Solution Manual for Signals and Systems, 3rd Edition

Solution Manual for Signals and Systems, 3rd Edition is an essential tool for reviewing textbook material efficiently.

Claire Mitchell
Contributor
4.1
54
5 months ago
Preview (16 of 710 Pages)
100%
Purchase to unlock

Page 1

Solution Manual for Signals and Systems, 3rd Edition - Page 1 preview image

Loading page image...

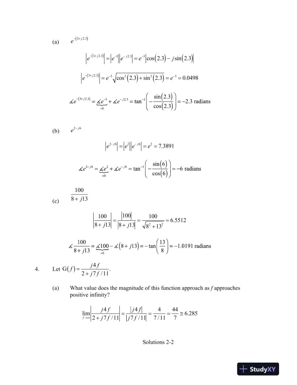
Solutions 2-1Chapter 2-Mathematical Description ofContinuous-Time SignalsSolutionsExercises With Answers in TextSignal Functions1.Ifgt 7e2t3write out and simplify(a)g 3 7e98.6387104(b)g 2t7e2 2t37e72t(c)gt/1047et/511(d)gjt7ej2t3(e)gjtgjt27e3ej2tej2t27e3cos 2t0.3485 cos 2t(f)gjt32 gjt3227ejtejt27 cost 2.Ifgxx24x4write out and simplify(a)gz z24z4(b)guvuv24uv4u2v22uv4u4v4(c)gejtejt24ejt4ej2t4ejt4ejt22(d)g gt gt24t4t24t424t24t44g gt t48t320t216t4(e)g 248403.Findthe magnitudes and phases of these complex quantities.

Page 2

Solution Manual for Signals and Systems, 3rd Edition - Page 2 preview image

Loading page image...

Page 3

Solution Manual for Signals and Systems, 3rd Edition - Page 3 preview image

Loading page image...

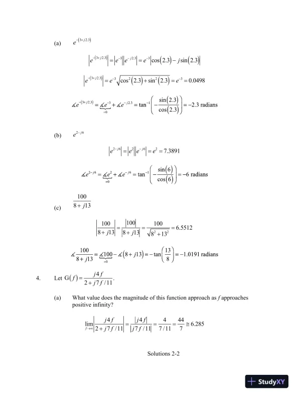
Solutions 2-2(a)e3j2.3e3j2.3e3ej2.3e3cos 2.3jsin 2.3e3j2.3e3cos22.3sin22.3e30.0498(b)e2j6e2j6e2ej6e27.3891(c)1008j131008j131008j13100821326.55124.LetGfj4f2j7f/11.(a)What value does the magnitude of this function approach asfapproachespositive infinity?limfj4f2j7f/11j4fj7f/1147 /114476.285

Page 4

Solution Manual for Signals and Systems, 3rd Edition - Page 4 preview image

Loading page image...

Solutions 2-3(b)What value (in radians) does the phase of this function approach asfapproaches zero from the positive side?limf0j4f2j7f/11limf0j4f2/ 20/ 25.LetXfjfjf10(a)Find the magnitudeX 4and the anglein radiansXfjfjf10X 4j4j4104ej/210.77ej0.38050.3714ej1.19X 40.3714(b)What value (in radians) doesapproach asfapproaches zero fromthe positive side?Shifting and Scaling6.Foreach functiongt graphgt,gt ,gt1, andg 2t.(a)(b)tg(t)24tg(t)1-13-3tg(-t)-24tg(-t)1-13-3t-g(t)24t-g(t)1-13-3

Page 5

Solution Manual for Signals and Systems, 3rd Edition - Page 5 preview image

Loading page image...

Solutions 2-47.Find the values of thefollowing signals at the indicated times.(a)xt 2rectt/ 4, x12rect1/ 42(b)xt 5rectt/ 2sgn 2t, x 0.55rect 1/ 4sgn 1 5(c)xt 9rectt/10sgn 3t2,x 1 9rect 1/10sgn3 98.For each pair of functions in Figure E-8provide the values of the constantsA,t0andwin the functional transformationg2t Ag1tt0/w.Figure E-8Answers:(a)A2,t01,w1, (b)A 2,t00,w1/ 2,(c)A 1/ 2,t0 1,w29.For each pair of functions in Figure E-9provide the values of the constantsA,tg(t-1)314tg(t-1)123-3tg(2t)14tg(2t)13-3212--4-2024-2-1012tg1(t)(a)-4-2024-2-1012tg2(t)(a)-4-2024-2-1012tg1(t)(b)-4-2024-2-1012tg2(t)(b)-4-2024-2-1012tg1(t)(c)-4-2024-2-1012tg2(t)(c)

Page 6

Solution Manual for Signals and Systems, 3rd Edition - Page 6 preview image

Loading page image...

Solutions 2-5t0andain the functional transformationg2t Ag1w tt0.(a)Amplitude comparison yieldsA2. Time scale comparison yieldsw 2.g222g12 2t02g10 42t00t02(b)Amplitude comparison yieldsA3. Time scale comparison yieldsw2.g223g12 2t03g1042t00t02(c)Amplitude comparison yieldsA 3. Time scale comparison yieldsw1/ 3.g20 3g11/ 30t0 3g12 t0/ 32t0 6ORAmplitude comparison yieldsA 3. Time scale comparison yieldsw 1/ 3.g23  3g11/ 33t0 3g10t0/ 310t03-10-50510-8-4048tg1(t)-10-50510-8-4048A= 2,t0= 2,w= -2tg2(t)g1(t)A= 3,t0= 2,w= 2g2(t)-10-50510-8-4048t-10-50510-8-4048tg1(t)A= -3,t= -6,w= 1/30g2(t)-10-50510-8-4048t-10-50510-8-4048t

Page 7

Solution Manual for Signals and Systems, 3rd Edition - Page 7 preview image

Loading page image...

Solutions 2-6(d)Amplitude comparison yieldsA 2. Time scale comparison yieldsw1/ 3.g24 2g11/ 34t0 3g12 t0/ 34 / 32t0 2(e)Amplitude comparison yieldsA3. Time scale comparison yieldsw1/ 2.g203g11/ 20t03g11  t0/ 21t0 2Figure E-910.In FigureE-10is plotted afunctiong1t which is zero for all time outside therange plotted. Let some other functions be defined byg2t 3g12t,g3t  2g1t/ 4,g4t g1t32Find these values.(a)g21  3(b)g31 3.5(c)g4t g3t t232 1 32(d)g4t dt31The functiong4t is linear between the integration limits and the area under it isa triangle. The base width is 2 and the height is-2. Therefore the area is-2.g4t dt31 2g1(t)0g2(t)-10-50510-8-4048t-10-50510-8-4048tA= -2,t= -2,w= 1/3g1(t)g2(t)-10-50510-8-4048t-10-50510-8-4048t0A= 3,t= -2,w= 1/2

Page 8

Solution Manual for Signals and Systems, 3rd Edition - Page 8 preview image

Loading page image...

Solutions 2-7Figure E-1011.A functionGfis defined byGfej2frectf/ 2.GraphthemagnitudeandphaseofGf10Gf10overtherange,20f20.First imagine whatGflooks like. It consists of a rectangle centered atf0ofwidth, 2, multiplied by a complex exponential.Therefore for frequencies greaterthan one in magnitude it is zero.Its magnitude is simply the magnitude of therectangle function because the magnitude of the complex exponential is one foranyf.ej2fcos2fjsin2fcos 2fjsin 2fej2fcos22fsin22f1The phase (angle) ofGfis simply the phase of the complex exponentialbetweenf 1andf1and undefined outside that range because the phase ofthe rectangle function is zero betweenf 1andf1and undefined outside thatrange and the phase of a product is the sum of the phases.The phase of thecomplex exponential isej2fcos 2fjsin 2ftan1sin 2fcos 2f tan1sin 2fcos 2fej2f tan1tan 2fThe inverse tangent function is multiple-valued.Therefore there are multiplecorrect answers for this phase. The simplest of them is found by choosingej2f 2ftg (t)1-1-2-3-42341234-4-3-2-11

Page 9

Solution Manual for Signals and Systems, 3rd Edition - Page 9 preview image

Loading page image...

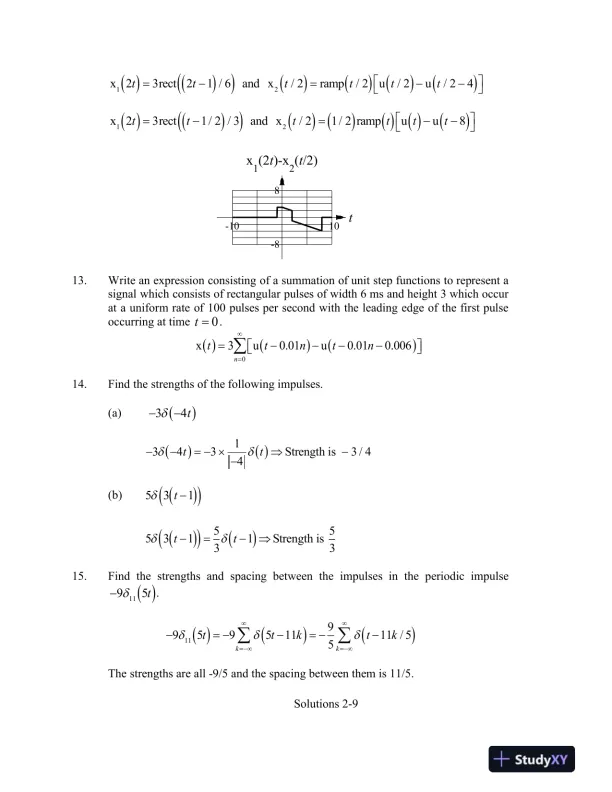
Solutions 2-8which is simply the coefficient ofjin the original complex exponential expression.A more general solution would beej2f 2f2n,nan integer.Thesolution of the original problem is simply this solution except shifted up and downby 10 infand added.Gf10Gf10ej2f10rectf102 ej2f10rectf10212.Letx1t 3rectt1/ 6andx2t rampt ut ut4.(a)Graph them in the time range10t10. Put scale numbers onthe vertical axis so that actual numerical values could be read fromthegraph.(b)Graphxt x12tx2t/ 2in the time range10t10. Putscale numbers on the vertical axis so that actual numerical valuescould be read from the graph.t-1010x1(t)-66t-1010x2(t)-66

Page 10

Solution Manual for Signals and Systems, 3rd Edition - Page 10 preview image

Loading page image...

Solutions 2-9x12t3rect2t1/ 6andx2t/ 2rampt/ 2ut/ 2ut/ 24x12t3rectt1 / 2/ 3andx2t/ 21 / 2rampt ut ut813.Writean expression consisting of a summation of unit step functions to represent asignal which consists of rectangular pulses of width 6 ms and height 3 which occurat a uniform rate of 100 pulses per second with the leading edge of the first pulseoccurring at timet0.xt 3ut0.01nut0.01n0.006n014.Find thestrengthsof thefollowingimpulses.(a)3 4t3 4t 314t Strength is3 / 4(b)53t153t153t1Strength is 5315.Find thestrengthsand spacing betweenthe impulses in the periodic impulse9115t.9115t 95t11kk 95t11k/ 5kThe strengths are all-9/5 and the spacing between them is 11/5.t-1010x1(2t)-x2(t/2)-88

Page 11

Solution Manual for Signals and Systems, 3rd Edition - Page 11 preview image

Loading page image...

Solutions 2-10Derivatives and Integrals of Functions16.Graph the derivative ofxt 1etut .This function is constant zero for all time before time,t0, therefore itsderivative during that time is zero. This function is a constant minus a decayingexponential after time,t0, and its derivative in that time is therefore apositive decaying exponential.xt et,t00,t0Strictly speaking, its derivative is not defined at exactlyt0. Since the value of aphysical signal at a single point has no impact on any physical system (as long as itis finite) we can choose any finite value at time,t0, without changing the effectof this signal on any physical system.If we choose 1/2, then we can write thederivative asxt etut .Alternate Solution using the chain rule of differentiation and the fact that theimpulse occurs at timet0.ddtxt 1et0 fort0t etut etut 17.Find thenumerical value of each integral.(a)u 4tdt211dt246(b)t324tdt18t-14x(t)-11t-14dx/dt-11

Page 12

Solution Manual for Signals and Systems, 3rd Edition - Page 12 preview image

Loading page image...

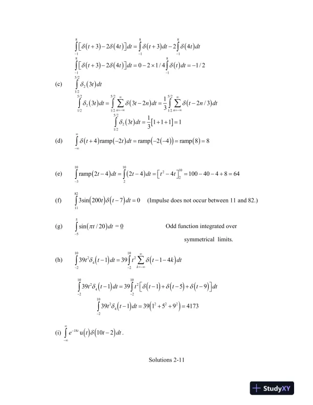
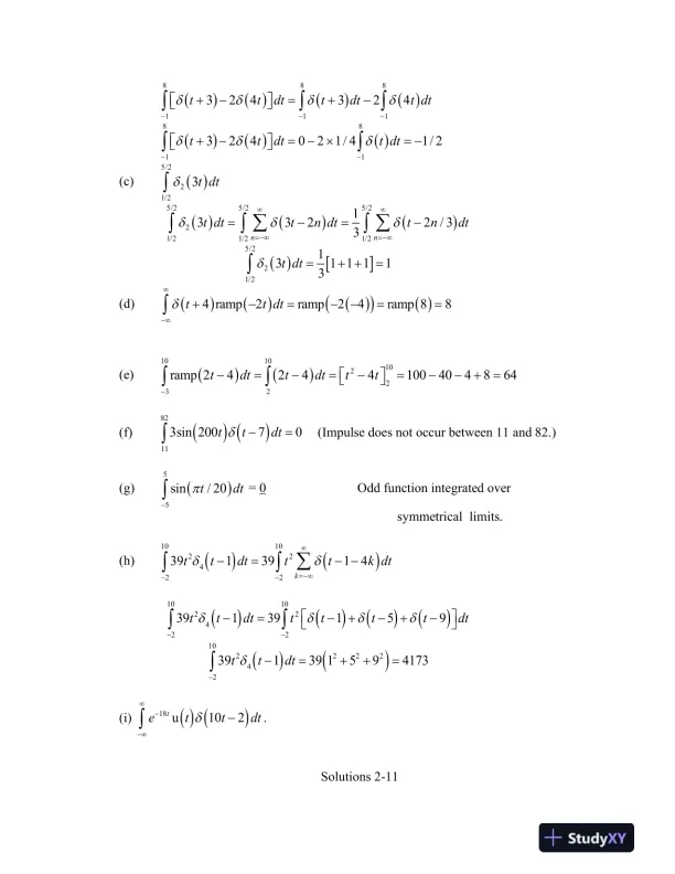
Solutions 2-11t324tdt18t3dt1824tdt18t324tdt18021/ 4t dt18 1/ 2(c)23tdt1/25/223tdt1/25/23t2nndt1/25/213t2n/ 3ndt1/25/223tdt1/25/213 1111(d)t4ramp2tdtramp24ramp 88(e)ramp 2t4dt3102t4dt210t24t210100404864(f)3sin 200tt7dt11820(Impulse does not occur between 11 and 82.)(g)sint/ 20dt55=0Odd function integrated oversymmetrical limits.(h)39t24t1dt21039t2t14kkdt21039t24t1dt21039t2t1t5t9dt21039t24t1dt21039 1252924173(i)e18tut 10t2dt.

Page 13

Solution Manual for Signals and Systems, 3rd Edition - Page 13 preview image

Loading page image...

Solutions 2-12e18tut 10t2dte18tut 10t1/ 5dtUsing the scaling property of the impulse,e18tut 10t2dt110e18tut t1/ 5dtUsing the sampling property of theimpulse,e18tut 10t2dt110e18/50.002732(j)9t4/ 5dt2945t4dt2945(k)53t4dt6353t4dt630(l)ramp 3tt4dtramp 3412(m)3t cos 2t/ 3dt117The impulses in the periodic impulse occur at ...-9,-6,-3,0,3,6,9,12,15,18,...At each of these points the cosine value is the same, one, because itsperiod is 3 seconds also. So the integral value is simple the sum of thestrengths of the impulse that occur in the time range, 1 to 17 seconds3t cos 2t/ 3dt117518.Graph the integral from negative infinity to timetof the functions in Figure E-18which are zero for all timet0.This is the integralgdtwhich, in geometrical terms, is the accumulatedarea under the functiongt from timeto timet.For the case of the twoback-to-back rectangular pulses, there is no accumulated area until after timet0and then in the time interval0t1the area accumulates linearly with time up to

Page 14

Solution Manual for Signals and Systems, 3rd Edition - Page 14 preview image

Loading page image...

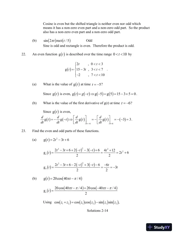
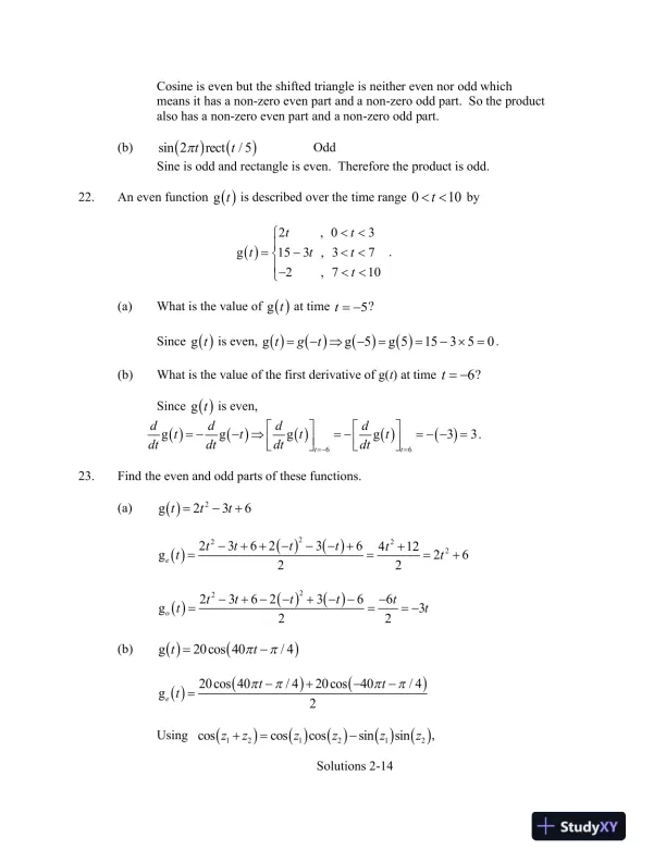
Solutions 2-13a maximum area of one at timet1. In the second time interval1t2the areais linearly declining at half the rate at which it increased in the first time interval0t1down to a value of 1/2 where it stays because there is no accumulation ofarea fort2.In the second case of the triangular-shaped function, the area does not accumulatelinearly, but rather non-linearly because the integral of a linear function is asecond-degree polynomial.The rate of accumulation of area is increasing up totimet1and then decreasing (but still positive) until timet2at which time itstops completely. The final value of the accumulated area must be the total area ofthe triangle, which, in this case, is one.Figure E-1819.If4ut5ddtxt , what is the functionxt ?xt 4rampt5Generalized Derivative20.The generalized derivative of18 rectt23consists of two impulses.Find their numerical locations andstrengths.Impulse #1:Location ist= 0.5 and strength is 18.Impulse #2:Location ist= 3.5 and strength is-18.Even and Odd Functions21.Classify the following functions as even, odd or neither .(a)cos 2ttrit1Neitherg(t)t112312g(t)t1123g(t) dtg(t) dtt112312t1123

Page 15

Solution Manual for Signals and Systems, 3rd Edition - Page 15 preview image

Loading page image...

Solutions 2-14Cosine is even but the shifted triangle is neither even nor odd whichmeans it has a non-zero even part and a non-zero odd part. So the productalso has a non-zero even part and a non-zero odd part.(b)sin 2trectt/ 5OddSine is odd and rectangle is even. Therefore the product is odd.22.Aneven functiongt is described over the time range0t10bygt 2t, 0t3153t, 3t72, 7t10.(a)What is the value ofgt at timet 5?Sincegt is even,gt gtg5g 515350.(b)What is the value of the first derivative of g(t) at timet 6?Sincegt is even,ddtgt  ddtgtddtgt t6 ddtgt t6  33.23.Find the even and odd parts of these functions.(a)gt 2t23t6get 2t23t62t23t624t21222t26got 2t23t62t23t626t2 3t(b)gt 20cos 40t/ 4get 20 cos 40t/ 420 cos40t/ 42Usingcosz1z2cosz1cosz2sinz1sinz2,

Page 16

Solution Manual for Signals and Systems, 3rd Edition - Page 16 preview image

Loading page image...

Solutions 2-15get 20 cos 40tcos/ 4sin 40tsin/ 420 cos40tcos/ 4sin40tsin/ 42get 20 cos 40tcos/ 4sin 40tsin/ 420 cos 40tcos/ 4sin 40tsin/ 42get 20 cos/ 4cos 40t20 /2cos 40tgot 20 cos 40t/ 420 cos40t/ 42Usingcosz1z2cosz1cosz2sinz1sinz2,got 20 cos 40tcos/ 4sin 40tsin/ 420 cos40tcos/ 4sin40tsin/ 42got 20 cos 40tcos/ 4sin 40tsin/ 420 cos 40tcos/ 4sin 40tsin/ 42got 20sin/ 4sin 40t20 /2sin 40t(c)gt 2t23t61tget 2t23t61t2t23t61t2get 2t23t61t2t23t61t1t1t2
Preview Mode

This document has 710 pages. Sign in to access the full document!

Study Now!

XY-Copilot AI
Unlimited Access
Secure Payment
Instant Access
24/7 Support
Document Chat

Related Documents

View all