowledge about health care delivery and financing to their clinical practice, experience, andknowledge.

Page 16

Policy And Politics In Nursing And Healthcare - Revised Reprint , 6th Edition Lecture Notes - Page 16 preview image

Loading page image...

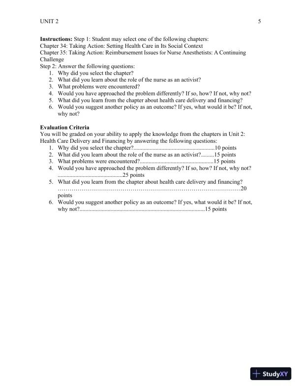
UNIT 25Instructions:Step 1: Student may select one of the following chapters:Chapter 34: Taking Action: Setting Health Care in Its Social ContextChapter35:TakingAction:ReimbursementIssuesforNurseAnesthetists:AContinuingChallengeStep 2: Answer the following questions:1.Why did you select the chapter?2.What did you learn about the role of the nurse as an activist?3.What problems were encountered?4.Would you have approached the problem differently? If so, how? If not, why not?5.What did you learn from the chapter about health care delivery and financing?6.Would you suggest another policy as an outcome? If yes, what would it be? If not,why not?Evaluation CriteriaYou will be graded on your ability to apply the knowledge from the chapters in Unit 2:Health Care Delivery and Financing by answering the following questions:1.Why did you select the chapter?.......................................................10 points2.What did you learn about the role of the nurse as an activist?.........15 points3.What problems were encountered?..................................................15 points4.Would you have approached the problem differently? If so, how? If not, why not?............................................25 points5.What did you learn from the chapter about health care delivery and financing?…………………………………………………………………………………20points6.Would you suggest another policy as an outcome? If yes, what would it be? If not,why not?.....................................................................................15 points

Page 17

Policy And Politics In Nursing And Healthcare - Revised Reprint , 6th Edition Lecture Notes - Page 17 preview image

Loading page image...

Mason: Policy & Politics in Nursing and Health Care, 6th EditionUNIT 3: POLICY AND POLITICS IN RESEARCH AND NURSING SCIENCEAlma DixonHighly Recommended Chapters:Chapter 39: Science, Policy, and PoliticsChapter 40: Research as a Political and Policy ToolSuggested Chapters:Chapter 42:Politics and Evidence-Based Practice and PolicyChapter 43: The Society for Women’s Health Research: Using Evidence-Based Policy toImprove HealthChapter 44: Using Research to Advance Healthy Social Policies for ChildrenOptional Chapters:Chapter 45:Taking Action:Reefer Madness: The Clash of Science, Politics, and MedicalMarijuanaChapter 46:Taking Action:The Journey into the Hallowed Halls of Politics: How NursePractitioners ChangedPennsylvania PolicyUNIT OVERVIEWUnit 3 begins with explaining howscience and politics interact and influence each other andhow science can influence policy. Several examples illustrate how research can be ignored ormisused for political gain.Included in the unit are examples of current controversial research areas that have policyimplications. These examples highlight the use of many strategies that are included in Units1 and 2 that nurses have used to advance evidence-based research to accomplish changes inpolicy.RELEVANCE FOR STUDENTS:This chapter provides the content for students tounderstand how research can be used or misused in political decisions. This places theimportance of being a knowledgeable consumer of research in the context of the role of thenurse as patient advocate and patient educator.LEARNING OBJECTIVES1.Describe the relationship of politics and the political process to research.2.Describe how politics and science may clash and the impact on patients and nursing.3.Cite how science can be used to inform policy and political decisions.4.Identify research in the policymaking process.5.Cite the impact of gender inequity in research and the subsequent effect on healthcare policy.

Page 18

Policy And Politics In Nursing And Healthcare - Revised Reprint , 6th Edition Lecture Notes - Page 18 preview image

Loading page image...

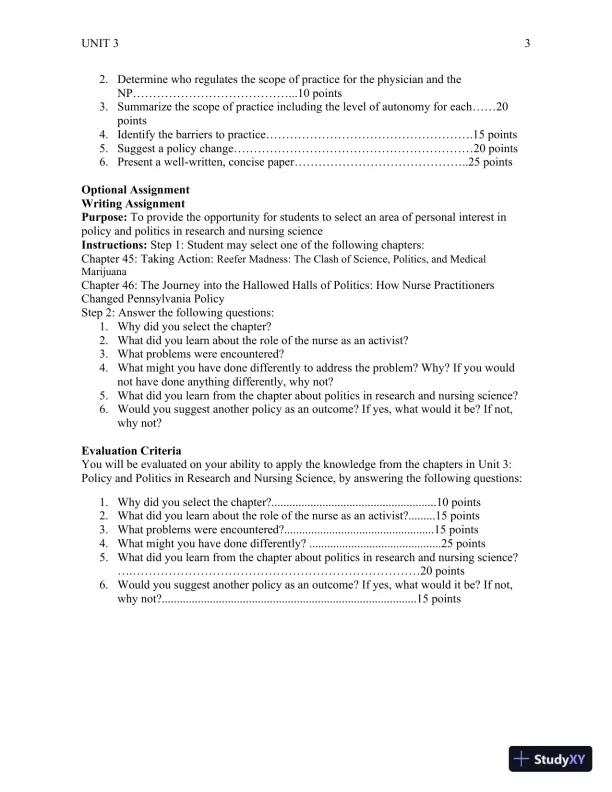
UNIT 326.Identify major themes pertaining to social policies for children and the impact ofresearch on those policies.7.Identify the role of nursing in advancing controversial research projects usingmedical marijuana and screening for Chlamydia as paradigms.TEACHING STRATEGIESWriting AssignmentPurpose:To provide students with the opportunity to explore the interface of politicalinfluence and a major health issue using tobacco use as a paradigm.Instructions:Students are to complete the following steps including answering questions:1.Trace the history of smoking and its effect on health (locate an article from a nursingjournal on the hazards of smoking).2.Who were the stakeholders in opposition to smoking?3.Who were the lobbyists in favor of a hands-off approach?4.What is the current use of tobacco products (e.g., smokeless tobacco)?5.What is the current research on the use of these products?6.What are the policy implications?Evaluation CriteriaAfter you locate an article from a nursing journal on the hazards of smoking, you will beevaluated on your ability to thoroughly answer the following questions in a coherent, well-written paper.1.Who were the stakeholders in opposition to smoking?.......10 points2.Who were the lobbyists in favor of a hands-off approach?.....10 points3.What is the current use of tobacco products (e.g., smokeless tobacco)?….10 points4.What is the current research on the use of these products?.............10 points5.What are the policy implications for the future?........................................................30points6.Paper: organization, grammar, resources/references………………………………………………………………………30 pointsWriting AssignmentPurpose:To provide the opportunity for students to compare and contrast the roles, scope ofpractice and perspectives of nurse practitioners and physicians and suggest a policyinterventionInstructions:Students are to complete the following steps including answering questions:1.Select a specialty (e.g., family practice, pediatrics). Define the roles you will beaddressing: physician and nurse practitioner.2.Determine who regulates the scope of practice for the physician and the NP.3.Summarize the scope of practice including the level of autonomy for each.4.What are the barriers to practice?5.What policy change would you suggest?Evaluation CriteriaYou will be evaluated on your ability to:1.Select a specialty (e.g., family practice, pediatrics)…………………..10 points

Page 19

Policy And Politics In Nursing And Healthcare - Revised Reprint , 6th Edition Lecture Notes - Page 19 preview image

Loading page image...

UNIT 332.Determine who regulates the scope of practice for the physician and theNP…………………………………...10 points3.Summarize the scope of practice including the level of autonomy for each……20points4.Identify the barriers to practice…………………………………………….15 points5.Suggest a policy change……………………………………………………20 points6.Present a well-written, concise paper……………………………………..25 pointsOptional AssignmentWriting AssignmentPurpose:Toprovide the opportunity for students to select an area of personal interest inpolicy and politics in research and nursing scienceInstructions:Step 1: Student may select one of the following chapters:Chapter 45: Taking Action:Reefer Madness: The Clash of Science, Politics, and MedicalMarijuanaChapter 46: The Journey into the Hallowed Halls of Politics: How Nurse PractitionersChangedPennsylvania PolicyStep 2: Answer the following questions:1.Why did you select the chapter?2.What did you learn about the role of the nurse as an activist?3.What problems were encountered?4.What might you have done differently to address the problem? Why? If you wouldnot have done anything differently, why not?5.What did you learn from the chapter about politics in research and nursing science?6.Would you suggest another policy as an outcome? If yes, what would it be? If not,why not?Evaluation CriteriaYou will be evaluated on your ability to apply the knowledge from the chapters inUnit3:PolicyandPoliticsinResearchandNursingScience, by answering the following questions:1.Why did you select the chapter?.......................................................10 points2.What did you learn about the role of the nurse as an activist?.........15 points3.What problems were encountered?..................................................15 points4.What might you have done differently? ............................................25 points5.What did you learn from the chapter about politics in research and nursing science?….………………………………………………………………20 points6.Would you suggest another policy as an outcome? If yes, what would it be? If not,why not?.....................................................................................15 points

Page 20

Policy And Politics In Nursing And Healthcare - Revised Reprint , 6th Edition Lecture Notes - Page 20 preview image

Loading page image...

Mason: Policy & Politics in Nursing and Health Care, 6th EditionUNIT 4: POLICY AND POLITICS IN THE WORKPLACE AND WORKFORCEAlma DixonHighly Recommended Chapters:Chapter 47: Policy and Politics in the Contemporary Work EnvironmentChapter 49: The Nursing WorkforceChapter 50: Nursing Education Policy: The Unending Debate over Entry into Practice andthe New Debate over Doctoral DegreesChapter 52: Global Nurse MigrationChapter 56: Workplace Abuse in Nursing: Policy StrategiesSuggested Chapters:Chapter 48: Quality and Safety in Health Care: Policy IssuesChapter 53: Nurse Staffing Ratios: Policy OptionsChapter 61: Collective Bargaining in NursingChapter 62: Workplace AdvocacyOptional Chapters:Chapter 51: The Politics of Advanced Practice NursingChapter 54:Taking Action:Aligning Care at the Bedside with the C-SuiteChapter55:TakingAction:When aHurricaneStrikes:TheChallengeofCraftingWorkplace PolicyChapter 57:Taking Action:Advocating for Nurses Injured in the WorkplaceChapter 58:Taking Action:Influencing the Workplace by Serving on a Hospital’s Board ofDirectorsChapter 59: The Intersection of Technology and Health Care: Policy and PracticeImplicationsChapter 60: The Influence of Magnet Recognition®on Organization and Workplace PolicyUNIT OVERVIEWUnit 4 discusses the importance of supporting a workplace culture that supports and rewardsefforts to provide safe and quality care. Included in the discussion are the importance ofteamwork and effective communication among team members. The use of technology is alsoincluded as a tool to improve patient safety, enhance quality outcomes, and reduce workloaddemands.The unit also discusses issues related to nursing and the contemporary workforce. There isdebate over entry into practice, the politics of advanced nursing practice, global nursemigration, workforce abuse, and collective bargaining.RELEVANCE FOR STUDENTS:This unit focuses on the realities of the workplace andthe issues new graduates will face upon entry into the workforce. The issues related to

Page 21

Policy And Politics In Nursing And Healthcare - Revised Reprint , 6th Edition Lecture Notes - Page 21 preview image

Loading page image...

UNIT 42workplace abuse and collective bargaining facilitate decision-making about the type ofenvironment for future employment. Chapters that center on the controversy surroundingglobal migration and the multiple access points to licensure prepare students for the diversityand possible conflict they will encounter in the workplace.LEARNING OBJECTIVES1.Define the interrelationship among quality care, health care teams, technology, andfinances in contemporary work environments.2.Discuss the impact of global migration on the nursing workforce.3.Discuss the implications of multiple access points to entry into practice.4.Define a workplace culture of safety.5.Examine issues related to staffing ratios and collective bargaining.TEACHING STRATEGIESWriting AssignmentPurpose:To provide the students with the experience of examining a contemporaryworkplace and determine the characteristics of a safe environment.Instructions:Have students choose a clinical site and complete the following assignment:1.Name the site.2.What is the organizational type (e.g., government, not-for-profit)?3.Describe the units/services within the organization.4.How is the organization financed?5.What insurance is accepted?6.What are the patient demographics?7.How is quality care defined? Is patient safety part of the definition? Is the term“evidenced-based practice” used in any definitions?8.How are quality patient outcomes defined and measured?9.Are awards/rewards given for excellence in patient care? If yes, how are the awardrecipients determined? To whom are the awards given?10.Does the environment facilitate communication within health care teams? If yes, howis this accomplished?11.What technology, if any, is employed in the practice setting? If yes, please giveexamples of how it is used.12.What part does nursing play in the selection, use, and evaluation of technology?13.Are there any policy changes you would suggest? If yes, what are they? If no, whynot?14.Would you seek employment in this institution or one like it?Evaluation CriteriaAfter selecting a clinical site, you will be evaluated on the following:1.An understanding of the organizational structure by answering the followingquestions………………………………………………………………………20 pointsa)What is the organizational type (e.g., government, not-for-profit, for-profit)?b)Describe the units/services within the organization.c)How is the organization financed?d)What insurance is accepted?

Page 22

Policy And Politics In Nursing And Healthcare - Revised Reprint , 6th Edition Lecture Notes - Page 22 preview image

Loading page image...

UNIT 432.An assessment of quality measurements and the impact on patient care by answering thefollowing questions ………………………………………………………25 pointsa)What are the patient demographics?b)How is quality care defined? Is patient safety part of the definition?c)How are quality patient outcomes defined and measured?d)Are awards/rewards given for excellence in patient care? If yes, how is it determined?To whom is it given?e)Does the environment facilitate communication within health care teams? If yes, howis this accomplished? What is the connection to quality care?f)Is the use of technology employed in the practice setting? If yes, explain how it isused. What is the connection to quality care?g)What part does nursing play in the selection, use, and evaluation of technology?3.An understanding of policy development in the workplace………………….. 25 points4.A well-written paper that incorporates your observations and the characteristics of thework environment in which you will seek employment…………………...30 pointsGroup ActivityPurpose:To provide the opportunity for students to explore the impact of nurse migration ofnurses to the U.S.Instructions:Divide the group into subgroups of 5 to 10 students for field trip exercise.Have students choose a clinical site and complete the following:Interview a nurse recruiter from one of your clinical sites where foreign-born nurses wereeither recruited in the past (within the last 10 years) or are currently recruited.Task 11.What is the institution’s policy on the recruitment of foreign-trained nurses?2.If the institution does not currently engage in foreign recruitment of nurses, why not?3.From what countries are/were the nurses recruited and why?4.How are/were credentials verified?5.What programs are/were in place to facilitate transition of these nurses into theUnited States workplace?6.Are/were programs on cultural competence incorporated into the orientation phase?Describe the audience for the programs.7.What impact did the recruitment of nurses have on the nurse-to-patient staff ratio?Task 2Research one of the countries from which the nurses were/are recruited.Is it a developing or industrialized nation?What is the health care system like in that country?What are the major health problems?What is the educational system for nurses?Is the country experiencing a nursing shortage?Task 3Based on tasks 1 and 2, develop a position paper on the recruitment of nurses from thesecountries. What policies do you suggest should be implemented or improved?

Page 23

Policy And Politics In Nursing And Healthcare - Revised Reprint , 6th Edition Lecture Notes - Page 23 preview image

Loading page image...

UNIT 44Evaluation CriteriaEach student in a group is expected to take part in the entire exercise; therefore, each studentin a group receives the same evaluation.Task 1: Impact of foreign nurse migration on an institution in the U.S. ………20 pointsTask 2: Impact of foreign nurse migration on “source countries”……………..20 pointsTask 3: Position paper that concisely states a well-documented position on foreign nurserecruitment …………………………………………………………………….30 pointsTask 4: Policies that are suggested to be implemented or improved…..….30 pointsGroup Activity:DebatePurpose:To provide students with the opportunity to practice the skill of researching atopic, forming a viewpoint, and debating that viewpoint.Instructions:Divide the class into groups depending on class size. Each group will choose apro and con subgroup to debate the following topics:Topic 1: Should multiple access points to the profession be allowed for entry into practice?Topic 2: Do reduced nurse-patient ratios improve patient care?Topic 3: Should nurses unionize?Ground Rules:1.All students in the group are expected to participate in the research, development, andpresentation of the debate position.2.Each student in the group will receive the same group evaluation.3.Select one person as the spokesperson to debate.4.Allow adequate time for positions (pro and con), rebuttal, and the summary.5.Suggest to set a time limit depending on the class length, for example, 1 hour; eachside would have a total of 30 minutes to present.Evaluation Criteria:1Poor5 points2Below Average6 points3Average7 points4Above Average8 points5Outstanding10 pointsOverview/summary of positionAnalysis of the issueSummary: Review of major points;statement of relevance to nursingpracticeQuality of presentation: Coherence,ability to follow points; quality oftransitions between pointsCreativityVerbal behavior: Clarity, choice ofwords, voice level to be convincingNonverbal behavior: Posture,gestures, eye contactTiming: Maintained time limit,used time providedRebuttal

Page 24

Policy And Politics In Nursing And Healthcare - Revised Reprint , 6th Edition Lecture Notes - Page 24 preview image

Loading page image...

UNIT 45Audience engagementGroup Activity:Brainstorming ExercisePurpose:To provide students with the opportunity to generate creative ideas in aspontaneous manner, identify the characteristics of a safe workplace and suggest policy toadvocate for a safe work environment.Instructions:Divide the class into groups of 5 to 10 students.Distribute the following questions:1.What constitutes a workplace culture of safety?2.How do you recognize workplace abuse?3.What policies should be implemented to prevent workplace abuse?Provide flip chart and markers.Explain the rules:1.Active participation by all students in the group is expected.2.Appoint a recorder to write all ideas exactly as stated on the poster board whereeveryone can see them.3.There are no comments that are silly or don’t make sense.4.There should be no discussion, criticisms, compliments, or other comments duringthe exercise.5.Set a time limit.6.After everyone has had a chance to express his or her ideas, clarify all comments tomake sure all students in the group understand. Remember to clarify the commentsonly, not make judgments about them.7.Compile the answers from each group into one document.At the end of the exercise, based on the comments, have students reflect on thecharacteristics they will look for in the place they select for employment.Evaluation CriteriaParticipation in the exercise……………………………………………………..40 pointsWillingness to listen without criticism……………………………………………30 pointsDemonstrate an understanding of the characteristics of a safe workplace…30 pointsOptional AssignmentWriting AssignmentPurpose:To provide students with the opportunity to select an area of interest and apply theknowledge about policy and politics in the workplace and workforce to their clinical practice,experience, and knowledge. Specify a length of the paper: 2 to 4 double spaced typed pagesUse each question as a heading for the paper.Instructions:Step 1: Student may select one of the following chapters:Chapter 54:Taking Action:Aligning Care at the Bedside with the C-SuiteChapter55:TakingAction:When aHurricaneStrikes:TheChallengeofCraftingWorkplace Disaster PolicyChapter 57:Taking Action:Advocating for Nurses Injured in the WorkplaceChapter 58:Taking Action:Influencing the Workplace by Serving on a Hospital’s Board ofDirectorsStep 2: Complete the following questions:

Page 25

Policy And Politics In Nursing And Healthcare - Revised Reprint , 6th Edition Lecture Notes - Page 25 preview image

Loading page image...

UNIT 461.Why did you select the chapter?2.What did you learn about the role of the nurse as an activist?3.What problems were encountered?4.What might you have done differently?5.What did you learn from the chapter about politics in the workplace and workforce?Evaluation CriteriaYou will be evaluated on your ability to apply the knowledge from the chapters inUnit4:Policy andPoliticsintheWorkplaceandWorkforceby answering the following questions:1.Why did you select the chapter?………………………………15 points2.What did you learn about the role of the nurse as an activist?……25 points3.What problems were encountered?………………………….15 points4.What might have you done differently?......................................15 points5.What did you learn from the chapter about politics in the workplace andworkforce?....................................................................................30 points

Page 26

Policy And Politics In Nursing And Healthcare - Revised Reprint , 6th Edition Lecture Notes - Page 26 preview image

Loading page image...

Mason: Policy & Politics in Nursing and Health Care, 6th EditionUNIT 5: POLICY AND POLITICS IN THE GOVERNMENTAlma DixonHighly Recommended Chapters:Chapter 63: Contemporary Issues in GovernmentChapter 65: An Overview of Legislation and RegulationChapter 66: Nursing Licensure and RegulationChapter 73: The American Voter and the Electoral ProcessSuggested Chapters:Chapter 67: Regulating Industrial Chemicals to Protect the Environment and Human HealthChapter 72: Nursing and the CourtsOptional Chapters:Chapter 64: How Government Works: What You Need to Know to Influence the ProcessChapter 68: Lobbying Policymakers: Individual and Collective StrategiesChapter 69:Taking Action:An Insider’s View of LobbyingChapter 70: Political AppointmentsChapter 71:Taking Action:Influencing Policy as a Member of the San Francisco HealthCommissionChapter 74:Taking Action:Anatomy of a Political CampaignChapter 75:Taking Action:Nurses for Obama: My Advocacy and Experience on theCampaign TrailChapter 76: Is There a Nurse in the House? The Nurses in the United States CongressChapter 77:Taking Action:Nurse, Educator, and Legislator: My Journey to the DelawareGeneral AssemblyChapter 78:Taking Action:Into the Rabbit Hole: My Journey to Service on a City CouncilChapter79:TakingAction:TruthorDare: OneNurse’sPoliticalCampaignChapter 80:Political Activity:Different Rules for Government-Employed NursesUNIT OVERVIEWThe unit begins with a detailed review of the passage of thePatient Protection andAffordable Care Act. The information is described within a framework that provides studentswith the opportunity to learn about the complex, often contentious processes that areinvolved in a major health care reform. It also discusses the functioning and relationshipamong the federal, state, and local levels of government and the influential role nursing canplay in the process.RELEVANCE FOR STUDENTS:As beginning practitioners and concerned citizens,students need the depth andbreadth of knowledge to understand this major piece oflegislation that will impact health care as they begin their careers. In addition, as students

Page 27

Policy And Politics In Nursing And Healthcare - Revised Reprint , 6th Edition Lecture Notes - Page 27 preview image

Loading page image...

UNIT 52engage in practice, they need to understand the functioning of thefederal, state, and locallevels of government and how they may advocate for change. Finally, as they practice, theyneed to know the functioning of the Board of Nursing and the legal and judicial system.LEARNING OBJECTIVES1.Describe the interdependence of politics, including diverse perspectives, sharedvalues, and the passage of health care reform.2.Cite the relationship and functioning among thefederal, state, and local levels ofgovernment and how nursing can have an influence.3.Identify the nursing licensure and regulation functions of a Board of Nursing (BON).4.Describe the legal and judicial system and the role of the courts in shaping policy.5.Describe the electoral process and the importance of voting.TEACHING STRATEGIESWriting AssignmentPurpose:To have students explore the current status of health care reform.Instructions:Have students access the Websitehttp://www.healthcare.org/,select the statein which they will reside and seek employment, and answer the following questions:1.What does the Website reveal about health insurance in the state?2.What is listed about general health statistics of population in the state?3.What is the state’s health ranking?4.Does the ranking have any correlation to health insurance?5.What are the health highlights?6.What health statistics surprise you?7.Would you be able to access a health insurance price quote? If yes, what guidelinesare provided? If not, why not?8.List the state legislator(s) that sit(s) on the health committee.9.What is the state’s position on health care reform? What is/was the support forreform? Is the debate ongoing?10.What do you anticipate will be the influence of health care reform on your practice inthis state?Evaluation CriteriaYou will be evaluated on your ability to research health insurance in the state you select andcomprehensively answer the following questions:1.What does the Website reveal about health insurance in the state?......10 points2.What is listed about general health statistics of population in thisstate?...................................................5 points3.What is the state’s health ranking?...........................................................5 points4.Does the ranking have any correlation to the number of people reported to havehealth insurance?……………10 points5.What are the highlights of health for the people in thestate?................................................................5 points6.What health statistics surprised you? 5 points7.Would you be able to access a health insurance quote? If yes, what guidelines areprovided? If not, why not?..................................................................10 points8.Locate the state legislator(s) that sit(s) on the health committee…………..5 points

Page 28

Policy And Politics In Nursing And Healthcare - Revised Reprint , 6th Edition Lecture Notes - Page 28 preview image

Loading page image...

UNIT 539.What is their position on health care reform? What is/was the support for reform? Isthe debate ongoing? …………………………………………..20 points10.What do you anticipate will be the influence of health care reform on your practice inthe state? …………………………………………………………………...25 pointsWriting ExercisePurpose:To provide the opportunity for students to analyze the political process by tracing apiece of legislation.Instruction:Have students identify a bill that relates to health care, a social issue, or nursingpractice, and answer the following questions:1.State the legislation.2.Who introduced/sponsored the bill?3.Why did the person introduce it?4.Where was it introduced?5.Who helped to draft the legislation?6.Was nursing involved?7.Which committees were involved?8.Was it authorized?9.Was it appropriated?10.Did it make it out of committee?11.Was it enacted?12.What is the impact on health care or nursing practice?Evaluation CriteriaYou will be evaluated on your ability to identify a piece of legislation and answer thefollowing questions:1.State the legislation. ………………………………………..….10 points2.Who introduced/sponsored the bill?………………………..….5 points3.Why did the person introduce it?.........................................10 points4.Where was it introduced?......................................................5 points5.Who helped to draft the legislation?.....................................10 points6.Was nursing involved?.........................................................10 points7.Which committees were involved?........................................5 points8.Was it authorized?............................................................... 5 points9.Was it appropriated? …………………………………..……….5 points10.Did it make it out of committee?.............................................5 points11.Was it enacted?.......................................................................5 points12.What is the impact on health care or nursing practice?........25 pointsGroup ExercisePurpose:To provide students with the opportunity to observe a state Board of Nursing(BON) meeting and explore how it protects the welfare and safety of citizens and regulatesthe practice of nursing.Instructions:Provide an opportunity for students to observe a state Board of Nursing (BON)meeting. Prepare for the meeting by having them gather the following information and handin the written responses prior to the meeting:

Page 29

Policy And Politics In Nursing And Healthcare - Revised Reprint , 6th Edition Lecture Notes - Page 29 preview image

Loading page image...

UNIT 541.What is the structure and authority of the BON?2.What is the composition of the BON?3.What is the code of conduct as described in the Nurse Practice Act?4.What is the method of addressing complaints about individual nurses?5.How is professional misconduct defined?6.Is there a distinction between intentional misconduct and inevitable human error? Ifyes, how is it defined? If not, what policy change would you suggest?7.What are the sanctions for misconduct?8.What are the privacy and confidentiality provisions of the administrative statutes?9.How do nurses remain in good standing?Evaluation CriteriaWritten AssignmentPrior to the BON meeting, you are required to submit the answers to the following:1.What is the structure and authority of the BON?...........................................5 points2.What is the composition of the BON?............................................................5 points3.What is the code of conduct as described in the Nurse Practice Act?…………………...5 points4.What is the method of addressing complaints about individual nurses? …...5 points5.How is professional misconduct defined?.............................................5 points6.Is there a distinction between intentional misconduct and inevitable human error? Ifyes, how is it defined? If not, what policy change would you suggest?..........10 points7.What are the sanctions for misconduct?..........................................5 points8.What are the privacy and confidentiality provisions of the administrative statutes?…5 points9.How do nurses remain in good standing?…………………………………5 points10.Attendance at the BON Meeting……………………………………………..50 pointsWriting ExercisePurpose:To provide an opportunity for students to explore the position of a politicalcandidate as it relates to a health care issue.Instructions:Have students choose a health care issue that concerns them as a beginningnurse practitioner, and complete the following:1.State the issue.2.Identify a political candidate who shares your interest.3.How might you support that candidate?4.Write a letter to the candidate stating your support for his or her position.Evaluation CriteriaYou will be evaluated on the following criteria:1.Ability to identify a health care issue…………………………….20 points2.Ability to identify a political candidate’s position………………..20 points3.Ability to determine a method to demonstrate support of the candidate…25 points4.Ability to write a thorough, concise letter that clearly states well-documented reasonsfor your support…………………………………………..35 points

Page 30

Policy And Politics In Nursing And Healthcare - Revised Reprint , 6th Edition Lecture Notes - Page 30 preview image

Loading page image...

UNIT 55Optional ExerciseWriting AssignmentPurpose:To provide the opportunity for studentsto select an area of interest in policy andpolitics in the government and apply the knowledge to their clinical practice or experience.Instructions:Step 1: Student may select one of the following chapters:Chapter 69:Taking Action:An Insider’s View of LobbyingChapter 71:Taking Action:Influencing Policy as a Member of the San Francisco HealthCommissionChapter 74:Taking Action:Anatomy of a Political CampaignChapter 75:Taking Action:Nurses for Obama: My Advocacy and Experience on theCampaign TrailChapter 77:Taking Action:Nurse, Educator, and Legislator: My Journey to the DelawareGeneral AssemblyChapter 78:Taking Action:Into the Rabbit Hole: My Journey to Service on a City CouncilChapter79:TakingAction:TruthorDare: OneNurse’sPoliticalCampaignStep 2: Complete the following questions:1.Why did you select the chapter?2.What did you learn about the role of the nurse as an activist?3.What problems were encountered?4.What might you have done differently?5.How does it relate to your practice in the future?Evaluation CriteriaYou will be evaluated on your ability to apply the knowledge from the chapters inUnit5:PolicyandPoliticsintheGovernment by answering the following questions:1.Why did you select the chapter?…………..15 points2.What did you learn about the role of the nurse as an activist?……25 points3.What problems were encountered?…………………………… 15 points4.What might have you done differently?....................................15 points5.How does it relate to your practice in the future?.........30 points

Page 31

Policy And Politics In Nursing And Healthcare - Revised Reprint , 6th Edition Lecture Notes - Page 31 preview image

Loading page image...

Mason: Policy & Politics in Nursing and Health Care, 6th EditionUNIT 6: POLICY AND POLITICS IN ASSOCIATIONS AND INTEREST GROUPSAlma DixonHighly Recommended Chapters:Chapter 82: Current Issues in Nursing AssociationsChapter 83: Professional Nursing Associations: Meeting Needs of Nurses and the ProfessionSuggested Chapters:Chapter 81: Interest Groups in Health Care Policy and PoliticsChapter 86: Coalitions: A Powerful Political StrategyChapter 90: The Politics of the Pharmaceutical IndustryOptional Chapters:Chapter 84:Taking Action:The Center to Champion Nursing in America: MobilizingConsumers and Other StakeholdersChapter 85:Taking Action:The Raise the Voice Campaign: Nurse-Led InnovationsChanging Public PolicyChapter 87:Taking Action:A Rough Road in Texas: Advanced Practice Nurses Build aStrong CoalitionChapter 88:Taking Action:The National Coalition for Lesbian, Gay, Bisexual, andTransgender HealthChapter 89:Taking Action:The Virginia Nursing Kitchen CabinetUNIT OVERVIEWThe unit discusses the role of nursing associations, including the problems associated withmembership and involvement in collective bargaining. A detailed review of the structure andfunctioning of nursing associations provides the criteria to direct a student’s choice aftergraduation.RELEVANCE FOR STUDENTS:As future practitioners who will belong to theprofession, students need to understand the role of nursing associations, including providingcontinuing education credits, being a place to volunteer in an area of interest, and supportinga collective voice to advance the profession and health care.LEARNING OBJECTIVES1.Explain the need for nursing associations.2.Review the impact of collective bargaining on membership and revenues.3.Define the benefits of organizational engagement in nursing associations.4.Review the components of successful coalition building, maintenance, and success.TEACHING STRATEGIES
Preview Mode

This document has 130 pages. Sign in to access the full document!

Study Now!

XY-Copilot AI
Unlimited Access
Secure Payment
Instant Access
24/7 Support
Document Chat

Document Details

Related Documents

View all