Consumer Behavior, 12th Edition Solution Manual

Get immediate access to clear and precise solutions with Consumer Behavior, 12th Edition Solution Manual.

Henry Martinez
Contributor
4.7
71
9 months ago
Preview (31 of 295 Pages)
100%
Purchase to unlock

Page 1

Consumer Behavior, 12th Edition Solution Manual - Page 1 preview image

Loading page image...

Consumer Behavior12eLeon SchiffmanJoseph WisenblitInstructor’s Resource ManualforConsumer BehaviorChristy Ashley

Page 2

Consumer Behavior, 12th Edition Solution Manual - Page 2 preview image

Loading page image...

Page 3

Consumer Behavior, 12th Edition Solution Manual - Page 3 preview image

Loading page image...

CHAPTER 1Consumer Behaviorand TechnologyLEARNING OBJECTIVESAfter reading, studying and analyzing this chapter, students should be able:1.1To understand the evolution of the marketing concept, what consumer behavior is,and the components of strategic marketing.1.2To understand how technology has benefited both marketers and consumers.1.3To understand providing value and satisfaction and how technology has enhancedcustomer loyalty and retention.1.4To understand marketers’ social and ethical responsibilities.1.5To understand consumer decision-making as the foundation of this book.1.6To explain how the knowledge of consumer behavior advances seeking employmentafter graduation.CHAPTER SUMMARYLearning Objective 1.1:To understand the evolution of the marketing concept, whatconsumer behavior is, and the components of strategic marketing.Marketing is the activity, set of institutions, and processes for creating, communicating,delivering, and exchanging offerings that have value for customers, clients, partners, andsociety. Consumerbehavior consists of consumers’ actions taken while searching for,purchasing, using, evaluating, and disposing of products and services that they expectwill satisfy their needs. Consumer behavior influences how marketers can communicateand deliver products that offer value to customers and society and explains howindividuals make decisions to spend their available resources on products and services.Marketing and consumer behavior stem from the marketing concept, which maintainsthat the essence of marketing consists ofsatisfying consumers’ needs, creating value, andretaining customers. Companies must produce only those goods they have alreadydetermined that consumers will buy. Marketing myopia is a focus on the product ratherthan on the needs that the product presumes to satisfy.The marketing mix (also known as the four Ps) consists of product, price, place(distribution), and promotion. Market segmentation, targeting, and positioning are thefoundation of turning consumers into customers. Market segmentation is the process ofdividing a market into subsets of consumers who share common needs or characteristics.Targeting means selecting the segments that the company views as prospective customersand pursuing them. Positioning is the process by which a company creates a distinctimage and identity for its products, services, and brands inconsumers’ minds. Thesocietal marketing concept requires marketers to fulfill the needs of their target marketsin ways that improve,preserve, and enhance society’s well-being and simultaneously

Page 4

Consumer Behavior, 12th Edition Solution Manual - Page 4 preview image

Loading page image...

meet their business objectives.Learning Objective 1.2:To understand how technology has benefited both marketersand consumers.Technology has revolutionized the marketing mix, segmentation, targeting, positioning,and customer retention. When consumers use their computers, cell phones, electronicreaders, tablets, and other electronic devices, they provide marketers with the kind ofinformation that enables companies to target them immeasurably more effectively thanduring the pre-internet days. Online technologiescreate a “value exchange:” marketersprovide value to consumers in the form of information, opportunities to customizeproducts easily, entertainment content, and much more. While online, consumersprovide value to marketers by “revealing themselves,” therebyenabling companies tomarket their products more efficiently and precisely. Surfing online allows consumers tolocate the best prices for products or services, bid on various offerings, bypassdistribution outlets and middlemen, and shop for goods around the globe and around theclock. Online communication abilities have created sophisticated and discerningconsumers who are hard to attract, satisfy, and retain. More than ever before, marketersmust customize their products, add value to the physical product or the core of a service,provide the right benefits to the right consumer segments, and position their productseffectively.Technology also enables marketers to refine their strategies because they can readilycustomize their offerings and promotional messages, offer more effective pricing andshorter distribution channels, and build long-term relationships with customers. By usingrapidly advancing technologies to track consumers, marketers can identify opportunitiesfor creating new offerings, as well as improving and extending existing products andservices. They can gather comprehensive consumer information by tracking consumersonline, requiring prospective buyers to register at their websites, and combining thisknowledge with demographic and lifestyle data gathered offline.Learning Objective 1.3:To understand providing value and satisfaction and howtechnology has enhanced customer loyalty and retention.Customer value is the ratio between customers’ perceived benefitsand the resources theyuse to obtain those benefits. Customer satisfactionis customers’ perceptions of theperformance of the product or service in relation to their expectations. Customer retentioninvolves turning individual consumer transactions into long-term customer relationshipsby making it in the best interests of customers to stay with the company rather thanswitch to another firm.It is more expensive to win new customers than to retain existing ones. Technologiesallow marketers to retain more customers and collect highly sophisticated data aboutshoppers’ preferencesand post-purchase evaluations. Consumers who are highly satisfied

Page 5

Consumer Behavior, 12th Edition Solution Manual - Page 5 preview image

Loading page image...

or delighted keep buying the same products and brands, provide positive word-of-mouthto others, and often become “customersfor life.” Those who are less satisfied or feelneutral either switch to a competitor immediately or wait until another marketer offersthem a somewhat lower price and then switch. Dissatisfied customers spread negativeand often exaggerated word-of-mouth. Internal marketing is marketing the organizationto its personnel.Learning Objective 1.4:To understand marketers’ social and ethical responsibilities.The marketing conceptfulfilling the needs of target audiencesis shortsighted. Someproducts that satisfy customer needs are harmful to individuals and society, and otherscause environmental deterioration. Studying consumer behavior results in anunderstanding of why and how consumers make purchase decisions. The societalmarketing concept requires marketers to fulfill the needs of the target audience in waysthat improve, preserve, and enhancesociety’s well-being while simultaneously meetingtheir business objectives.Learning Objective 1.5:To understand consumer decision-making as the foundation ofthis book.Consumer behavior stems from four disciplines: (1) psychology, which is the study of thehuman mind and the mental factors that affect behavior; (2) sociology, which is the studyof the development, structure, functioning, and problems of human society; (3)anthropology, which compares human societies’ cultures and development;and (4)communication, which is the process of imparting or exchanging information.The process of consumer decision-making consists of the input, process, and outputstages. The input stage includes twoinfluencing factors: the firm’s marketing efforts andsociocultural influences. This stage also includes the methods by which informationfrom firms and sociocultural sources is transmitted to consumers. The process stagefocuses on how consumers make decisions. Psychological factors affect how the externalinputs influence theconsumer’s recognition of a need, pre-purchase search forinformation, and evaluation of alternatives. The output stage consists of two post-decision activities: purchase behavior and post-purchase evaluation.This book includes five parts. Part I provides an overview of marketing and consumerbehavior and the components of strategic marketing. Part II describes the consumer as anindividual and explains the psychological factors that affect consumer behavior. Part IIIaddresses the communication and persuasion process, the revolutionary impact of newmedia, and the roles of reference groups, opinion leaders, and word-of-mouth. Part IVexamines consumers in their social and cultural settings. Part V includes discussions ofthe consumer decision-making process, consumers’reactions to innovative products,marketers’ social responsibilityand ethically questionable practices, and the methodologyof consumer research.

Page 6

Consumer Behavior, 12th Edition Solution Manual - Page 6 preview image

Loading page image...

Learning Objective 1.6:To explain how the knowledge of consumer behavior advancesseeking employment after graduation.Students with expertise in consumer behavior should pursue employment in three areas:brand management, advertising, and consumer research.CHAPTER OUTLINEINTRODUCTION1.Marketingistheactivity,setofinstitutions,andprocessesforcreating,communicating, and delivering offerings that have value for customers, clients,partners, and society.2.Consumer behavioristhe study of consumers’ actionsduring searching, evaluating,purchasing, and using products and services that they believe would satisfy theirneeds.3.Consumer purchases are determined not by needs alone, but also by how the producthelps owners express their characteristics.*****Use Key Termsmarketing,consumer behaviorHere,UseFigure#1.1Here*****The Marketing Concept1.Marketingandconsumerbehaviorstemfromthemarketingconcept,whichmaintains that marketing consists of satisfying consumers’ needs, creating value, andretaining customers, and that companies must produce only those goods that theyhave already determined would satisfy consumer needs and meet organizationalgoals.*****Use Key Termmarketing conceptHere,Use Learning Objective #1.1Here; UseFigure #1.2Here; Use Review and Discussion Question 1.1 Here*****2.Theproductionconceptfocusedoncheap,efficientproductionandintensivedistribution.3.Theproduct conceptassumes consumers will buy the product that offers the mostfeatures.4.A product orientation may lead tomarketing myopia, or a nearsighted focus on theproduct and its direct competitors vs. the market’s needs.5.Theselling conceptmaintains that marketers should sell the products they madeinstead of only making products they could sell.*****Use Key Termsproduction concept, product concept, marketing myopia,selling conceptHere*****

Page 7

Consumer Behavior, 12th Edition Solution Manual - Page 7 preview image

Loading page image...

MarketSegmentation, Targeting, and Positioning1.Market segmentationis the process of dividing a market into subsets of consumerswith common needs or characteristics. Each subset represents a consumer group withshared needs that are different from those shared by other groups.2.Targetingis selecting the segments identified as prospective customers and pursuingthem with distinct offerings.3.Positioningrefers to the development of a distinct image for the product or service inthe mind of the consumer.The image should differentiate the offering from thecompetition by stressing the product’s unique benefits.*****Use Key Termsmarket segmentation, targeting, and positioningHere;UseReview andDiscussion Question#1.2 Here*****4.Themarketing mixconsists of a company’s service and/or product offerings toconsumers and the methods and tools it selects to accomplish the exchange.5.Four basic elements (known as thefour Ps) include:a)The product or servicefeatures, designs, brands, packaging, post-purchasebenefits, etc.b)The pricelist price (including discounts, allowances, and payment methods).c)The placedistribution of the product or service.d)Promotionadvertising, sales promotion, public relations, and sales effortsdesigned to build awareness of and demand for the product or service.*****Use Key Termmarketing mix(thefour Ps)Here*****TechnologyBenefitsConsumers and Marketers*****Use Learning Objective #1.2 Here*****1.Technology shifted communications from a one-way process to a two-way interactiveexchange.2.Marketers provide value to consumers via opportunities to shop more efficiently,customize products easily, and access entertainment content and information.3.Consumers provide value to marketers by “revealing themselves” while online, whichenables companies to market their products more efficiently and precisely.*****UseHands-on Assignment#1.9Here*****4.Marketers have been offering more personalized products.5.Figure 1.3 illustrates that across age groups, most Americans own technologicalgadgets.6.Figure 1.4details Americans’most prominent online activities (percentages).7.Marketers can target consumers based on their searches for more precise targeting.

Page 8

Consumer Behavior, 12th Edition Solution Manual - Page 8 preview image

Loading page image...

8.Promotional messages are more interactive, personalized and targeted.9.Cross-screen marketingconsists of tracking and targeting users across theircomputers, mobile phones and tablets.*****UseKey Termcross-screen marketingHere;Use Figures 1.5, 1.6 and 1.7 Here;UseReview and Discussion Question 1.4 Here*****Customer Value, Satisfaction, Trust,and Retention*****Use Learning Objective #1.3 Here*****1.Customer valueis defined as the ratio between the customer’s perceived benefits(economic, functional, and psychological) and the resources (monetary, time, effort,psychological) used to obtain those benefits.2.Customer satisfactionis the individual’s perception of the performance of theproduct or service in relation to his or her expectations.3.The overall objective of providing value to customers continuously and moreeffectively than the competition is to have and to retain highly satisfied customers.This strategy ofcustomer retentionmakes it in the best interest of customers to staywith the company rather than switch to another company.*****Use Key Termscustomer value, customer satisfaction, customer retentionHere*****4.It is more expensive to win new customers than to retain existing ones for severalreasons:a)Loyal customers buy more products and constitute a ready-made market for newmodelsofexistingproductsaswellasnew ones,andalsorepresentanopportunity for cross-selling.b)Long-term customers who are thoroughly familiar with the company’s productsare an important asset when new products and services are developed and tested.c)Loyal customers are less price-sensitive and pay less attention to competitors’advertising. Thus, they make it harder for competitors to enter markets.d)Servicing existing customers, who are familiar with the firm’s offerings andprocesses, is cheaper. It is expensive to “train” new customers and get themacquainted with a seller’s processes and policies. The cost of acquisition occursonly at the beginning of a relationship, so the longer the relationship, the lowerthe amortized cost.e)Loyal customers spread positive word-of-mouth and refer other customers.f)Marketing efforts aimed at attracting new customers are expensive; indeed, insaturated markets, it may be impossible to find new customers. Low customerturnover is correlated with higher profits.g)Increased customer retention and loyalty make the employees’ jobs easier andmore satisfying. In turn, happy employees feed back into higher customersatisfaction by providing good service and customer support systems.

Page 9

Consumer Behavior, 12th Edition Solution Manual - Page 9 preview image

Loading page image...

*****Use Review and Discussion Questions #1.6 & #1.7 Here;UseHands-onAssignment#1.11 Here*****Technology and Customer Relationships1.Technologiesoftenenhancecustomerrelationshipsandretentionbyengagingconsumers with brands.a.Emotional bondsrepresent a customer’s high level of personal commitmentand attachment to the company.b.Transactionalbondsarethemechanicsandstructuresthatfacilitateexchanges between consumers and sellers.c.Social mediainclude means of interaction among people in which they create,shareandexchangeinformationandideasinvirtualcommunitiesandnetworks.*****Use Key Termsemotional bonds, transactional bonds, social mediaHere*****2.Emotional and transactional motives should be discerned to understand drivers ofcustomer satisfaction, which leads to retention and long-term relationships.a.Determinants of customer satisfaction online include adaptation, interactivity,nurturing, commitment, network, assortment, transaction ease, engagement,loyalty, inertia and trust.b.Table1.1appliesafour-waycategorizationoftransaction-basedandemotional bond-based customer relationships with marketers to Amazon’scustomers.*****Use Table 1.1 Here*****3.Customers who are highly satisfied or delighted keep purchasing the same productsand brands, provide positive and encouraging word-of-mouth to others, and oftenbecome life-long customers.4.With respect to customer satisfaction there might be several types of customers:a)Loyalistscompletely satisfied customers who keep purchasing.b)Apostlesthose whose experiences exceed their expectations and who providevery positive word of mouth about the company to others.c)Defectorsthose who feel neutral or merely satisfied and are likely to stopdoing business with the company.d)Terroriststhose who have had negative experiences with the company andwho spread negative word of mouth.e)Hostagesunhappy customers who stay with the company because of no choice(or other reasons).f)Mercenariesvery satisfied customers but who have no real loyalty to thecompany and may defect.5.Companiesclassifycustomersaccordingtoprofitabilitybytrackingrevenuesobtained from individual customers and categorizes them. For example:

Page 10

Consumer Behavior, 12th Edition Solution Manual - Page 10 preview image

Loading page image...

a.Diamondscustomers who travelled at least 250,000 miles in first class inone yearb.Emeraldscustomers who travelled in first class, but not as frequently as thediamonds or customers who travel very frequently in business class.c.Sapphiresa profitable segment because they fly frequently and in businessclass.d.Elite and selectheavy flyers, mostly in premium economy.*****Use Figure 1.5Here*****6.Companies must develop measures to assess customer retention strategies, which mayinclude:a.Customer Valuationb.Retention Ratesc.Analyzing DefectionsSocial Responsibility and Ethics*****Use Learning Objective 1.4Here*****1.Sociallyresponsiblemarketingsuggestsmarketerswouldbebetteroffiftheyintegrated social responsibility into their marketing strategies because companiesprosper when society prospers.2.Thesocietal marketing conceptrequires marketers to fulfill the needs of the targetaudience in ways that improve, preserve and enhance society’s well-being whilesimultaneously meeting their business objectives.3.Some marketers ignore laws and market potentially harmful products (e.g. MonsterBeverage Corp.)4.Some companies incorporated social goals into their mission statements because theybelieve it is important for organizational effectiveness.5.Non-profit organizations also advance causes they believe are ethically and morallyright.*****UseKey Termsocietal marketing conceptHere; Use Figure 1.4Here; UseReview and Discussion Question 1.3 Here; Use Hands-On Assignment 1.10 Here*****ConsumerDecision-Making*****Use Learning Objective 1.5 Here*****1.Marketing theorists borrowed heavily from concepts developed in other scientificdisciplines to understand consumer behavior:a)Psychologythe study of the human mind and mental factors that affectbehavior.

Page 11

Consumer Behavior, 12th Edition Solution Manual - Page 11 preview image

Loading page image...

b)Sociologythe study of the development, structure, functioning and problemsof human society.c)Anthropologycompares human societies’ culture and development.d)Communicationthe process of imparting or exchanging information.*****Use Key Termspsychology, sociology, anthropology, communicationHere*****2.The process of consumer decision making can be viewed as three distinct butinterlocking stages: the input stage, the process stage, and the output stage.a)The input stageinfluences the consumer’s recognition of a product need andconsists of:i)The firm’s marketingmix (the product itself, its price, promotion, anddistribution).ii)The external sociocultural influences on the consumer (reference groups,family, social class, culture and subculture).iii)Both are communicated using different communication sources.b)The process stage focuses on how consumers make decisions.i)Thepsychologicalfactorsinherentineachindividual(motivation,perception, personality, attitudes, perception) affect how the external inputsinfluence the consumer’s recognition of a need, prepurchase search forinformation, and evaluation of alternatives.ii)The experience gained through evaluation of alternatives, in turn, affects theconsumer’s existing psychological attributes.c)The output stage of the consumer decision-making model consists of twoclosely-related post decision activities:i)Purchase behaviorii)The post-purchase evaluation*****Use Figure#1-10Here*****This BookThe book is divided into five parts:1.PartIprovidesanoverviewofmarketingandconsumerbehaviorandthecomponents of strategic marketing.a)Chapter 1explains the evolution of themarketing conceptand the importanceof researching and analyzing consumers’ behavior in order to target themeffectively.b)Chapter2explainsmarketsegmentation,thecriteriaforselectingtargetmarkets, behavioral targeting, and differentiating offerings among competitors.2.PartIIexplains the psychological factors that affect consumer behavior.a)Chapter3discussesconsumermotivationandtheimpactofpersonalitycharacteristics on consumer behavior.b)Chapter 4explores consumer perception/how the way we view the world aroundus affects our shopping patterns.

Page 12

Consumer Behavior, 12th Edition Solution Manual - Page 12 preview image

Loading page image...

c)Chapter 5explains how we learnthroughapplying pastexperiences andbehavior to future purchase decisions.d)Chapter 6explores how attitudes influence buying behavior.3.PartIIIaddresses the communication and persuasion process along its components:sender, message, media, receiver, and feedback.a)Chapter 7introduces the elements of the communication process and explainshow to overcome the barriers to effective communications.It examines thedifferences between advertising in mass media and promoting products onlineand via social media.b)Chapter 8explores the transition from print to broadcast media to social mediaand mobile advertising.c)Chapter 9covers source credibility and word-of-mouth.4.PartIVexamines consumers in their social and cultural settings.a)Chapter 10discusses the family as a consumption unit and its standing withinthe social-class structure.b)Chapter 11explains how culture is expressed through values, rituals, andcustoms.c)Chapter 12describes the impact of subcultures.d)Chapter 13explores cross-cultural analysis, which includes the basic strategicelements for all companies pursuing markets in countries other than the UnitedStates.5.PartVconsists of three chapters.a)Chapter 14discusses the consumer decision-making process and integrates partsII, III, IV.b)Chapter 15explores marketers’ social responsibility and potential ethicallyquestionable practices.c)Chapter 16describes the methodology of consumer research.Employability*****Use Learning Objective #1.6 Here*****1.Students with expertise in consumer behavior should pursue employment in threeareas: brand management, advertising, and consumer research.2.Brand management is the process of maintaining, improving, and upholding a brandso that it is clearly differentiated from other offerings in the same product category.3.Understanding perception is particularly important.4.Students understand how consumers’ purchases are influenced by their peers, family,and social standing, and their values and customs.5.Advertising includes writing advertising copy, creating visuals, ensuring that the rightmessages reach the right consumers at the right time, and determining in which mediato place ads, including when and for how long.6.Consumer research is the process and tools used to study consumer behavior.

Page 13

Consumer Behavior, 12th Edition Solution Manual - Page 13 preview image

Loading page image...

REVIEW ANDDISCUSSION QUESTIONS1.1Describe the interrelationship between consumer behavior and the marketingconcept.The termconsumer behaviorrefers to the behavior that consumers display insearching for, purchasing, using, evaluating and disposing of products and servicesthat they expect will satisfy their needs. The study of consumer behavior is the studyofhowindividualsmakeconsumption-relateddecisions.Thekeyassumptionunderlying themarketing conceptis that a company must determine the needs andwants of specific target markets and deliver the desired satisfaction better than thecompetition. The marketing concept is based on the premise that a marketer shouldmake what they can sell, instead of trying to sell what they have made. Thus, acompanywhichadoptsthemarketingconceptmustcontinuouslyresearchandmonitor its customers’ and potential clients’ needs and consumption-related behaviorin order to develop, effectively promote, and deliver products and services whichsatisfy clientsneeds better than the competition.Individual, Easy, 3-5 minutesObjective 1.1: To understand the evolution of the marketing concept, what consumerbehavior is, and the components of strategic marketing.AACSB: Reflective thinking1.2A company is introducinga new e-book reader. Suggest segmentation,targeting,andpositioning strategies for the new product.The focus of the marketing concept is consumer needs. Three elements for creating astrategicframeworkfordiscoveringandanalyzingthoseneedsaremarketsegmentation, market targeting, and positioning.Market segmentationis the processof dividing a market into subsets of consumers with common needs or characteristics.Because most companies have limited resources, few companies can pursue all of thesegments identified for the company to pursue.Targetingis selecting one or more ofthe segments identified for the company to pursue. Because many companies haveadopted the marketing concept, the marketplace is filled with many products andservices claiming to satisfy consumer needs.Positioningis developing a distinctimage for the product or service in the mind of the consumer, an image that willdifferentiatetheofferingfromcompetingonesandsquarelycommunicatetoconsumers that the particular product or service will fulfill their needs better thancompeting brands.In answering this question, students need to think about the need or want for an e-book reader.As thought starters, the instructor may ask the students, “what segmentof the market is most interested in an e-book reader? What segment also has theresources to purchase an e-book reader?” These questions should get the conversationstarted.

Page 14

Consumer Behavior, 12th Edition Solution Manual - Page 14 preview image

Loading page image...

Individual, Moderate, 5 minutesObjective 1.1: To understand the evolution of the marketing concept, what consumerbehavior is, and the components of strategic marketing.AACSB: Application of knowledge1.3Define the societal marketing concept and discuss the importance of integratingmarketing ethics into the company’s philosophy and operations.The societal marketing concept requires marketers to fulfill the needs of the targetaudience in ways that improve, preserve, and enhance society’s well-being whilesimultaneously meeting their business objectives.Not all companies focus onsociety, but some companies believe socially responsible marketing is a part oforganizational effectiveness.Generally speaking, if society prospers, firms prosper,soitisinthe marketer’s bestinterest,inthe long-run,tofocuson externalstakeholders as well as profits.Individual, Easy, 3-5 minutesObjective 1.4:To understand marketers’ social and ethical responsibilities.AACSB: Application of knowledge1.4Describehowtechnologyenhancestheexchangebetweenmarketersandconsumers.Marketers provide value to consumers in the form of information, includingopportunities to customize products easily and entertainment content. Consumersprovide value to marketers by “revealing themselves” while online, which enablescompanies to market their products more efficiently and precisely. Consumers “pay”for the Internet’s seemingly free content by providing virtually unlimited informationabout themselves to marketers, who gather, analyze, and use it to target buyers. Theinformation allows marketers to customize promotional messages and products.Technology also improves the ability to compare prices, distribution, and allowsconsumers with the ability to interact with the firm, which may improve satisfactionand, ultimately, retention.Individual, Moderate, 3-5 minutesSkill: ConceptObjective 1.2: To understand how technology has benefited both marketers andconsumers.AACSB: Information technology; Reflective thinking1.5It is often said that consumers receive “free” content online.Is thistrue?Whyor why not?

Page 15

Consumer Behavior, 12th Edition Solution Manual - Page 15 preview image

Loading page image...

Consumers “pay” for the Internet’s seemingly free content by providing virtuallyunlimited information about themselves to marketers, who gather, analyze, and use itto target buyers.Individual, Moderate, 1-2 minutesObjective 1.2: To understand how technology has benefited both marketers andconsumers.AACSB: Information technology1.6Discuss the interrelationships among customer expectations and satisfaction,perceived value, and customer retention.Why is customer retention essential?Perceivedvalueisrelativeandsubjectivewhilecustomersatisfactionistheindividual’s perception of the performance of the product or service in relation to hisor her expectation. The concept of customer satisfaction is a function of customerexpectations. Customers whose experiences match expectations will be satisfied andcustomers whose expectations are exceeded will be very satisfied or delighted.Theoverallobjectiveofprovidingvaluetocustomerscontinuouslyandmoreeffectively than to competition is to have and to retain highly satisfied customers.This is calledcustomer retention. The purpose of customer retention is to make itthe best interest of customers to stay with the company rather than switch to anotherfirm. The reason that customer retention is essential is that in almost all businesssituations, it is more expensive to win new customers than to keep existing ones.Individual, Moderate, 3-5 minutesObjective 1.3: To understand providing value and satisfaction and how technologyhas enhanced customer loyalty and retention.AACSB: Analytical thinking; Reflective thinking1.7How can marketers use technology to improve customer retention and enhancetheir bonds with customers?The Internet and cell phones have helped marketers maintain closer relations withtheir consumers and have opened easier channels for the customer to contact thecompany if they have questions, problems, or suggestions.Marketers also usedatabases to track revenues by consumer, which allows marketers to categorizecustomers based on profitability and customize benefits to consumers accordingly.Individual, Easy, 2-3 minutesObjective 1.3: To understand providing value and satisfaction and how technologyhas enhanced customer loyalty and retention.AACSB: Reflective thinking1.8Discuss the role ofthesocial and behavioral sciences in developing the consumerdecision-making model.

Page 16

Consumer Behavior, 12th Edition Solution Manual - Page 16 preview image

Loading page image...

Consumer behavior was a relatively new field of study in the mid- to late-1960s.Because it had no history or body of research of its own, marketing theoristsborrowed heavily from concepts developed in other scientific disciplines. Thesedisciplines were psychology (the study of the individual), sociology (the study ofgroups), social psychology (the study of how an individual operates in groups),anthropology (the influence of society on the individual), and economics. Many earlytheories concerning consumer behavior were based on economic theory on the notionthatindividualsactrationallytomaximizetheirbenefits(satisfactions)inthepurchase of goods and services. Later research discovered that consumers are just aslikely to purchase impulsively and to be influenced not only by family, friends,advertisers, and role models, but also by mood, situation, and emotion. All of thesefactors combine to form a comprehensive model of consumer behavior that reflectsboth the cognitive and emotional aspects of consumer decision-making.Individual, Easy, 3-5 minutesObjective 1.4:To understand marketers’ social and ethical responsibilities.AACSB: Reflective thinkingHANDS-ON ASSIGNMENTS1.9Locate two websites that you visit regularly and discuss how theycan (andprobably do)track your behavior and enable marketers to target you moreeffectively.Instructor’s DiscussionIn order to answer this question, students should take notice of the use of informationtechnology, databases, interactive communications, and usage of satisfaction surveys.Studentsmightalsowishtobeawareofhowtechnology’simpactonourunderstanding of and interactions with consumers might be relevant to the exercise.The idea behind targeting is related to customer value, since collecting informationshouldallowmarketerstoprovidemoreattractiveofferingsbasedontheirunderstanding of your preferences. Note thatcustomer valueis defined as being theratiobetweenthecustomer’sperceivedbenefits(economic,functional,andpsychological) and the resources (monetary, time, effort, and psychological) used toobtain those benefits.Individual, Moderate, 10-15 minutes, Outside of ClassObjective 1.3: To understand providing value and satisfaction and how technologyhas enhanced customer loyalty and retention.AACSB: Application of knowledge1.10Locate two examples (one advertisement and one article) depicting practicesthatare consistent with the societal marketing concept and two examples ofbusinesspractices that contradict this concept.Explain your choices.

Page 17

Consumer Behavior, 12th Edition Solution Manual - Page 17 preview image

Loading page image...

Instructor’s DiscussionThesocietal marketing conceptis described as being one where the marketer isrequired to adhere to the principles of social responsibility in the marketing of theirgoods and services; that is, they should endeavor to satisfy the needs and wants oftheir target markets in ways that preserve and enhance the well-being of consumersand society as a whole. Thus, the restructured definition of the marketing conceptcalls on marketers to fulfill the needs of the target audience in ways that improvesociety as a whole, while fulfilling the objectives of the organization. A seriousdeterrent to widespread implementation of the societal marketing concept is the short-term orientation embraced by most business executives in their drive for increasedmarket share and quick profits.Students should be clear as to why examples fit the pro and con approaches. Open thediscussion with a clear definition of what the societal marketing concept is (seeabove). Next, match this concept to the supplied advertisements or articles. Concludethe discussion with comments on the applicability of the concept to modern business.Individual, Moderate, 15-20 minutes, Outside of ClassObjective 1.4:To understand marketers’ social and ethical responsibilities.AACSB: Application of knowledge1.11Locate two examples of technological innovations designed to enhance customerretention and discuss them.Instructor’s DiscussionStudent examples may vary.Take the opportunity to remind students how theexamplesrelatetosatisfaction,whichcontributestoretention,and reviewtheadvantages of customerretention.Also, askstudentstodifferentiate betweentechnological innovations that facilitate emotional bonds from those that facilitatetransactional bonds.Individual, Moderate, 5-10 minutesObjective 1.3: To understand providing value and satisfaction and how technologyhas enhanced customer loyalty and retention.AACSB: Application of knowledgeS.T.A.R. PROJECTSEthical Issues in Consumer BehaviorS.T.A.R. Project #1H&R Block is the 500-pound gorilla of individual income tax preparation. The companyhas a significant presence in the U.S. market (especially during the spring tax season).

Page 18

Consumer Behavior, 12th Edition Solution Manual - Page 18 preview image

Loading page image...

H&R Block has always been an aggressive competitor in this highly competitive market.A trade organization for accountants believes that H&R Block became too aggressivewhen it ran an ad campaign that showed a consumer running in a dark alley confrontedwith neon signs flashing “Prestige CPA,” “Taxes Here,” and “Tax Consortium.” Theconsumer appears confused and frightened. At the end of the alley a solution to the fearand confusion appeared in the form of a warm and friendly H&R Block sign thatpromised that consumers do not have to pay until they are completely satisfied. Non-Block CPA professionals question whether H&R Block has fairly represented theirbusinesses and consumer policies.a. Is this form of advertising ethical? Why or why not?b. With respect to what you have learned about the societal marketing concept in thechapter, what suggestions do you have for H&R Block?Instructor’s DiscussionThe H&R Block case is a good example of aggressive marketing that might exceedacceptable limits. The ad is much different than the H&R Block approach used on theirWeb site (see www.hrblock.com). Could a code of ethics help H&R Block? Possibly.CPA professionals do not see themselves as neon sign merchants nor do they believe thatthe average citizen has complaints with their preparation practices or guarantees. Whendoes innuendo and appearance become unethical? This should be an interesting issue forthe students to discuss. It will also be a good way to introduce the concept of a code ofethics. (See the exercise below for more work on a code of ethics.)S.T.A.R. Project #2Many consumers trust their medical supply needs to Johnson & Johnson. Johnson &Johnson is very clear as to its mission and commitment to the health and safety of itscustomers. The company is often cited as an example of how to do things right withrespect to relations with customers and the public. Johnson & Johnson has gone so far asto construct a company credo that it features on its Web site (seewww.jnj.com: OurCompany: Our Credo Values).a. Assume that you have just been hired as a customer relations expert by Johnson &Johnson to answer a growing number of complaints that JNJ products are over-priced and have lost their sense of value for the consumer. The complainants citelower priced private labels and store brands as illustrations of frustrations with JNJ.As one consumer states, “A band aid is just a band aid after all!” What would beyour response?b. How could you use the Johnson & Johnson Credo to aid you in your response?Instructor’s DiscussionFirst, all students should read the JNJ Credo. The credo itself can be the discussion in thisquestion. Next, students must carefully think about the scenario that has been presented.How could the company use its commitment to quality as an answer? How could thecompany comment without disparaging the competition? How can the company focus on

Page 19

Consumer Behavior, 12th Edition Solution Manual - Page 19 preview image

Loading page image...

value? Take the two to three best responses and read them in class. An additional aid is todownload the JNJ credo and prepare it as a handout. What does the JNJ credo say aboutthe company’s commitment to ethical behavior?Small Group ProjectsS.T.A.R. Project #3Who designed the chicken sandwich? According to information provided on the Chick-fil-A Web site (www.chick-fil-a.com) it was Chick-fil-A founder Truett Cathy. Mr.Cathy is also known for his unique approach to the fast food business. This uniqueapproach has at its center an appreciation of family values (the restaurants are closed onSundays and all children’s toys emphasize values rather than gimmicks or cartooncharacters). After visiting the company Web site, your group’s assignment is to list thewaysthatChick-fil-Aprovidescustomervalue,satisfaction,andretentionforitscustomers.Instructor’s DiscussionThe student group should not have a problem listing the ways that Chick-fil-A providescustomer value and satisfaction. Retention may take longer. By making the attempt,however, students will appreciate the chapter comments more fully. After the list iscomplete, the second assignment sounds easy. Students should, however, observe thatChick-fil-A matches both of the two concepts rather well. The astute student will see thatChick-fil-A may still have some way to go with respect to technological application tothe business, databases, and customer segmentation.S.T.A.R. Project #4Nike is not just for males. This shoe giant has made great strides in market segmentation,customization, and customer relationship development. The result is that Nike is also apremier female shoe company. Your group assignment is split your team and analyzeNike. To do this, one team should review the www.nike.com Web site and analyze itscontents based on its appeals to the male market segment (i.e., styles, language, colors,celebrity endorsers, games, customer relationships, etc.). The second team should analyzethe Web site based on its appeals to the female segment (i.e., styles, language, colors,celebrity endorsers, games, customer relationships, etc.). The two teams should nowmatch their findings and write a summary report. What has Nike learned about marketsegments and market targets? How do the two sections of the nike.com Web site assistNike in its marketing efforts?Instructor’s DiscussionThis exercise gives two small groups within a larger group the chance to explore Nike’smarketing efforts to two distinct market segments. If you would like to add additionalcomparison criteria, feel free to do so. Be sure to ask students what they have learnedabout consumer behavior from the Nike Web site. This exercise will also give groups a

Page 20

Consumer Behavior, 12th Edition Solution Manual - Page 20 preview image

Loading page image...

chance to learn to work with each other and will pave the way for future groupparticipation projects.

Page 21

Consumer Behavior, 12th Edition Solution Manual - Page 21 preview image

Loading page image...

CHAPTER2Market Segmentation and Real-Time BiddingLEARNING OBJECTIVESAfterreading,studyingand analyzingthis chapter,students should be able:2.1To understand how to segment markets along demographics, lifestyles, product benefits andusage, and media exposure.2.2To understand how to identify,select, and reach target markets.2.3To understand real-time bidding as compared with market segmentation.CHAPTER SUMMARYLearning Objective 2.1:To understand how to segment markets along demographics,lifestyles, product benefits and usage, and media exposure.Market segmentation is dividing a market into subsets of consumers with common needs orcharacteristics. Each subset represents a consumer group with shared needs that are differentfrom those shared by other groups. After dividing the market into distinct groups, the companymust select segments that are profitable and reachable, and feasibly targetable within itsobjectives and resources.Demographic segmentation divides consumers according to age, gender, ethnicity, income andwealth, occupation, marital status, household type and size, and geographical location. Two othersegmentation factors are based on demographics. Family life cycle details the phases that mostfamilies go through, each stage representing a viable target segment to marketers of manyproducts.Social class is the division of members of a society into a hierarchy of distinct status classesmost often based on income, education, and occupationso that members of each class haverelatively the same status and members of all other classes have either higher or lower status.Because they are so versatile, psychographics are widely used, mostly together withdemographics, providing marketers with richly descriptive profiles of target markets.Geodemographics are based on the premise that people who live close to one another are likelyto have similar financial means, tastes, preferences, lifestyles, and consumption habitsas theadage states, “Birds of a feather flock together.” The most popular combination of demographicsand geographic locations is called PRIZMgrouping American households into 66 segmentsbased on socioeconomic ranking, consumer behavior, and media exposureBenefit segmentation is based on the benefits that consumers seek from products and services.These benefits represent unfilled needs, whereas buyers’ perceptions that a given brand deliversa unique and prominent benefit result in loyalty to that brand.

Page 22

Consumer Behavior, 12th Edition Solution Manual - Page 22 preview image

Loading page image...

Media exposure patterns can be used to segment markets. As more and more forms of mediaemerge, marketers must study the benefits that specific consumer segments seek from adoptingthese communication tools, so that they can advertise in these media effectively.Usage-rate segmentation reflects the differences among heavy, medium, and light users, andnonusers of a specific product, service, or brand. Rate of usage is strongly related to productawareness status, which is the degree of a consumer’s awareness of the product and its features,and whether or not he or she intends to buy it reasonably soon. A related factor is productinvolvement, which reflects the degree of personal relevance that the product holds forthe consumer. Usage-occasion segmentation recognizes that consumers purchase some productsfor specific occasions. Marketing studies have shown that consumers are increasingly skepticalabout assigning foods to specific times of the day or places. Marketers have been responding by,for example, trying to convince consumers to snack on Greek-style yogurt and candy whilewatching the Super Bowl.Learning Objective 2.2:To understand how to identify,select, and reach target markets.All consumers are not alike. They have different needs, wants, and desires, and differentbackgrounds, education levels, and experiences. Therefore, marketers must offer alternatives thatcorrespond to the needs of different consumer groups or segments. Not every company isinterested in or has the means to reach every market segment. In addition to being identifiable,the segment(s) chosen must be profitable and accessible.To be a viable market, a segment must consist of enough consumers to target it profitably, aswell as be stable and growing. Additionally, the number of segments targeted and their profilesmust be congruent with the company’s objectives and resources. Marketers target consumersegments that are relatively stable in terms of lifestyles and consumption patterns (and are alsolikely to grow larger and more viable in the future) and avoid “fickle” segmentsthat areunpredictable.To be targeted, a segment must be accessible, which means that marketers must be able tocommunicate with its consumers effectively and economically. With the diversification ofmagazines (and their online versions), the emergence of TV channels that target narrowlydefined interests, and the growth of new media (e.g., sending ads to cell phones), marketers havesignificantly more avenues for reaching unique segments and can also do so with customizedproducts and promotional messages.Marketers can also target customers on their mobile devices. For example, customers frequentlyengage in showrooming, which occurs when consumers use smartphones to scan the bar codes ofproducts displayed in physical stores and then check the items’ prices online in order to purchasethem at the lowest prices. In order to combat showrooming, some physical stores startedgeofencing, which consists of sending promotional alerts to the smartphones of customers whoopted into this service, when the customers are near or enter the store.Learning Objective 2.3:To understand real-time bidding as compared with marketsegmentation.

Page 23

Consumer Behavior, 12th Edition Solution Manual - Page 23 preview image

Loading page image...

Real-time bidding (RTB) takes place when advertisers buy inventories of customerstermedimpressions or eyeballson a per-impression basis, via programed instantaneous auction. Animpression is a term for a customer that becomes available for realtime bidding online. Detailedprofiles for the impressions are compiled from online navigation, demographics, geographiclocations, and possessions and purchases.Predictive analytics are measures that foresee consumers’future purchases on the bases of pastbuying information and otherdata, and also evaluate the impact of personalized promotionscreatedfrom these predictions. These measures are also designed tonotice significant changes inconsumers’ buying behavior becausesuch variations provide marketers with targeting prospects.The inventories become available for bidding in ad exchangessuch as eXelate, BlueKai, Google,and DoubleClick. An ad exchangeis a big pool of ad impressions. Publishersthat is,websitespastetheir ad impressions into the pool, hoping someone will buy them.Buyers thenbid on the impressions they wish to purchase and theoutcomes are determined in milliseconds.In traditional media buying, advertisers prepay for the spaceand do not get money backregardless of whether any consumer whohad seen their ads ends up buying the product or atleast becamemore interested and aware of their brands. With RTB, an advertisercompetes in anauction with a multitude of other advertisers, allbidding at different rates for each impression, inreal time.Real-time bidding enables advertisers to optimize their expendituresby increasing the level ofcertainty that an adcampaign willreach a reasonable volume of the type of customers thatmarketerswish to reach. In contrast, many consumers reached via direct buysare unlikely tobecome customers because the groups reached byTV, magazines, and newspapers are broadlydefined. With RTB,rather than buying a large inventory, marketers pay premium pricestosecure inventories of the right customers, reach them where theyare, and advertise their productsto the most promising prospects.CHAPTER OUTLINEINTRODUCTION1.Market segmentationis the process of dividing a market into subsetsof consumerswithcommon needsorcharacteristics.2.Companies selectthe segments thatare profitable, reachable, and feasibly targeted given thefirm’s objectives and resources.3.Product positioningis theprocess by which a company creates a distinct image and identityfor its products, services and brands in consumers’ minds.4.Product repositioningmeans changing and “refreshing” a brand’s portrayal.5.Usage-occasion segmentationis a segmentation strategy based on the fact that manyproducts are purchased and used in the context of specific occasions.

Page 24

Consumer Behavior, 12th Edition Solution Manual - Page 24 preview image

Loading page image...

*****Use Discussion Questions#2.1 and#2.2 Here;Use Key Termsmarket segmentation,positioning, repositioning, and usage-occasion segmentationHere; Use Figure #2.1Here*****Market Segmentation1.Segmentation divides the market for a product into relatively homogeneous groups that sharecharacteristics different from those of other groups.2.Marketers segment consumers along quantitative and cognitive factors.a)Quantitativefactorsincludeconsumer-intrinsicattributes(likedemographics)andconsumption-based factors (determined numerically).b)Cognitive factors are psychological abstracts that include consumer-intrinsic factors(like personality traits and values) and consumption-specific attitudes and preferences.*****Use Learning Objective #2.1 Here*****3.Demographics determine consumers’ needs for products and the ability to buy them;psychographics explain buyers’ purchase decisions and choices.*****Use Key Termsdemographic segmentation and family life cycleHere*****4.Demographicsegmentationdivides consumers according to age, gender, ethnicity, incomeand wealth, occupation, marital status, household type and size, and geographic location.a)The core of almost all segmentations is demographics because:i.Demographics are the easiest and most logical way to classify people and canbe measuredmore precisely than other segmentation bases.ii.Demographics offer the most cost-effective way to locate and reach specificsegments because most of the secondary data compiled about any populationstems from demographics.iii.Demographics enable marketers to identify business opportunities in the formof shifts in age, income distribution, and populations of various regions.iv.Many consumption behaviors, attitudes, and media exposure patterns aredirectly related to demographics.*****UseReview andDiscussion Question #2.4 Here*****b.Age: product needs often vary with consumers’ age, and marketers commonly targetage groups.c.Genderis a factual distinguishing segmentation variable, and many products andservices are inherently designed for either males or females.However, sex roles havebecome blurred.d.Households:segmentation is based on the premise that many families pass throughsimilar phases in their formation, growth, and final dissolution. At each phasein thefamily life cycle, the family unit needs different products and services.

Page 25

Consumer Behavior, 12th Edition Solution Manual - Page 25 preview image

Loading page image...

*****Use Key Termfamily life cycleHere*****e.Social classcan indicate an ability or inability to pay for a product model or brand,and consumers of different social classes vary in terms of values, product preferencesand buying habits.i.Incomeiscombinedwithotherdemographicvariablestodefinetargetmarkets.ii.Income, education, and occupation tend to be closely correlated.iii.Social class can be measured as a weighted index of education, occupationand incomef.Ethnicity: Marketers segment some populations on the basis of cultural heritage andethnicity due to shared values, beliefs, and customs.African Americans, HispanicAmericans and Asian Americans are important subcultural market segments in theU.S.*****Use Key Termssocial class and psychographicsHere*****5.Lifestyles, also known aspsychographics, consist ofactivities, interests, and opinions(AIOs).a)The interests and opinions portions are cognitive constructs, which can be measured viasurveys but are not evidence-based.b)A psychographic study includes a battery of statements selected from apsychographicinventory and usually accompanied by Likertscales on which respondents are asked toindicate their level of agreement or disagreement with each statement (Table 2.6)c)Because of their versatility, psychographics are widely used in segmentation and arepart of almost any hybrid segmentation framework.d)VALS(an acronym for “values and lifestyles”) is the most popular segmentationsystem combining lifestyles and values.e)VALSTMfocuses explicitly on explaining consumer purchasing behavior.i)VALSTMincludesthreeprimarymotivations:idealsmotivated,achievementmotivated and self-expression motivated.ii)VALSTMalso reflects a continuum in terms of resources and innovativeness (Figure2.2)*****UseReview andDiscussion Questions#2.8and #2.9Here; UseTables#2.1and #2.2Here; Use Figure #2.2Here;Use Key Termspsychographics and VALSTMHere*****6.Geodemographics:Where a person lives determines some aspects of consumption behavior,somarketersfrequently usegeodemographics,a hybrid segmentation scheme based on thepremise that people who live close to one another are likely to have similar financial means,tastes, preferences, lifestyles, and consumption habits, in strategic targeting.a)The primary commercial application of this technique isPRIZM, offered by Nielsen’sMyBestSegments.This system uses the ZIP + 4 postal system to classify all of thenation’s households into 66 segments.

Page 26

Consumer Behavior, 12th Edition Solution Manual - Page 26 preview image

Loading page image...

b)Nielsen also uses P$YCLE (based on household wealth) and ConneXions (based onhousehold receptivity to new technologies.*****Use Hands-on Assignment #2.16 Here;Use Key TermgeodemographicsHere*****7.Benefit segmentationis based on the benefits consumers seek from products and services.a)Many believe benefits sought are the core of all segmentation strategies.b)Sought benefits represent unfilled consumer needs whereas buyers’ perceptions that agiven brand delivers a unique and prominent benefit result in loyalty to the brand.*****UseHands-on Assignment#2.13Here;UseFigure 2.3Here;UseKey TermbenefitsegmentationHere*****8.Media exposure considers the benefits consumers seek from adopting communication tools.*****UseTable #2.4 and Figure 2.4 Here*****9.Usage ratesegmentationstems from differences among heavy, medium and light users, andnonusers of a specific product, service, or brand.a)Marketers have found that within some product categories that a relatively small groupof heavy users account for a disproportionately large percentage of total product usage.b)Targeting heavy users is a common marketing strategy, and it can be more profitablethan targeting other user categories.c)However, since all competitors are likely to target the same heavy users, trying to attractthese buyers requires a lot of expensive advertising.d)Some marketers prefer to target light and medium users with products that are distinctfrom those preferred by heavy users.e)A sophisticated approach to usage rate involves identifying the factors that directlyimpact the usage behavior.f)Understanding nonusers is essential.g)Consumers can also be segmented in terms of theirawareness statusand alsolevel ofinvolvement.h)Product involvementis also a segmentation factor.10.The occasion or situation often determines what consumers will purchase or consume, somarketers sometimes useusage-occasionsegmentation. Many products are promoted forspecial usage occasions.*****UseReview andDiscussion Question #2.5 Here;UseKey Termsproduct involvement,usage-occasion segmentationHere*****Selecting Target Markets

Page 27

Consumer Behavior, 12th Edition Solution Manual - Page 27 preview image

Loading page image...

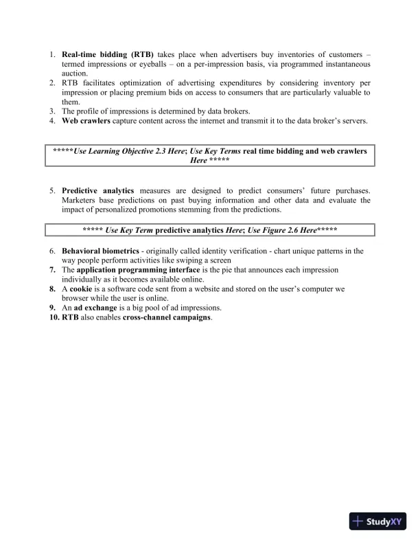
1.Real-time bidding(RTB)takes place when advertisers buy inventories of customerstermed impressions or eyeballson a per-impression basis, via programmed instantaneousauction.2.RTBfacilitatesoptimizationofadvertisingexpendituresbyconsideringinventoryperimpression or placing premium bids on access to consumers that are particularly valuable tothem.3.The profile of impressions is determined by data brokers.4.Web crawlerscapture content across the internet and transmit it to the data broker’s servers.*****Use Learning Objective 2.3 Here;UseKey Termsreal time bidding and web crawlersHere*****5.Predictiveanalyticsmeasuresaredesignedtopredictconsumers’futurepurchases.Marketersbase predictions onpast buying information and other dataand evaluate theimpact of personalized promotions stemming from the predictions.*****UseKey Termpredictive analyticsHere;Use Figure 2.6 Here*****6.Behavioral biometrics-originally called identity verification-chart unique patterns in theway people perform activities like swiping a screen7.Theapplication programming interfaceis the pie that announces each impressionindividually as it becomes available online.8.Acookieis a software code sent from a website and stored on the user’s computer webrowser while the user is online.9.Anad exchangeis a big pool of ad impressions.10.RTBalso enablescross-channel campaigns.

Page 28

Consumer Behavior, 12th Edition Solution Manual - Page 28 preview image

Loading page image...

REVIEW ANDDISCUSSION QUESTIONS2.1What is market segmentation? How is market segmentation related to the marketingconcept?Market segmentationis the process of dividing a potential market into distinct subsets ofconsumers with common needs or characteristics and selecting one or more segments totarget with a distinct marketing mix. Before the widespread adoption of the marketingconcept, most companies practiced mass marketing,that is, offering the same product andmarketing mix to all consumers. The marketing concept states thata company mustdetermine the needs and wants of specific market segments and satisfy them better thancompetition. Thus, companies who adopt the marketing concept must segment their marketsand develop products or services targeting different consumer groups. For example, Marriottoperates Fairfield Inns (short stay) and Residence Inns (apartment-like accommodations forextended stays) for the value-or budget-oriented traveler, Courtyard for the price-consciousbusinessperson, Marriott Hotel for full-service business travelers, Marriott Resorts for leisureand vacation guests, and Marriott Senior Living environments for elderly people.Individual, Easy, 3-5 minutesObjective 2.1:To understand how to segment markets along demographics, lifestyles,product benefits and usage, and media exposure.AACSB:Reflective thinking2.2How are market segmentation, targeting, and positioning interrelated?Market segmentationconsists of subdividing the market into homogeneous clusters, and itis the first step in a three-phase market strategy. After segmenting the market, the marketermust select one or more segments to target (targeting) with a specific marketing mix. Thethird step is to position (positioning) the product so that it is perceived by the target marketto satisfy its needs better than other competitive offerings. For example, a toothpastemanufacturer can segment the market according to the benefits that consumers look for in theproduct. The firm may select one segment, such as those consumers who are primarilyconcerned with plaque prevention, as its target market. Then, the company must position theproduct so that it is perceived as providing better plaque prevention than other toothpastebrands on the market.Individual, Moderate, 5-7 minutesObjective 2.1:To understand how to segment markets along demographics, lifestyles,product benefits and usage, and media exposure.AACSB: Analyticalthinking2.3Discuss the advantages and disadvantages of using demographics as a basis forsegmentation.Candemographicsandpsychographicsbeusedtogethertosegmentmarkets? Illustrate your answer with a specific example.

Page 29

Consumer Behavior, 12th Edition Solution Manual - Page 29 preview image

Loading page image...

Demographic information is the most accessible and cost effective way to identify a targetmarket.Demographics are easier tomeasurethan other segmentation variables. Mostsecondary data (e.g., census data) are expressed in demographic terms and most mediadevelop demographic profiles of their audiences. Also, demographic trends reveal shifts inage and income that signal business opportunities for marketers. Demographics, however,tend to be one-dimensional because it provides information on the potential for usage but noton why a particular brand is used or exactly who uses it. Thus, demographics help locate atarget market, although psychological and sociocultural characteristics help describe who itsmembers are, how they think, feel, and behave.Individual, Moderate, 7-10 minutesObjective 2.2:To understand how to identify,select, and reach target markets.AACSB: Reflective thinking; Analyticalthinking; Application of knowledge2.4Does your lifestyle differsignificantly from your parents’ lifestyle?If so, how are thetwo lifestyles different? What factors cause these differences?This is an interesting way to illustrate similarities and differences between the activities,interests, and opinions of two distinct groups, as the factors that determine one’s lifestyle.With respect to presenting or discussing the results (if time is a problem), select theindividuals that seem to have performed the exercise the best and have the students presentresults to class as a whole. Be sure to probe students as to mechanisms used to determinetheir parents (and their own) lifestyles. How could marketers use this information?Individual, Moderate, 20-25 minutesObjective 2.2:To understand how to identify,select, and reach target markets.AACSB: Analytical thinking; Application of knowledge2.5Combineat least two segmentation basesfor targeting each of the following products.Explain your choices:(a) men’ssneakers; (b) women’s cocktail dresses; (c) hybrid cars;(d) e-readers.Student responses will vary.The bases of segmentation may include demographics,geodemographics, “green”-ness, personality traits, psychographics/lifestyles, benefits, mediausage, usage rate, and usage occasion.Individual, Moderate, 10-15 minutesObjective 2.2:To understand how to identify,select, and reach target markets.AACSB: Application of knowledge2.6Some marketers consider benefit segmentation as the segmentation approach mostconsistent with the marketing concept. Do you agree or disagree with this view? Why?Benefit segmentation is built upon the premise that consumers are basically purchasing needs,wants, and satisfactions. Thus, it is entirely consistent with the marketing concept.Benefitsegmentationallows marketers to position various brands within the same product category

Page 30

Consumer Behavior, 12th Edition Solution Manual - Page 30 preview image

Loading page image...

by stressing those benefits/desired satisfactions appropriate to each segment served. Forexample, in the toothpaste market, Close-up is marketed by using a social appeal that stressesbright teeth and is targeted to young people; Aim is targeted to parents as a good tastingtoothpaste that will encourage children to brush longer; Viadent is targeted to adults as ameans to remove tartar (cosmetic benefit) and plaque (health benefit).Individual, Easy, 3-5 minutesObjective 2.2:To understand how to identify,select, and reach target markets.AACSB: Reflective thinking2.7How can a marketer for a chain of health clubs use the VALSsegmentation profilesto develop an advertising campaign? Which segments should be targeted? How shouldthe health club be positioned to each of these segments?Thebest prospects (note that opinions on the following may vary) for health clubs appear tobe theActualizersandAchieversbecause members of these groups are interested in growth,control of their lives, self-discovery, and self-expression. Many of them are probably alreadyinvolved in some form of physical activity; however, a health club that is positioned as, say,“for people who are in the best shape they have ever been in but still aren't satisfied” willappeal to them. The health club should be portrayed as a mechanism which will help thesepeople control an additional aspect of their livestheir health and physical well-beingthrough exercise. Normally, theExperiencersandMakersare not good prospects for a healthclub because they are interested in outdoor sports and recreation. If, however, seasonalweather prevents such endeavors, the health club could be presented as an alternative. TheBelieversare probably too set in their ways to join a health club, and theStriversandStrugglersdo not have the financial resources to join one. TheFulfilledrepresent a goodtarget market because they are mature, educated, and financially secure individuals whomight want to broaden their horizons. To them, the health club should be positioned as anew, highly fulfilling, and beneficial experience; value should be stressed in the promotionbecausetheseconsumersarepracticalandconcernedwiththefunctionalityoftheirpurchases.Individual or Group, Moderate, 7-10 minutesObjective 2.2:To understand how to identify,select, and reach target markets.AACSB: Application of knowledge2.8Regent Seven Seas Cruises and Royal Caribbean International are two companies inthe vacation and travel industry. After looking at their websites, describe the kind ofconsumers that each company is seeking to attract. Also, describe how either companycan usedemographics and psychographics to identify TV shows and magazines inwhich to place its advertisements.Regent Seven Seas Cruises is owned by Prestige Cruise Holdings. According to their website, Prestigeisthe market leader in the Upper Premium and Luxury segments of the cruiseindustry. The company is trying to attract wealthy, upscale consumers who can afford luxuryand personalized cruise itineraries. Royal Caribbean makes it clear that their cruises are for

Page 31

Consumer Behavior, 12th Edition Solution Manual - Page 31 preview image

Loading page image...

everyone, from families, couples, family reunions to corporate events. Royal Caribbeanoffersactivitiesthatrangefrom“mildtowild.”Obviously,bothcompaniesrelyondemographics in segmenting their markets. Within each of the demographic groups listedabove,thecompaniesshouldidentifyadditionalsocioeconomicfactors(i.e.,income,education, occupation) of consumers to whom their cruises may appeal. Both companiesshouldidentifythepsychographicsofconsumersinthedifferentsegments,combinedemographics and psychographics, and create several profiles of its likely customers. Then,both Regent Seven Seas Cruises and Royal Caribbean International should identify TVshows and magazines that have “audience profiles” matching its customers’ profilesandplace its advertisements in such media.Individual, Moderate, 7-10 minutesObjective 2.2:To understand how to identify,select, and reach target markets.AACSB: Application of knowledge2.9Choose one of the VALS segments as a potential target market for each of the followingofferings and explain your choices: (a) SUVs; (b) financial retirement plans; (c) a newsmartphone model.Student responses will vary.When students describe the segments, they should make surethey are discussing issues related to both demographics and behaviors.Look for theresponses to include why they selected the segments.Individual, Moderate, 10-15 minutes, Out of classObjective 2.2:To understand how to identify,select, and reach target markets.AACSB: Application of knowledge; Information technology2.10Explain the differences between segmentation and real-time bidding.Behavioral targeting consists of sending consumers personalized and prompt offers andpromotional messages based on marketers’ tracking of one or more of the following factors:online navigation, current geographic location, and purchase behavior. The idea is to reachthe right customers at the right time. Predictive analytics are methods for predictingconsumers’ future purchases on the bases of past buying information and other dataandevaluating the impact of personalized promotions stemming from the predictions. Collectingthe right data and analyzing it strategicallyare essential to effective behavioral targeting.Individual, Moderate, 5-7 minutesObjective 2.3:To understand real-time bidding as compared with market segmentation.AACSB: Information technology; Analytical thinking2.11Explainhowmarketerscanemployeachofthefollowingdatainpredictiveanalytics:(a) the websites consumers visit; (b) consumers’ levels of engagement withvisited websites (i.e. the pages viewed, lengths of visits, return to site frequency); (c)Consumers’ interests, lifestyles and personalities(e.g.,from the contents of their blogs,
Preview Mode

This document has 295 pages. Sign in to access the full document!

Study Now!

XY-Copilot AI
Unlimited Access
Secure Payment
Instant Access
24/7 Support
Document Chat

Related Documents

View all