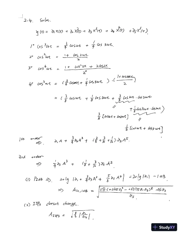
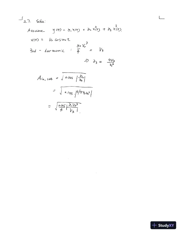
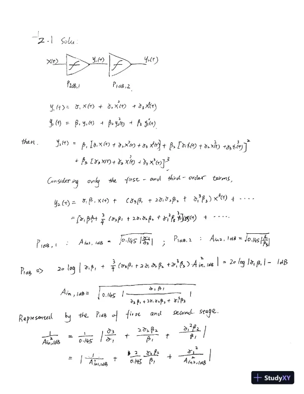
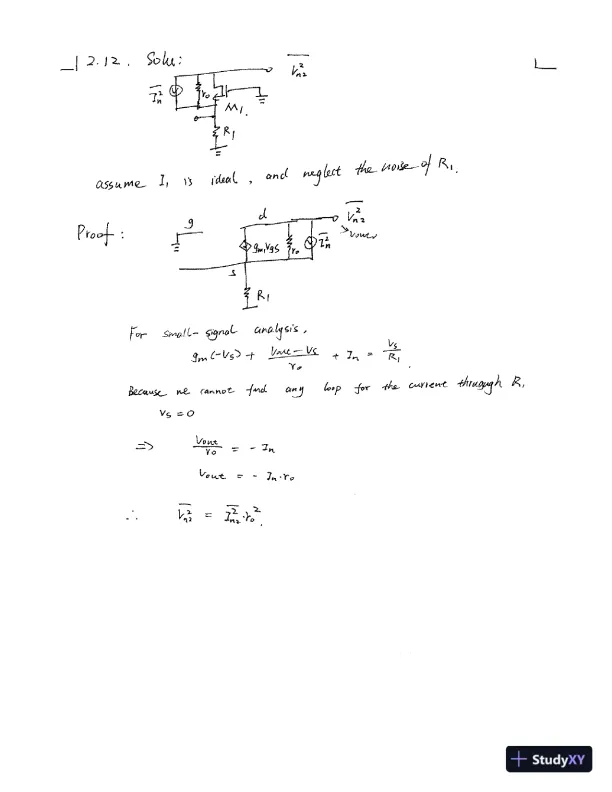
Page 1

Loading page ...
Solution Manual For Rf Microelectronics, 2nd Edition is your go-to resource for solving complex textbook problems with clear solutions and explanations.

Loading page ...
This document has 208 pages. Sign in to access the full document!